Inductor toroidal: construcción, trabajo, aplicaciones

Inductor toroidal: construcción, trabajo, aplicaciones

En el fascinante mundo de la electrónica, los inductores juegan un papel crucial, pero pocos componentes son tan intrigantes y eficientes como el inductor toroidal. Su forma única, combinada con su extraordinaria capacidad para almacenar energía magnética, lo convierte en una herramienta esencial en numerosos dispositivos modernos. Pero, ¿cómo se construye un inductor toroidal? ¿Qué principios físicos rigen su funcionamiento? Y, lo más importante, ¿dónde se emplea en nuestra vida cotidiana? En este artículo, desglosaremos estos aspectos con detalle, explorando el arte y la ciencia detrás de este componente fundamental. Prepárate para sumergirte en el apasionante universo de los inductores toroidales y descubrir cómo, a través de su ingeniosa construcción y versátiles aplicaciones, contribuyen a la revolución tecnológica que vivimos hoy.

Si te apasiona la electricidad y estás interesado en conocer todo sobre los componentes fundamentales de los circuitos, no puedes perderte este artículo. En esta ocasión, te vamos a hablar sobre el inductor toroidal, un dispositivo indispensable en muchos equipos electrónicos. Descubriremos cómo se construye, cómo funciona y cuáles son sus aplicaciones más comunes. ¡Prepárate para sumergirte en el fascinante mundo de la inducción electromagnética!

Este artículo describe el inductor toroidal, su construcción, funcionamiento y aplicaciones. Los inductores son uno de los componentes más críticos en cualquier circuito eléctrico y electrónico. Uno de esos componentes pequeños pero esenciales que se utiliza principalmente en un dispositivo electrónico de alta frecuencia es el inductor toroidal. Comprendamos su funcionamiento, diseño, aplicación, ventajas y desventajas.

Funcionamiento del inductor toroidal

Un inductor toroidal no es más que una bobina aislada enrollada en un pequeño núcleo magnético en forma de anillo, también conocido popularmente como núcleo de ferrita. Este núcleo magnético está hecho de ferrita, que es un material ferrimagnético y este núcleo es el factor más importante detrás del funcionamiento del inductor toroidal.

Inductor toroidal: construcción, trabajo, aplicaciones>Como dije anteriormente, los inductores toroidales se emplean en aplicaciones de alta frecuencia. Ahora, surge la pregunta: ¿por qué no podemos hacer uso de bobinas de solenoide normales en estas aplicaciones y cuál es la ventaja que tiene un inductor toroidal sobre sus contrapartes de solenoide? Entendamos.

Cualquier circuito electromagnético que transporta corriente variable en el tiempo tiene dos pérdidas inherentes: pérdida por histéresis y pérdida por corriente de Foucault.

La pérdida por histéresis ocurre debido al ciclo constante de magnetización y desmagnetización del material del núcleo. Como la corriente que pasa a través de la bobina es alterna, hace que el material del núcleo se magnetice en una dirección y luego en la dirección opuesta.

Idealmente, el núcleo debería hacer esto instantáneamente a medida que la corriente cambia de dirección, pero eso no sucede. Los núcleos magnéticos retienen algo de flujo magnético incluso si la corriente llega a cero. Por lo tanto, la corriente tiene que pasar por un ciclo negativo cuando se requiere una parte de esta corriente para generar una fuerza magnética neutralizadora para llevar a cero el flujo del campo magnético residual. Por lo tanto, esto se contabiliza como una pérdida de potencia denominada pérdida por histéresis. Está dada por la ecuación;

Inductor toroidal: construcción, trabajo, aplicaciones>

Claramente, podemos ver que la pérdida por histéresis es directamente proporcional a la frecuencia de las inversiones magnéticas (f) que depende de la frecuencia de suministro de entrada. Un núcleo de solenoide normal o los que se utilizan en transformadores de potencia (acero al silicio) tienen un área de histéresis grande (curva BH) en comparación con los núcleos de ferrita.

Ahora que la pérdida por histéresis depende de la frecuencia, en aplicaciones de alta frecuencia necesitamos un material que tenga una curva BH relativamente pequeña para que mantenga la pérdida por histéresis bajo control. Si se emplea un núcleo normal, se producirá una gran cantidad de pérdida por histéresis. Por eso se utiliza el núcleo de ferrita. La siguiente imagen muestra la curva BH o la curva de histéresis tanto del acero al silicio (área más grande) como del núcleo de ferrita (área más pequeña).

Inductor toroidal: construcción, trabajo, aplicaciones>Por lo tanto, el núcleo de acero al silicio que se utiliza en el caso de funcionamiento a 50 Hz, si se somete a un funcionamiento a 100 kHz, provocará un aumento de la pérdida por histéresis de unas 2000 veces. Por eso se utiliza el núcleo de ferrita.

Al mismo tiempo, puede surgir la pregunta de ¿por qué no hacemos uso de estos núcleos de ferrita en caso de operaciones normales o de baja frecuencia? Es porque la ferrita es un material magnético duro, lo que significa que retiene el magnetismo de forma permanente o satura rápidamente.

Por lo tanto, una operación de alta frecuencia es ideal para materiales en los que el núcleo se magnetiza y desmagnetiza a un ritmo más rápido, sin dejar ninguna posibilidad de saturación del núcleo. A bajas frecuencias, el núcleo de ferrita provocará la saturación y el agotamiento.

Además de esto, la ferrita tiene mayor resistividad y el núcleo hecho de ferrita tiene mayor resistencia. Por lo tanto, controla el flujo de corrientes de Foucault de forma natural y no necesita laminación. Las corrientes de Foucault se generan principalmente debido a campos magnéticos dispersos que se unen con el material del núcleo y provocan el flujo de esta corriente a través del material del núcleo.

La pérdida por corrientes de Foucault es directamente proporcional al cuadrado de la frecuencia de las inversiones magnéticas (f2) y, por lo tanto, es prudente utilizar un núcleo de ferrita para operaciones de alta frecuencia. Todo esto hace que los núcleos de ferrita sean ideales para circuitos electrónicos de alta frecuencia.

Construcción y diseño de inductores toroidales

Un trozo de alambre de cobre está enrollado en un material de núcleo magnético hecho de material ferrimagnético como la ferrita. La ferrita tiene mayor resistividad y es un material quebradizo. Tiene un alto coeficiente de acoplamiento, lo que significa que la cantidad de campo magnético perdido generado es extremadamente baja.

Sin embargo, esa es la razón por la cual el núcleo se satura fácilmente y, por lo tanto, es ideal solo para operaciones de alta frecuencia. El ferrimagnetismo es similar al ferromagnetismo en todos los aspectos de la magnetización excepto en el momento magnético o el orden magnético. Cuando los momentos magnéticos se emparejan en la misma dirección y paralelos entre sí, se denomina ferromagnetismo. En el caso del ferrimagnetismo, los momentos magnéticos se alinean en números desiguales tanto en forma paralela como antiparalela.

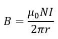
El campo magnético del inductor toroidal se calcula mediante

Inductor toroidal: construcción, trabajo, aplicaciones>Donde, I es la corriente a través del inductor toroidal, r es el radio promedio del toroide, N es el número de vueltas de bobina por unidad de longitud.

Así, al poner el valor de I, N y r, podemos obtener el valor del campo magnético (B) y, por lo tanto, la inductancia requerida para nuestra aplicación.

Código de color del inductor toroidal

Los inductores toroidales utilizados en diversas aplicaciones son de dos tipos: revestido y sin revestir. Los núcleos revestidos proporcionan un radio de esquina más suave, así como una superficie sinuosa junto con una cobertura de borde adicional, protección de borde y una función de aislamiento.

Inductor toroidal: construcción, trabajo, aplicaciones>Los núcleos toroidales tienen revestimientos como pintura epoxi y revestimiento de parileno. La pintura epoxi está disponible en diferentes colores como azul, gris y verde. El revestimiento de parileno se utiliza principalmente para anillos de núcleo toroidales pequeños que tienen un revestimiento de bajo espesor y alta rigidez dieléctrica.

El recubrimiento proporciona un mayor aislamiento evitando así un cortocircuito directo entre la bobina del devanado y el núcleo. Además de eso, el revestimiento del núcleo aumenta su temperatura de funcionamiento, ya que los revestimientos de epoxi pueden funcionar a una temperatura de hasta 200 grados Celsius.

Aplicaciones

Como hemos discutido antes, los núcleos de ferrita se usan en inductores donde la operación de alta frecuencia está presente por razones obvias. Algunas aplicaciones como inversores, SMPS, amplificadores, radios y televisores utilizan inductores con núcleo de ferrita. Además de esto, los núcleos de ferrita también se utilizan para neutralizar el efecto de la interferencia electromagnética (EMI) en ciertas aplicaciones de alta frecuencia.

Inductor toroidal: construcción, trabajo, aplicaciones>Se conecta una perla de filtro EMI en ciertos circuitos electrónicos que simplemente atrapa el campo magnético errante generado y protege los componentes electrónicos sensibles que, de otro modo, podrían encontrar una falla debido a estos campos magnéticos erráticos. También ayuda a mitigar los riesgos para la salud que pueden ocurrir debido a los campos magnéticos de alta frecuencia.

Ventajas

  • Los núcleos de ferrita son más livianos y de menor tamaño, lo que los hace ideales para instalarlos fácilmente en una placa de circuito impreso (PCB).
  • Al ser de tamaño pequeño y tener un buen coeficiente de acoplamiento, los núcleos de ferrita son altamente eficientes como circuitos magnéticos que transportan el campo magnético con una pérdida parásita muy pequeña.
  • Un inductor toroidal es más compacto en comparación con otros núcleos formados porque están hechos con menos materiales.
  • A diferencia de sus homólogos de acero al silicio, el inductor con núcleo de ferrita no necesita laminaciones para reducir las corrientes parásitas. Esto también da como resultado un funcionamiento más silencioso.
  • Debido a la menor vinculación magnética, hay una cantidad muy pequeña de interferencia electromagnética debido a la menor fuga de flujo. Esto es importante en el caso de componentes electrónicos sensibles que, de lo contrario, podrían provocar chispas e incluso fugas térmicas de estos.
  • Menor histéresis y pérdidas por corrientes de Foucault.

Desventajas

  • Los núcleos de ferrita son quebradizos y cualquier aplicación de una fuerza mayor al enrollar la bobina alrededor de ellos o de cualquier otra forma puede resultar en el desmantelamiento del núcleo.
  • Es difícil enrollar bobinas alrededor de este pequeño núcleo utilizando máquinas.
  • Al ser de tamaño pequeño, es difícil obtener un aislamiento de bobinado adecuado, así como un espacio magnético. Es por eso que se requiere un recubrimiento adicional.
  • La ferrita, que es un material magnético duro, puede saturarse rápidamente si la frecuencia de funcionamiento o la frecuencia de inversión magnética no es superior a la frecuencia óptima. Por lo tanto, es más susceptible que otros materiales de núcleo como Silicon Steel.

Se trata de inductores toroidales o inductores de núcleo de ferrita, su funcionamiento, aplicaciones, diseño, ventajas y desventajas. A pesar de sus desventajas, los inductores toroidales son uno de los componentes electrónicos económicos más utilizados en diversas aplicaciones por su desempeño robusto y confiable con resultados deseables.

Error 403 The request cannot be completed because you have exceeded your quota. : quotaExceeded

[automatic_youtube_gallery type=»search» search=»Inductor toroidal: construcción, trabajo, aplicaciones» limit=»1″]

Inductor Toroidal: Construcción, Trabajo,⁣ Aplicaciones

En el⁣ fascinante‌ mundo de la electrónica, los inductores juegan⁤ un papel ⁤crucial, pero pocos‍ componentes son tan intrigantes y eficientes como el inductor toroidal. Su forma única, combinada ⁤con⁢ su extraordinaria capacidad para almacenar energía⁢ magnética, lo convierte en una⁣ herramienta esencial⁢ en numerosos dispositivos modernos.

Construcción‌ del Inductor Toroidal

Un inductor toroidal ‍consiste ‍en un⁣ alambre de cobre ‍enrollado alrededor de un núcleo magnético ‌en forma de anillo, conocido comúnmente como núcleo de ferrita. ⁤Este núcleo, hecho de un material ferrimagnético, es fundamental para el funcionamiento del inductor.

Materiales ⁤Utilizados

  • Núcleo de Ferrita: Material⁢ que ⁤presenta alta resistividad y es ideal para aplicaciones de⁤ alta ⁣frecuencia.
  • Alambre de Cobre: Utilizado⁤ para formar las bobinas del ‍inductor.

Los núcleos de ferrita ⁤son⁢ preferidos debido a su menor‍ pérdida por histéresis y su capacidad para manejar ‍altas frecuencias sin saturarse, a‍ diferencia de‍ los núcleos de acero al ⁣silicio⁤ que pueden saturarse rápidamente en aplicaciones de⁤ alta ⁤frecuencia.

Funcionamiento⁣ del Inductor Toroidal

El principio de funcionamiento del inductor toroidal se basa ‍en el⁢ fenómeno de la ⁢ inducción electromagnética. Cuando la ‌corriente eléctrica circula por el alambre enrollado, se⁢ genera ⁣un campo magnético alrededor del núcleo. Este campo magnético es extremadamente eficiente debido a la forma toroidal, que minimiza‌ las pérdidas de energía.

Pérdidas en el Inversor

Existen dos⁢ tipos de pérdidas que afectan a los‌ inductores en circuitos eléctricos:

  • Pérdida por Histéresis: Causada por el ciclo​ de magnetización⁤ y desmagnetización del núcleo.
  • Pérdida por Corrientes de Foucault: Estas ocurren​ debido a los‌ campos magnéticos dispersos que inducen corrientes en el núcleo.

Aplicaciones del Inductor⁤ Toroidal

Los inductores toroidales se utilizan ‍extensivamente en varias⁢ aplicaciones electrónicas debido a su eficiencia‍ y bajo nivel de interferencia electromagnética ‌(EMI). Algunas aplicaciones comunes incluyen:

  1. Inversores y Fuentes de⁢ Alimentación conmutadas (SMPS): Donde se necesitan ⁢componentes de alta eficiencia.
  2. Amplificadores: Para mejorar la calidad de señal.
  3. Radios y Televisores: En circuitos de sintonización y filtrado.
  4. Filtrado de EMI: ⁣Protegiendo electrónica sensible.

Ventajas⁣ de los Inductores‌ Toroidales

  • Compactos y ligeros: Facilitan su instalación en placas de circuito impreso (PCBs).
  • Alta eficiencia: Minimizan el campo magnético perdido, resultando en menor pérdida de potencia.
  • Menor tamaño: ‌ Requieren menos material en‍ comparación con otros diseños de inductores.

Preguntas Frecuentes (FAQs)

¿Qué​ es un inductor toroidal?

Un inductor toroidal es un tipo de inductor con una forma en anillo que permite​ un campo magnético concentrado, diseñado para aplicaciones de alta frecuencia en electrónica.

¿Cómo se construye un⁤ inductor toroidal?

Se construye enrollando alambre de cobre alrededor de un núcleo magnético de ⁤ferrita, el cual es elegido por sus​ propiedades magnéticas ⁢adecuadas para operaciones de alta frecuencia.

¿Cuáles son las aplicaciones más comunes del inductor toroidal?

Se usa principalmente en fuentes de alimentación, amplificadores, radios, y para mitigar la interferencia electromagnética en circuitos electrónicos.

¿Por qué se⁢ prefiere el material de ferrita para el‌ núcleo de un inductor toroidal?

La ferrita​ es ​preferida porque ofrece baja pérdida de energía a altas frecuencias y es menos propensa a⁤ la saturación ‌en comparación con otros materiales, como el acero al silicio.

Conclusión

Los⁣ inductores toroidales son componentes esenciales en la electrónica⁤ moderna, ofreciendo ventajas significativas en términos de eficiencia y rendimiento. ⁢Su construcción, basada en un núcleo de‍ ferrita y un enrollado​ de alambre de cobre,‍ los hace ideales para aplicaciones donde la calidad y⁢ la ⁣fiabilidad son primordiales.

Para más información, puedes consultar‌ artículos detallados sobre el tema en GSMagnetics y Maykolrey.

3 comentarios en «Inductor toroidal: construcción, trabajo, aplicaciones»

  1. Sigifredo: ¡Totalmente de acuerdo con lo que dices! A mí también me sorprendió descubrir el impacto que tienen los inductores toroidales en dispositivos que usamos a diario. Una vez traté de hacer uno en un taller de electrónica, y aunque no fue perfecto, la experiencia me enseñó mucho sobre sus aplicaciones prácticas. Es impresionante cómo algo tan pequeño puede ser tan crucial en circuitos. ¡Gracias por compartir tu experiencia!

  2. Comment: ¡Este artículo sobre inductores toroidales me ha parecido súper interesante! Recuerdo cuando intenté construir uno para un proyecto de electrónica en la universidad, y aunque al principio me costó un poco entender su funcionamiento, el resultado fue muy gratificante. La verdad es que son bastante útiles y tienen aplicaciones en tantas cosas que a veces ni nos damos cuenta. ¡Gracias por compartir tanta información valiosa!

  3. Otalora: ¡Qué cool escuchar sus experiencias! Yo también intenté hacer un inductor toroidal una vez, pero más que construirlo, lo que realmente me sorprendió fue lo mucho que mejoró la estabilidad en un amplificador que estaba armando. Al principio no tenía ni idea de cómo funcionaba, pero al final, ver cómo influía en el sonido fue una revelación. Definitivamente son una parte esencial de muchos proyectos. ¡Gracias por compartir!

Deja un comentario