Coeficiente de temperatura de resistencia: fórmula y problemas resueltos

Coeficiente de temperatura de resistencia: fórmula y problemas resueltos

En el fascinante mundo de la electrónica y la física, el coeficiente de temperatura de resistencia se erige como una de las propiedades más intrigantes y esenciales de los materiales conductores. ¿Alguna vez te has preguntado cómo influye la temperatura en la resistencia de un material? A medida que los dispositivos electrónicos se vuelven más complejos y nuestras exigencias tecnológicas aumentan, comprender este fenómeno se convierte en una necesidad. En este artículo te llevaremos a través de la fórmula clave que describe esta relación y resolveremos algunos problemas prácticos que te permitirán afianzar tus conocimientos. Así que prepárate para sumergirte en un viaje que combina teoría y aplicación, y descubre cómo el calor puede afectar los caminos que la electricidad elige seguir.

El coeficiente de temperatura de resistencia es un concepto clave en la electricidad y la electrónica. A medida que la temperatura de un material conductor aumenta o disminuye, su resistencia también cambia. Este fenómeno se puede calcular y predecir utilizando una fórmula específica. En este artículo, exploraremos en detalle esta fórmula, así como también resolveremos diversos problemas relacionados. Si quieres comprender mejor cómo se modifica la resistencia de un material en función de la temperatura, ¡continúa leyendo!

El coeficiente de temperatura de la resistencia. es el parámetro que muestra la relación entre la variación de la resistencia con el aumento de la temperatura. El resistencia del metal aumentan linealmente con el aumento de la temperatura.

Coeficiente de temperatura de resistencia: fórmula y problemas resueltos>

El cambio en el valor de la resistencia con el cambio por grado en la temperatura se denomina coeficiente de temperatura de la resistencia.

Símbolo del coeficiente de temperatura de resistencia

Se representa con un símbolo 𝝰 (Alfa).

Coeficiente de temperatura de resistencia: fórmula y problemas resueltos>Unidad de temperatura Coeficiente de resistencia

El unidad de temperatura coeficiente de resistencia(α) es por °C.

Fórmula del coeficiente de temperatura de resistencia

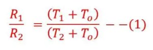
La resistencia es R1 a la temperatura T1 grados centígrados y R2 en T2 grado centígrado.

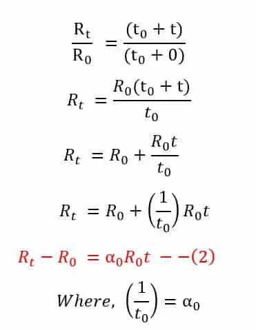
Coeficiente de temperatura de resistencia: fórmula y problemas resueltos>T0 es la temperatura a cero grados centígrados. La resistencia a la temperatura ‘t’ se puede dar como;

Coeficiente de temperatura de resistencia: fórmula y problemas resueltos>αo se llama el coeficiente de temperatura de la resistencia del material a 0°C. La fórmula para el coeficiente de temperatura se da a continuación.

Coeficiente de temperatura de resistencia: fórmula y problemas resueltos>Relación entre temperatura y resistencia

La resistencia a la temperatura t se puede expresar como;

Coeficiente de temperatura de resistencia: fórmula y problemas resueltos>Si la resistencia del material es R1 y R2 ​​a temperaturas t1 y T2 temperatura.

Coeficiente de temperatura de resistencia: fórmula y problemas resueltos>La resistencia del material depende de lo siguiente;

1. La resistencia de la sustancia a la temperatura inicial.
2. El coeficiente de temperatura de resistencia-αo
3. El aumento de la temperatura- Δt

El coeficiente de temperatura de resistencia de las sustancias a 20 °C es el siguiente.

Coeficiente de temperatura de resistencia: fórmula y problemas resueltos>

El coeficiente de temperatura de los metales es positivo mientras que el coeficiente de temperatura de los aislantes y semiconductores es negativo.

¿Por qué la resistencia de las sustancias metálicas aumenta con el aumento de la temperatura?

Los metales tienen electrones libres que se mueven al azar en la estructura cristalina. Con un aumento de la temperatura, aumenta el movimiento aleatorio de los electrones libres y la vibración interatómica y, como resultado, aumenta la tasa de colisión entre los electrones dentro del metal.

Coeficiente de temperatura de resistencia: fórmula y problemas resueltos>

El aumento de la tasa de colisión impide el flujo de electrones a través del metal y, por lo tanto, aumenta la resistencia del metal. Por tanto, el coeficiente de temperatura de los metales es positivo.

A diferencia de la sustancia metálica, la resistencia de las sustancias semiconductoras y aislantes disminuye con el aumento de la temperatura. El material semiconductor y aislante tiene un coeficiente de temperatura negativo.

¿Por qué la resistencia de los no metálicos? sustancias disminuye con el aumento de la temperatura?

Con un aumento de la temperatura, aumenta la energía térmica en el cristal y, como resultado, los enlaces covalentes comienzan a romperse y liberan más electrones en el cristal. Ahora, cuantos más electrones salen de la banda de valencia, pasan por el hueco prohibido y llegan a la banda de conducción.

Coeficiente de temperatura de resistencia: fórmula y problemas resueltos>

El número de electrones libres que pasan de la banda de valencia a la banda de conducción aumenta con el aumento de la temperatura y, por lo tanto, la resistencia de la sustancia no metálica disminuye con el aumento de la temperatura.

Problemas Resueltos de Temperatura Coeficiente de Resistencia

La resistencia del filamento de una bombilla es de 112 Ω a una temperatura de 110 °C. y su resistencia es de 180Ω a 375 °C. Calcula su coeficiente de temperatura.

Coeficiente de temperatura de resistencia: fórmula y problemas resueltos>La resistencia del filamento de una bombilla es de 100 Ω a una temperatura de 100 °C. Si su TCR es de 0,005 por °C, su resistencia será de 200 Ω a una temperatura de?

Coeficiente de temperatura de resistencia: fórmula y problemas resueltos>

  • Efecto de la temperatura sobre la resistencia
  • ¿Cómo varía la resistencia con el diámetro?
  • ¿Qué es la resistencia eléctrica? Definición y Unidad de Resistencia
Error 403 The request cannot be completed because you have exceeded your quota. : quotaExceeded

[automatic_youtube_gallery type=»search» search=»Coeficiente de temperatura de resistencia: fórmula y problemas resueltos» limit=»1″]

Coeficiente de Temperatura de Resistencia: Fórmula y Problemas Resueltos

En el fascinante mundo de la electrónica y la física, el coeficiente de temperatura de resistencia se erige como una propiedad esencial de los materiales conductores. Este coeficiente ‍describe cómo varía la⁤ resistencia eléctrica de un material con ‍los cambios en la ‍temperatura.

¿Qué es el Coeficiente de Temperatura‍ de Resistencia?

El coeficiente de⁤ temperatura de resistencia (CTR) es un parámetro⁤ que ‌muestra la relación entre la variación de la resistencia eléctrica y la temperatura. Al aumentar la temperatura de un material conductor, su resistencia ⁣también tiende a aumentar de manera lineal en la mayoría de⁤ los metales, mientras​ que ​en los semiconductores, la resistencia puede disminuir.

Símbolo y Unidad

El coeficiente de temperatura se representa con el símbolo α (alfa) y su‍ unidad es °C.

Fórmula ​del Coeficiente de Temperatura de Resistencia

Para calcular el coeficiente de temperatura de resistencia, se puede utilizar la siguiente fórmula:

Fórmula

α = (R2 – R1) / (R1 * (T2 – T1))

Donde:

  • R1: Resistencia a la temperatura ‍ T1
  • R2: Resistencia a la⁢ temperatura T2
  • T1 y T2:​ Temperaturas en grados centígrados

Relación ⁣Entre Temperatura y Resistencia

La resistencia de un material depende de varios factores:

  1. La resistencia‍ del material a una temperatura base.
  2. El coeficiente de temperatura de resistencia α.
  3. El​ cambio en la temperatura ΔT = T – T0, donde T0 es la temperatura inicial.

Ejemplo de Cálculo

Supongamos que un metal tiene una​ resistencia de ‍ 10 ⁤Ω ⁤ a 20 °C y a 100 °C su resistencia es de 15 Ω.

Usando la‍ fórmula anterior:

α = (15 Ω – ⁣10 Ω) / (10 Ω * (100°C – 20°C)) = 0.000625 ‌°C-1

Problemas Resueltos

Ejemplo 1

Si la resistencia a 25 °C de un alambre de cobre es de⁢ 20 Ω y a 75 °C es de 25 Ω. Calculamos el coeficiente de temperatura.

Aplicando la fórmula:

α = (25 ⁣Ω ⁤- 20 Ω) / (20 Ω * (75°C – 25°C)) = 0.0005 °C-1

Ejemplo 2

El coeficiente de temperatura‍ de un material semiconductor se mide ⁢a 20 °C y resulta ser -0.002 °C-1. Si su resistencia a 20 °C es 50 Ω,​ ¿cuál será su resistencia a 60 °C?

Utilizando ⁣la fórmula:

R = R0 * (1 + α * ΔT) = 50 Ω * (1 – 0.002 ​* (60⁢ – 20)) = ⁢50 Ω * (1 – 0.08) = 46 Ω

FAQs

¿Por qué la resistencia aumenta con la temperatura en metales?

Los metales tienen electrones⁣ libres que se mueven a través de su estructura. Aumentar la temperatura ⁤incrementa la vibración de la red cristalina del metal, lo que provoca un mayor choque entre los‍ electrones⁢ y los átomos del‌ material, aumentando así la resistencia.

¿Existen ‌materiales donde la resistencia disminuye con el aumento de temperatura?

Sí, en los semiconductores, a medida que aumenta la⁣ temperatura, más electrones tienen ⁤suficiente energía para saltar a la banda de conducción, lo que reduce la resistencia.

¿Cómo se ⁢aplica ‍el coeficiente de temperatura de resistencia en la práctica?

Este coeficiente‍ es fundamental ‍en el⁢ diseño de circuitos⁤ eléctricos y componentes electrónicos, ya que permite predecir el comportamiento de los materiales bajo diferentes condiciones ⁤térmicas.

Conclusiones

El ​coeficiente de temperatura de resistencia juega un papel crucial en la comprensión​ de cómo los materiales conductores y semiconductores responden a los cambios de temperatura. Conocer la fórmula y cómo aplicarla⁤ a problemas prácticos es ⁢esencial para trabajar en el campo de la electrónica.

Para más información, consulta ‌ este artículo sobre el coeficiente de temperatura de resistencia y este análisis sobre su importancia en la ⁣electrónica.

2 comentarios en «Coeficiente de temperatura de resistencia: fórmula y problemas resueltos»

  1. Masizzoaz: ¡Totalmente de acuerdo, jerian! Ese tipo de experimentos son los que realmente ayudan a entender cómo funcionan las cosas en el mundo real. Yo también recuerde haber hecho algo similar en la universidad y me sorprendió lo relevante que es el coeficiente de temperatura de resistencia en la vida diaria, ya que afecta desde los cables eléctricos hasta los componentes de nuestros gadgets. Es un concepto que al principio parece complicado, pero una vez que lo aplicas, todo cobra sentido. ¡Gran artículo!

  2. ¡Hola jerian! Me parece que el artículo sobre el coeficiente de temperatura de resistencia está súper interesante. La fórmula explicada de manera clara hace que el tema parezca menos intimidante. Recuerdo que en mi clase de física, tuvimos que hacer un experimento donde medíamos la resistencia de un conductor a diferentes temperaturas y quedó claro cuánto influía el calor. Al final, ver cómo esos cálculos se aplicaban en la práctica fue muy gratificante. ¡Buen trabajo!

Deja un comentario