Energía almacenada en un condensador-Fórmula y ejemplos

Energía almacenada en un condensador: Fórmula y ejemplos

¿Alguna vez te has preguntado cómo se almacena la energía en un condensador y por qué es fundamental en el mundo de la electrónica? Los condensadores son componentes esenciales que permiten el funcionamiento de innumerables dispositivos, desde tus gadgets cotidianos hasta sofisticados sistemas eléctricos. En este artículo, desglosaremos la fórmula que rige la energía almacenada en un condensador y exploraremos ejemplos prácticos que ilustran su relevancia y aplicación en la vida real. Prepárate para descubrir los secretos de este fascinante componente y su papel crucial en la tecnología moderna. ¡Comencemos!

¿Alguna vez te has preguntado cómo se almacena la energía en un condensador y cómo calcularla? En este artículo, te mostraremos la fórmula y algunos ejemplos prácticos para que comprendas mejor este concepto fundamental en el campo de la energía eléctrica. ¡Prepárate para descubrir el fascinante mundo de la energía almacenada en un condensador!

En este artículo, derivaremos la energía almacenada en una fórmula de capacitor. El tipo de energía almacenada en un capacitor es energía potencial electrostática. La energía potencial electrostática depende de la carga almacenada y del voltaje entre las placas del condensador. Así, un condensador almacena energía eléctrica en forma de energía electrostática entre sus placas.

Cuando desconectamos el condensador después de cargarlo por completo, no se descarga rápidamente sino que tarda un tiempo en descargarse. De hecho, el condensador se descarga a través de su resistencia interna. La resistencia interna del capacitor tiene un valor muy alto.

Energía almacenada en un condensador

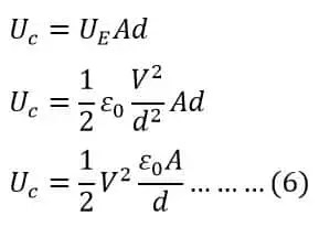
Entendamos cómo se relaciona la energía almacenada en un capacitor con la carga eléctrica Q y la diferencia de potencial entre las placas V. Para entender esto, consideramos un capacitor que tiene aire como medio dieléctrico entre las placas. Sea el espacio entre sus placas un volumen Anuncio. Este volumen tiene un campo electrostático uniforme. mi & la energía total UC está contenido dentro de este espacio.

La densidad de energía en este espacio se puede calcular dividiendo la energía total por el volumen. Matemáticamente,

Energía almacenada en un condensador-Fórmula y ejemplos>Por lo tanto, la energía almacenada en un condensador es ‘

Energía almacenada en un condensador-Fórmula y ejemplos>

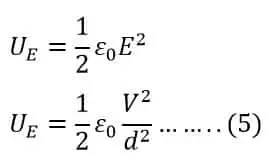
La densidad de energía Umi en una región de espacio libre ocupada por un campo eléctrico mi depende únicamente de la magnitud del campo.

Energía almacenada en un condensador-Fórmula y ejemplos>El campo eléctrico entre las placas de un capacitor es;

Energía almacenada en un condensador-Fórmula y ejemplos>Poniendo el valor del campo eléctrico E en la ecuación 3, obtenemos;

Energía almacenada en un condensador-Fórmula y ejemplos>Colocando el valor de Umi en la ecuación 2, la energía total almacenada en un capacitor es;

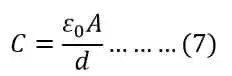
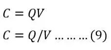
Energía almacenada en un condensador-Fórmula y ejemplos>Sabemos, el valor de la capacitancia es;

Energía almacenada en un condensador-Fórmula y ejemplos>

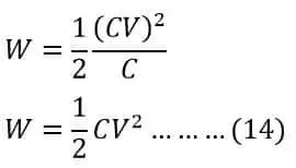
Poniendo el valor de la capacitancia C de la ecuación 7 en la ecuación 6, obtenemos;

Energía almacenada en un condensador-Fórmula y ejemplos>Sabemos,

Energía almacenada en un condensador-Fórmula y ejemplos>Por lo tanto, la energía total almacenada en un condensador es;

Energía almacenada en un condensador-Fórmula y ejemplos>Por lo tanto, la formula de la energia almacenada en un capacitor puede expresarse siguiendo la fórmula matemática,

Energía almacenada en un condensador-Fórmula y ejemplos>Método alternativo para derivar la fórmula de la energía almacenada en un condensador

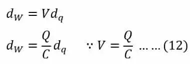
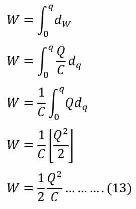
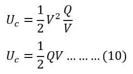
Necesitamos hacer trabajo cuando movemos una carga infinitesimal dq de menor potencial a mayor potencial. Por lo tanto, al mover la carga de la placa negativa a la placa positiva, se debe realizar una cantidad de trabajo dW sobre dq. El trabajo realizado para mover la carga es;

Energía almacenada en un condensador-Fórmula y ejemplos>Este trabajo es la energía almacenada en el campo eléctrico del condensador. El trabajo total realizado para cargar un condensador a una carga Q es;

Energía almacenada en un condensador-Fórmula y ejemplos>Poniendo el valor de Q= CV en la ecuación 13, obtenemos;

Energía almacenada en un condensador-Fórmula y ejemplos>Conclusión

De la discusión anterior, está claro que la energía almacenada en un capacitor se debe al campo electrostático desarrollado entre las placas de un capacitor. La energía almacenada en un condensador se debe a la diferencia de potencial, por lo que también se le llama energía potencial.

La energía almacenada en un capacitor es proporcional al valor de la capacitancia. Por lo tanto, la capacitancia de mayor valor almacena más energía para el mismo voltaje.

La propiedad de los condensadores de almacenar energía los hace aptos para diversos circuitos eléctricos y electrónicos como cargadores, bancos de condensadores, circuitos informáticos, etc.

Problemas Resueltos de Energía Almacenada en un Condensador

Ejemplo Numérico(1)

Un capacitor tiene una capacitancia de 1.0 μF y está conectado a una batería de 60 voltios. Calcular la energía almacenada en el condensador.

Datos dados-
C= 1,0 μF = 1 X 10-6 Faradio
V= 60 voltios
tuC = ?

Energía almacenada en un condensador-Fórmula y ejemplos>Ejemplo Numérico(2)

Un capacitor almacena una carga de 100 mC cuando está conectado a una fuente de suministro de 100 voltios. Determine la energía almacenada en el capacitor.

Datos dados-
Q= 100 mC = 100 X 10-3 C= 0,1 C
V= 100 voltios
tuC =?

Energía almacenada en un condensador-Fórmula y ejemplos>

Error 403 The request cannot be completed because you have exceeded your quota. : quotaExceeded

[automatic_youtube_gallery type=»search» search=»Energía almacenada en un condensador-Fórmula y ejemplos» limit=»1″]

Energía Almacenada en un Condensador: ⁤Fórmula y Ejemplos

¿Qué ‌es un ⁤Condensador?

Un condensador, también conocido como⁣ capacitor, es ⁤un dispositivo pasivo utilizado en electricidad y electrónica​ que almacena energía en forma de un‌ campo ‌eléctrico. Este componente es crucial en el funcionamiento ‍de numerosos dispositivos,‌ desde gadgets cotidianos hasta sistemas eléctricos⁣ complejos.

Su funcionamiento se‌ basa en la capacidad de almacenar carga eléctrica ‍en‌ sus placas, creando así un‍ potencial eléctrico.

Para más información​ técnica, puedes ‍consultar ‌la descripción en Wikipedia.

Energía Almacenada en un Condensador

La energía almacenada en ⁣un⁢ condensador se puede calcular a partir de la⁣ carga eléctrica (Q) y la diferencia de potencial (V) entre sus placas. La ​fórmula es:

U = 1/2 * C​ * V²

Donde:

  • U = ​energía almacenada (en julios)
  • C = capacitancia del condensador (en faradios)
  • V = voltaje entre las ⁣placas (en voltios)

La capacitancia es una propiedad del condensador que mide⁢ su capacidad de almacenar carga eléctrica. Esta relación implica que a‌ mayor voltaje o⁤ mayor capacitancia, más energía se almacena.

Ejemplos Prácticos

Aquí presentamos algunos ejemplos para ilustrar el uso de la fórmula de ⁢energía almacenada:

  1. Ejemplo ‍1: Si tenemos un condensador ⁣de 100 microfaradios ‍(100 x⁤ 10-6 F) ⁤conectado⁤ a una fuente de 12 voltios:

    U = 1/2 * (100 x 10-6) * (12)2 ⁣ = 0.0072 julios o 7.2 milijulios.

  2. Ejemplo 2: Un condensador de 470 microfaradios ‌(470 x ⁤10-6 ‌ F) con un⁢ voltaje ‍de 25‍ voltios:

    U = ‍1/2‍ * ​(470‍ x‍ 10-6) * (25)2 = ‌0.00146 julios o 1.46‍ milijulios.

¿Por qué es Importante⁣ el Almacenamiento de Energía?

El​ almacenamiento de energía en un condensador ⁢permite la regulación del flujo de corriente, suavizando las fluctuaciones de energía en⁣ circuitos eléctricos y proporcionando energía temporal cuando ‌es necesario. Además, los condensadores ​son esenciales en⁤ circuitos de filtrado, temporizadores y sistemas de arranque⁣ en motores eléctricos.

Preguntas Frecuentes (FAQs)

¿Qué ocurre⁣ cuando un condensador se descarga?

Cuando‍ un condensador se descarga, la energía almacenada fluye desde las placas a través del circuito, lo que⁤ puede alimentar⁤ dispositivos eléctricos⁢ o provocar un aumento de corriente temporal en el sistema. El⁣ tiempo de descarga depende ⁢de la⁤ resistencia interna del condensador ‍y el⁤ circuito externo.

¿Cuál es⁤ la diferencia entre un condensador y una batería?

La ‌principal diferencia ⁢entre un condensador y una batería‌ radica en su capacidad‌ de almacenamiento. Mientras que⁢ los condensadores almacenan energía temporalmente y se cargan⁣ y descargan rápidamente, las baterías almacenan ‌energía química y entregan energía de manera más gradual, lo ‌que les permite alimentarse durante períodos más prolongados.

¿Se puede aumentar ‍la energía almacenada en un condensador?

Sí, la energía‌ almacenada en‌ un condensador puede aumentarse incrementando el voltaje aplicado o ⁢utilizando un condensador con ​mayor capacitancia. Sin ‌embargo, hay límites físicos a estos parámetros ⁢que deben ser respetados para evitar daños al componente.

Conclusión

Entender la energía ‌almacenada en un condensador es⁢ crucial para apreciar su papel en la electrónica moderna. Tanto en aplicaciones ‌simples como complejas, ⁢su capacidad de almacenar y liberar energía es invaluable.

Para más información sobre condensadores y energía eléctrica, visita HyperPhysics.

3 comentarios en «Energía almacenada en un condensador-Fórmula y ejemplos»

  1. Xavier maria: ¡Totalmente de acuerdo, lahmar! También tengo un recuerdo de la universidad que me viene a la mente. Recuerdo una vez que armé un pequeño circuito con un condensador para un proyecto y me dejó boquiabierto ver la diferencia entre tenerlo cargado y descargado. Era como si tuviera un pequeño superpoder al controlar la energía en mis manos. Estos artículos me hacen sentir nostalgia, ¡gracias por traer esos recuerdos!

  2. Lahmar. Este artículo está genial, me encanta cómo explican la energía almacenada en un condensador. La verdad es que cuando estaba en la universidad, una vez hice un experimento con un circuito donde utilicé un condensador y me quedé sorprendido de cómo podía almacenar la energía. A veces me parece magia cómo funcionan estas cosas. ¡Gracias por compartirlo!

  3. Alexe: ¡Qué buenos recuerdos, chicos! A mí también me pasó algo similar. En una clase de electrónica, hicimos un experimento donde cargamos un condensador y luego lo usamos para encender una bombilla. Fue una locura ver cómo se iluminaba solo por un instante y luego se apagaba. En ese momento entendí lo poderosa que puede ser la energía almacenada. Me encanta leer sobre estos temas, me trae un montón de memorias. ¡Gracias por el artículo!

Deja un comentario