Efecto de los armónicos en el factor de potencia

Efecto de los armónicos en el factor de potencia

En el mundo de la electricidad, el factor de potencia se erige como un indicador vital de la eficiencia en el consumo energético. Sin embargo, un enemigo silencioso acecha entre los circuitos y las cargas: los armónicos. Estos fenómenos, aunque menos visibles, pueden alterar drásticamente el comportamiento de nuestras instalaciones eléctricas, causando pérdidas económicas y afectando la calidad de la energía. A medida que la tecnología avanza y las cargas no lineales se vuelven más comunes en nuestros hogares y empresas, comprender la interacción entre los armónicos y el factor de potencia se vuelve esencial para garantizar un uso óptimo de la energía. En este artículo, exploraremos cómo los armónicos influyen en el factor de potencia y qué medidas podemos tomar para mitigar sus efectos. ¡Únete a nosotros en este recorrido por un tema que cambia las reglas del juego en el ámbito eléctrico!

Los armónicos son fenómenos indeseables que pueden afectar el funcionamiento eficiente de los equipos y sistemas eléctricos, especialmente en lo que respecta al factor de potencia. En este artículo, exploraremos en detalle el efecto de los armónicos en el factor de potencia y cómo estos pueden ser controlados y mitigados para garantizar un funcionamiento óptimo de las instalaciones eléctricas. ¡Descubre cómo los armónicos pueden causar problemas en el factor de potencia y cómo solucionarlos!

Este artículo describe el efecto de los armónicos en el factor de potencia. Las cargas no lineales provocan armónicos en el sistema de energía eléctrica y afectan negativamente el factor de potencia. El deterioro del factor de potencia debido a los armónicos provoca una mayor pérdida de potencia y afecta el rendimiento de las máquinas y aparatos eléctricos. Antes de entender cómo los armónicos causan un factor de potencia más bajo, primero entenderemos la diferente terminología del factor de potencia.

Hay tres términos de factor de potencia ampliamente utilizados para las redes eléctricas. Los términos son bastante confusos y una comprensión clara es imprescindible para un ingeniero eléctrico.

  • Factor de potencia de desplazamiento
  • Factor de potencia de distorsión
  • Factor de potencia real
  • ¿Qué es el factor de potencia de desplazamiento?

    Cuando las cargas lineales están conectadas a una fuente de voltaje sinusoidal, la corriente consumida por la carga también es sinusoidal. La corriente puede estar en fase con el voltaje aplicado o desfasada con el voltaje aplicado. El desplazamiento de fase depende de la naturaleza de la carga. Los dispositivos lineales son los dispositivos que siguen la ley de Ohm. El inductor, el capacitor y la resistencia son los dispositivos lineales y la corriente consumida por estos dispositivos está en una relación lineal con el voltaje aplicado.

    Efecto de los armónicos en el factor de potencia>El coseno de la diferencia de ángulo de fase. ( CosΦ) entre el voltaje y la corriente se llama factor de potencia de desplazamiento (DPF) o factor de potencia fundamental.

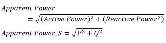
    Cuando se alimenta voltaje de CA a una carga resistiva, inductiva y capacitiva, la corriente que fluye a través de estos componentes tiene diferentes cambios de ángulo de fase con respecto al voltaje aplicado. La corriente y el voltaje están en fase para la carga resistiva. La carga resistiva consume solo potencia activa. No extrae potencia reactiva. La potencia reactiva es potencia sin vatios. En el caso de cargas inductivas y capacitivas puras, la corriente es de naturaleza reactiva. Por lo tanto, en un circuito de CA, se utilizan tres términos de potencia.

  • La potencia activa o real
  • Poder reactivo
  • Poder aparente
  • El triángulo de carga de tres potencias se da a continuación.

    Efecto de los armónicos en el factor de potencia>La relación entre la potencia real o activa y la potencia aparente se conoce como factor de potencia.

    Efecto de los armónicos en el factor de potencia>El factor de potencia de la carga resistiva es la unidad porque la potencia reactiva consumida por la carga resistiva es cero. La potencia aparente es la suma vectorial de la potencia real y la potencia reactiva.

    Efecto de los armónicos en el factor de potencia>El factor de potencia del sistema depende de la carga inductiva. La carga más inductiva consume una gran potencia reactiva y, por lo tanto, la potencia aparente total aumenta y provoca un factor de potencia bajo.

    ¿Qué es el factor de potencia de distorsión?

    En días anteriores, la mayoría de las cargas eran cargas lineales. Sin embargo, después del desarrollo avanzado en dispositivos semiconductores de potencia, todas las industrias ahora usan variadores de frecuencia, variadores de CC, inversores, convertidores y muchos tipos de equipos electrónicos para facilitar la operación y ahorrar energía.

    Los dispositivos semiconductores como diodos de potencia, MOSFET e IGBT son tipos de carga no lineal y la corriente consumida por estos dispositivos no varía según el voltaje. Estos dispositivos no siguen la ley de Ohm y se denominan dispositivos no óhmicos o no lineales.

    Los dispositivos semiconductores extraen potencia reactiva de la fuente debido a los armónicos producidos por los dispositivos. La corriente consumida por el dispositivo semiconductor tiene armónicos. La frecuencia integral múltiplos de la frecuencia fundamental se llama armónicos. Por lo tanto, estos dispositivos contaminan la red de energía eléctrica. Los armónicos son un tipo de distorsión que no realiza ningún trabajo real y provoca la extracción de corriente sin vatios de la fuente de alimentación.

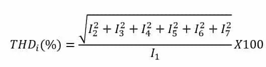
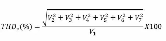
    Los armónicos se pueden medir con la ayuda de un analizador de armónicos. La distorsión armónica total en tensión y corriente se puede medir con el analizador de armónicos. La distorsión armónica total en voltaje se puede expresar siguiendo las siguientes expresiones matemáticas.

    Efecto de los armónicos en el factor de potencia>De manera similar, la distorsión armónica total en la corriente se puede expresar siguiendo las siguientes expresiones matemáticas.

    Efecto de los armónicos en el factor de potencia>V1 y yo1 es la tensión y la corriente fundamentales.

    La carga con más distorsión armónica total consume más potencia reactiva y el factor de potencia de distorsión es bajo. El factor de potencia de distorsión depende de la distorsión armónica total producida por la carga.

    El factor de potencia de distorsión se puede expresar mediante las siguientes expresiones matemáticas.

    Efecto de los armónicos en el factor de potencia>De la fórmula anterior, está claro que cuanto mayor sea el THD, menor será el factor de distorsión. El factor de potencia se deteriora con el aumento de la distorsión armónica total. El efecto de los armónicos en el factor de potencia se muestra en el siguiente gráfico.

    Efecto de los armónicos en el factor de potencia>¿Qué es el factor de potencia real?

    De la discusión anterior, está claro que el factor de potencia general de la red eléctrica depende de;

  • Factor de potencia de desplazamiento
  • Factor de potencia de distorsión
  • El factor de potencia de distorsión se deteriora con un aumento en los armónicos y, por lo tanto, afecta el factor de potencia general del sistema.

    El verdadero factor de potencia es igual al producto de los factores de potencia de desplazamiento y distorsión.

    Efecto de los armónicos en el factor de potencia>El verdadero factor de potencia de una red eléctrica se puede expresar siguiendo expresiones matemáticas.

    Efecto de los armónicos en el factor de potencia>De la expresión anterior del verdadero factor de potencia, está claro que el factor de potencia disminuye con un aumento en los armónicos. El factor de potencia real permanece bajo debido a un factor de potencia de distorsión deficiente, incluso cuando hay un buen factor de potencia de desplazamiento.

    Efecto de los armónicos en el factor de potencia

    Los armónicos afectan el factor de potencia de las siguientes maneras.

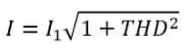
    • La corriente RMS aumenta con un aumento en los armónicos. Si no hay armónicos la corriente RMS es I1. La corriente RMS en presencia de armónicos aumentará. La fórmula de la corriente RMS es;
    Efecto de los armónicos en el factor de potencia>

    • KVA (potencia aparente) aumenta debido a un aumento en la corriente RMS. KVA es inversamente proporcional al factor de potencia y aumenta con una disminución en el factor de potencia.
    Efecto de los armónicos en el factor de potencia>

    • La potencia activa kW tiene que disminuir si la demanda de kVA aumenta. Por lo tanto, afecta la entrega de potencia.
    • Este factor de potencia disminuye debido a los armónicos en el sistema.

    ¿Cómo aumentar el factor de potencia real?

    • El verdadero factor de potencia puede aumentarse solo si aumentamos el factor de potencia de desplazamiento y el factor de potencia de distorsión.
    • El factor de potencia de desplazamiento se puede aumentar instalando un banco de condensadores en la fuente de suministro. El capacitor extrae kVAR capacitivos y anula los kVAR inductivos.
    • Los filtros de armónicos, como los filtros pasivos, híbridos y activos, mejoran el factor de potencia de distorsión.
    • La combinación de bancos de condensadores y filtros activos de armónicos mejora los factores de potencia de desplazamiento y distorsión. Y, como resultado, mejora el verdadero factor de potencia.

    Se trata del efecto de los armónicos en el factor de potencia.

    Error 403 The request cannot be completed because you have exceeded your quota. : quotaExceeded

    [automatic_youtube_gallery type=»search» search=»Efecto de los armónicos en el factor de potencia» limit=»1″]

    Efecto de los Armónicos en el Factor de ‍Potencia

    ⁤ En el ámbito de la electricidad, el‍ factor de potencia se destaca como un indicador crucial de la eficiencia energética. Sin embargo, un fenómeno menos visible, conocido como⁤ armónicos, puede afectar drásticamente el ‌comportamiento de las instalaciones eléctricas, generando pérdidas económicas y deteriorando la calidad de la energía.

    ¿Qué‍ son los Armónicos?

    Los armónicos son componentes de frecuencia que son múltiplos enteros de la frecuencia fundamental. En sistemas eléctricos que⁤ utilizan cargas no lineales, como los variadores de frecuencia y los inversores, se generan armónicos ⁣que distorsionan la forma de onda de corriente y voltaje, afectando el rendimiento y la eficiencia de los sistemas eléctricos ⁢ [[3]].

    Interacción entre Armónicos y ⁢Factor de Potencia

    ⁣ ​ La interferencia de los armónicos en el factor de potencia se manifiesta de varias maneras:

    1. Aumento ⁢de las pérdidas de⁤ potencia: Los armónicos generan corrientes adicionales que no realizan trabajo útil, lo que incrementa las pérdidas de potencia⁤ en​ los conductores y transformadores.
    2. Degradación de equipos: La presencia de armónicos puede reducir ​la vida útil de⁤ los equipos eléctricos, provocando fallas prematuras y costos de mantenimiento elevado.
    3. Desplazamiento del factor de potencia: Los ⁢armónicos afectan la relación entre la potencia activa ‍y la aparente, debilitando la eficiencia del sistema eléctrico [[2]].

    Tipologías de Factor de Potencia

    ‌ Es importante distinguir entre diferentes conceptos de factor‍ de potencia:

    • Factor de Potencia de Desplazamiento (DPF): Relaciona la potencia activa con la potencia ⁣aparente⁤ y ‍considera el ángulo de ​fase entre corriente y​ voltaje.
    • Factor de Potencia de Distorsión: Refleja el impacto de los‍ armónicos en la corriente; a mayor distorsión armónica, menor⁤ es el factor de potencia de distorsión.
    • Factor de‍ Potencia Real: Representa la combinación de los factores anteriores, indicando ​la efectividad total en ​el ‌uso de la​ energía.

    Cómo Mitigar los ⁤Efectos de los ‌Armónicos

    Para minimizar el impacto negativo de los armónicos,⁣ se pueden implementar diversas estrategias:

    • Filtros activos y pasivos: Estos dispositivos pueden reducir los niveles⁤ de armónicos⁤ en un sistema eléctrico, mejorando así el factor de potencia.
    • Equipos⁤ de mejor calidad: ‍ Usar transformadores y generadores diseñados para manejar armónicos puede ser una inversión acertada.
    • Mantenimiento regular: Inspeccionar y mantener los equipos eléctricos contribuye a detectar ‌problemas antes de que⁢ se conviertan en fallas mayores.

    FAQs sobre el Efecto de los Armónicos en el Factor de⁢ Potencia

    ¿Qué medidas pueden tomar las empresas para mejorar su factor de potencia?

    Las empresas pueden optar por instalar filtros de ⁤armónicos, actualizar sus equipos eléctricos y realizar auditorías energéticas para ​identificar‍ áreas de mejora en su sistema eléctrico.

    ¿Cómo se miden los⁣ armónicos en un sistema eléctrico?

    Los‌ armónicos se pueden medir⁢ utilizando analizadores de potencia que permiten calcular tanto‍ la distorsión armónica total‍ en ​voltaje como en corriente, proporcionando un diagnóstico preciso del sistema [[1]].

    ¿Qué efectos inmediatos ⁢pueden causar los armónicos en el equipo eléctrico?

    Los armónicos pueden provocar sobrecalentamiento, mal funcionamiento y daños a largo plazo en equipos, así como interrupciones en el suministro eléctrico.

    ¿Es legal controlar los niveles⁣ de armónicos en instalaciones eléctricas?

    Sí, muchas normativas eléctricas establecen límites a la distorsión armónica en instalaciones eléctricas para garantizar ‍la calidad del suministro y ‌proteger equipos.[[3]]

    Conclusión

    ⁢ ‌ Comprender​ el efecto de los‍ armónicos en el factor de potencia es ⁣esencial para optimizar el uso de​ la energía ‍y garantizar la sostenibilidad en nuestras instalaciones eléctricas. Con la correcta implementación de medidas y la adopción ‌de tecnologías adecuadas, es posible mitigar sus efectos y⁤ mejorar la eficiencia energética.

    3 comentarios en «Efecto de los armónicos en el factor de potencia»

    1. ¡Totalmente de acuerdo! El artículo explica muy bien cómo los armónicos pueden afectar el factor de potencia. Recuerdo que una vez en una planta donde trabajé, tuvimos problemas con la eficiencia eléctrica debido a los armónicos. Tuvimos que hacer ajustes en el sistema y fue un verdadero dolor de cabeza, pero ahora entiendo mucho más gracias a este tipo de información. ¡Es crucial estar al tanto de estos detalles!

    2. Danail: ¡Exacto! A mí también me pasó algo similar en un proyecto de instalación eléctrica. Los armónicos nos causaron varios problemas y al principio no entendía por qué. Después de leer sobre el tema, logré identificar la fuente y aplicar soluciones. Definitivamente, tener claridad sobre cómo los armónicos influyen en el factor de potencia es vital para evitar sorpresas. ¡Gracias por compartir!

    3. RajdusX: ¡Eso es! Yo también tuve una experiencia similar en una instalación industrial. Al principio, ni me imaginaba que los armónicos estaban causando el desbalance en el factor de potencia. Me asusté un poco cuando nos llegaron las facturas de la luz más altas de lo esperado. Después de informarme y hacer unas pequeñas modificaciones, pudimos controlar la situación. Este artículo es muy útil y ayuda a entender la importancia de prestar atención a estos detalles. ¡Gracias por compartir!

    Deja un comentario