¿Te has preguntado alguna vez cuál es la diferencia entre kW y kVA? Si trabajas en el mundo de la electricidad, la energía o incluso si solo tienes curiosidad por entender mejor los términos que a menudo escuchamos, este artículo es para ti. Aunque ambos términos están relacionados con el consumo y la generación de energía, representan conceptos distintos que resultan esenciales para la correcta gestión de cualquier instalación eléctrica. Sumérgete con nosotros en este fascinante tema y descubre cómo estos dos términos pueden impactar en la eficiencia de tu sistema eléctrico y ayudarte a tomar decisiones más informadas. ¡Vamos a desmitificar el enigma de kW y kVA!
¿Te has preguntado alguna vez cuál es la diferencia entre kW y kVA? Aunque estos términos pueden parecer similares, son dos conceptos completamente diferentes en el ámbito de la electricidad. Si quieres conocer las diferencias y descubrir cuál es la medida más adecuada para tus necesidades, has llegado al lugar indicado. En este artículo te explicaremos de manera clara y concisa la diferencia entre kW y kVA y su importancia en el mundo de la energía eléctrica. ¡No te lo pierdas!
kw es el unidad de potencia activa que es consumido por la carga para hacer un trabajo real. La potencia real extraída del sistema también se conoce como potencia activa o potencia media. kVA es el poder aparente extraídos de la fuente de alimentación para el funcionamiento del equipo eléctrico. El equipo eléctrico extrae energía reactiva para cumplir con su requisito de corriente de magnetización.
>
Para comprender el concepto de potencia aparente, entienda primero el concepto de potencia reactiva. El equipo que funciona según el principio magnético siempre consume una potencia reactiva conocida como kVAr. El kVAr es la potencia que no es consumida por el equipo pero sí almacenada en el sistema.
Los elementos reactivos como inductores, capacitores y cargas no lineales como diodos, transistores de unión bipolar, MOSFET, IGBT, etc. extraen corriente reactiva de la fuente de alimentación. Estos componentes eléctricos consumen potencia reactiva (kVAr) pero no consumen potencia real excepto alguna potencia activa menor. Por lo tanto, el inductor, el capacitor y las cargas no lineales extraen potencia reactiva (kVAr) de la fuente de suministro.
Cuando un inductor está conectado a una fuente de alimentación alterna, consume corriente que se retrasa 90 grados con respecto al voltaje. La potencia activa consumida por el inductor es cero, el inductor solo consume potencia reactiva (kVAr), excepto una potencia activa muy pequeña en forma de pérdida de calor.
Similar a un inductor, cuando un capacitor está conectado a una fuente de alimentación alterna, consume corriente que se adelanta al voltaje en 90 grados. La potencia activa consumida por el capacitor es cero, el capacitor solo consume potencia reactiva (kVAr), excepto una potencia activa muy pequeña en forma de pérdida de calor.
El inductor y el capacitor de los componentes reactivos no extraen ninguna potencia real o potencia activa del sistema, pero estos componentes del circuito extraen corriente del sistema para cumplir con su requisito de potencia reactiva (kVAr). Por lo tanto, la corriente total extraída de la fuente de suministro es la suma vectorial de la corriente activa y reactiva. El concepto de los tres tipos de potencia activa (kW), potencia reactiva (kVAr) y potencia aparente (kVA) se puede entender bien con el diagrama de triángulo de potencia.
>
Del triángulo de potencia anterior,
La relación entre kW, kVAr y kVA es la siguiente.
>Dónde,
kVA – Potencia aparente
kW – Potencia activa
kVAr – Potencia reactiva
La relación entre kW, kVAr y kVA es la siguiente.
Si la corriente reactiva consumida es cero, la potencia aparente es igual a la potencia real o activa. En el caso de las cargas resistivas, la corriente reactiva es cero y la potencia real y la potencia aparente son iguales.
En el caso de las cargas inductivas y capacitivas, la potencia aparente (kVA) siempre es mayor que la potencia activa. La potencia aparente aumenta con un aumento de la potencia reactiva con la misma potencia activa. El factor de potencia se reduce con un aumento en la potencia reactiva.
Relación entre KVA y KW
La relación entre KVA y KW para circuitos de CA monofásicos y trifásicos se muestra a continuación.
Circuito Monofásico – kVA y kW
La relación entre la potencia aparente y la potencia activa se muestra a continuación.
>Dónde,
CosΦ es el factor de potencia.
El factor de potencia es la unidad para las cargas resistivas y, por lo tanto, los kVA son iguales a los kW.
>La corriente del inductor y del condensador se retrasa y se adelanta al voltaje en 90 grados, respectivamente. Para un circuito monofásico, la potencia activa consumida por el inductor es;
>Por tanto, la potencia activa consumida por el inductor puro es cero. Para un circuito monofásico, la potencia reactiva consumida por el inductor es;
>Por lo tanto, el inductor puro extrae potencia reactiva solo. Un caso similar es con los capacitores. El capacitor también consume cero potencia activa, solo consume potencia reactiva.
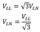
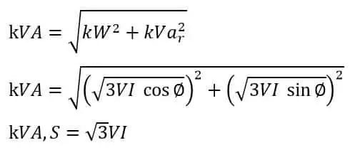
Circuito Trifásico – kW y kVA
Para un circuito trifásico, la tensión de fase es aproximadamente el 58 % de la tensión de línea.
>La potencia activa (P) en un circuito trifásico es;
>Dónde,
V = voltaje de línea a línea
yo = corriente de línea
La potencia reactiva (Q) en un circuito trifásico es;
>La potencia aparente (S) en un circuito trifásico es;
>Dónde,
S es potencia aparente.
El equipo eléctrico siempre extrae potencia reactiva para su trabajo y potencia activa para entregar trabajo útil. Algunas de las clasificaciones de equipos eléctricos se especifican en potencia aparente (kVA)
El fabricante especifica la clasificación del transformador y del alternador en kVA porque no sabe con qué factor de potencia el usuario operará el equipo.
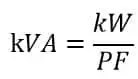
Cálculos de Kw a kVA
La fórmula de conversión de KW a KVA es,
>Dónde,
- KW- Potencia Real o Potencia Activa
- KVA – Potencia aparente
- PF – Factor de potencia
Cálculos de kVA a kW
La fórmula de conversión de KW a KVA es,
>Dónde,
- KW- Potencia Real o Potencia Activa
- KVA – Potencia aparente
- PF – Factor de potencia
Ejercicios resueltos sobre kW y kVA
Una carga trifásica equilibrada consume 100 KW de potencia con un factor de potencia de 0,90. El voltaje de línea a línea del sistema es de 440 voltios (RMS). ¿Cuál es la potencia aparente consumida por la carga?
>corriente de linea yoL
>Si el factor de potencia del sistema se mejora a 0,995, ¿cuáles son los kVA y la corriente de línea?
>Corriente de línea IL es
>Por lo tanto, los kVA y la corriente de línea disminuyen con la mejora del factor de potencia.
Así, los kVA y kW dependen en el factor de potencia de la carga.
- ¿Qué es la potencia activa, reactiva y aparente?
- ¿Qué es un Triángulo de Potencia? Potencia activa, reactiva y aparente
[automatic_youtube_gallery type=»search» search=»¿Cuál es la diferencia entre kW y kVA?» limit=»1″]
¿Cuál es la diferencia entre kW y kVA?
¿Te has preguntado alguna vez cuál es la diferencia entre kW y kVA? Aunque estos términos pueden parecer similares, representan conceptos completamente diferentes en el ámbito de la electricidad.
Ambas medidas son fundamentales para entender el consumo y la generación de energía en un sistema eléctrico. Aquí desmitificaremos el enigma de kW y kVA y te proporcionaremos la información necesaria para tomar decisiones informadas en el manejo energético.
Definiciones básicas
Para comprender la diferencia entre estos dos términos, primero es importante definir cada uno de ellos:
- kW (kilovatios): Es la unidad de medida que representa la potencia activa utilizada por un dispositivo para realizar trabajo. Esta potencia se traduce directamente en energía consumida por las cargas eléctricas y es la que realmente se necesita para el funcionamiento de un sistema.
- kVA (kilovoltio-amperios): Esta unidad mide la potencia aparente que incluye tanto la potencia activa como la potencia reactiva, es decir, toda la energía que fluye en un sistema. Es particularmente importante cuando se utilizan equipos con componentes inductivos o no lineales.
Diferencias clave entre kW y kVA
Las diferencias más relevantes entre kW y kVA son:
- El kW mide la energía real consumida, mientras que el kVA mide la energía total suministrada por la fuente eléctrica.
- La relación entre estas dos unidades está dada por el factor de potencia (FP), que se define como la relación entre la potencia activa y la potencia aparente. El factor de potencia puede ser expresado como:
kW = kVA × FP
Donde el factor de potencia es un valor entre 0 y 1, que indica la eficiencia del sistema eléctrico. Un factor de potencia cercano a 1 significa que la mayoría de la energía es utilizada efectivamente.
¿Por qué es importante la diferencia entre kW y kVA?
Conocer la diferencia entre estas dos medidas es esencial para:
- Seleccionar el equipo adecuado: Muchos dispositivos eléctricos especifican su consumo en kW, mientras que los transformadores y generadores a menudo utilizan kVA.
- Calcular costos energéticos: Las empresas pueden ahorrarse costos si optimizan su uso de kW en lugar de simplemente aumentar su capacidad en kVA.
- Determinar la capacidad de un sistema eléctrico: Al diseñar instalaciones eléctricas, es crucial entender cómo se relacionan kW y kVA para prevenir sobrecargas y garantizar eficiencia.
FAQs – Preguntas frecuentes
¿Puedo usar kVa cuando sólo utilizo kW?
Sí, pero es fundamental conocer la relación entre ambos y el factor de potencia de tu instalación para calcular la potencia aparente necesaria.
¿Qué es la potencia reactiva (kVAr)?
La potencia reactiva, medida en kVAr, es el componente de la electricidad consumido por cargas inductivas, como motores y transformadores. Esta potencia no realiza trabajo, pero es necesaria para mantener el campo magnético en estos dispositivos.
¿Cómo afecta el factor de potencia a mi factura de electricidad?
Un bajo factor de potencia puede resultar en cargos extra en tu factura, ya que las empresas de servicios públicos pueden penalizar a los usuarios que no utilizan la potencia adecuadamente.
3 comentarios en «¿Cuál es la diferencia entre kW y kVA?»
Deja un comentario
Lo siento, debes estar conectado para publicar un comentario.
Italo: ¡Exacto, chicos! A mí también me pasó cuando instalé un sistema solar en casa. Al principio solo miraba los kW, y no me daba cuenta de que los kVA jugaban un papel fundamental. Después de leer más sobre el tema, logré optimizar mi instalación y, vaya que noté la diferencia en la factura de energía. Es clave entender bien esto para evitar gastar de más y tener todo funcionando al 100%. ¡Gracias por compartir sus experiencias, me alegra no ser el único que pasó por esto!
Nico: ¡Totalmente de acuerdo, santiago jaime! Al principio también tenía la misma confusión y me costó un montón entenderlo. Cuando instalé mi primer generador, pensaba que solo necesitaba fijarme en los kW, y acabé sobredimensionando todo. Ahora entiendo que tener claro eso de kW y kVA es súper importante para ahorrar en costos y evitar problemas. ¡Gracias por compartir tu experiencia!
¡Muy interesante el artículo! Yo recuerdo que al principio me costaba entender la diferencia entre kW y kVA cuando estaba configurando un sistema eléctrico para mi negocio. Pensaba que eran lo mismo y ¡vaya confusión! Gracias a esta información ahora sé que kW se refiere a la potencia real que utilizo y kVA a la potencia aparente. ¡Definitivamente, es clave para no llevarse sorpresas en la factura!