Inductores en Serie y Circuitos de Inductores en Serie: La Sinfonía de la Inductancia
Cuando se trata de la electrónica, pocos componentes son tan fascinantes y fundamentales como los inductores. Estos héroes silenciosos del mundo eléctrico son capaces de almacenar energía en forma de campo magnético, convirtiéndose en piezas clave para el funcionamiento de circuitos más complejos. Pero, ¿qué ocurre cuando combinamos varios inductores en serie? En este artículo, desglosaremos los principios que rigen los inductores en serie y exploraremos cómo su interconexión puede influir en el comportamiento de un circuito, revelando secretos que harán que cada entusiasta de la electrónica se asombre. ¡Acompáñanos en este viaje y descubre la magia de la inductancia en serie!
Si estás interesado en el fascinante mundo de la electrónica, seguro que has oído hablar de los inductores y los circuitos de inductores en serie. Estos componentes son fundamentales para el funcionamiento de numerosos dispositivos electrónicos. En este artículo, exploraremos en detalle qué son los inductores en serie y cómo se utilizan en los circuitos eléctricos. ¡Prepárate para sumergirte en el apasionante mundo de la electrónica y descubrir cómo estas pequeñas maravillas pueden hacer grandes cosas!
Se agregan inductores en serie porque el número efectivo de vueltas aumenta con un aumento en la inductancia total.
En este artículo, aprenderemos sobre los inductores, sus conexiones en serie, su inductancia mutua, los circuitos en serie con acoplamiento acumulativo, los circuitos en serie con acoplamiento diferencial, el voltaje total y la corriente que pasa por el circuito.
¿Qué es un inductor??
Un inductor es un componente eléctrico pasivo que almacena energía en forma de campo magnético cuando pasa una corriente a través de él. Está hecho de material conductor que tiene varias vueltas. También se le llama reactor, bobina o estrangulador.
Su valor se muestra en inductancia, que se mide en Henry (H). Un gran número de vueltas indica el gran valor del inductor.
>Inductores en circuito en serie
Podemos conectar los inductores en serie y en paralelo según los requisitos. Al igual que las conexiones en serie de resistencias y capacitores, de la misma manera, podemos conectar inductores en serie. En una conexión en serie, los inductores están conectados en una cadena que tiene la misma corriente porque solo hay un camino para la corriente, mientras que el voltaje total es igual al voltaje en cada inductor. Puede existir el efecto de la inductancia mutua, que aumentará o disminuirá la inductancia equivalente según la dirección de la corriente de los inductores.
>Para obtener la inductancia equivalente, todos los inductores se suman como las resistencias.
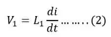
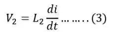
Dado que la corriente cambia continuamente, se producirá un proceso de autoinducción y se generará una fem inducida en los inductores. fem inducida en 1calle inductor es V1a través de 2Dakota del Norte inductor es V2, y a lo largo de los 3rd inductor es V3.
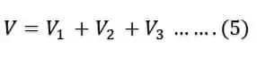
El voltaje total en todos los inductores es igual a la suma del voltaje en cada inductor.
>Voltaje a través de 1calle inductor es;
>Voltaje a través de 2Dakota del Norte inductor es;
>Voltaje a través de 3rd inductor es;
>El cambio de corriente en función del tiempo es el mismo en cada inductor porque los inductores están conectados en serie y la misma corriente pasa a través de toda la rama.
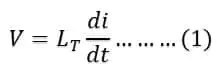
Entonces, podemos decir que el voltaje total es
>Poniendo el valor de V1V2 y V3 de la ecuación 3, 4 y 5 en la ecuación 5, obtenemos;
>Aquí, L es la inductancia total del inductor conectado en serie. Por lo tanto, la inductancia total del inductor conectado en serie es igual a la suma de la inductancia individual del inductor.
>Si hay «n» números de inductores conectados en serie, entonces la inductancia total será;
>Inductores en serie con inductancia mutua
Cuando el los inductores se colocan a una distancia entre sí, El flujo magnético no pasará entre sí de cada inductor, por lo que no hay inductancia mutua y la inductancia equivalente será la misma.
>
Aquí, la inductancia mutua es cero, porque los inductores se colocan a cierta distancia y no hay efecto entre sí.
El comportamiento del enlace de flujo puede ser
- Conexión de ayuda en serie
- Conexión opuesta en serie
Si hay una distancia menor entre los inductores, entonces el flujo magnético se vinculará con los inductores. Este flujo magnético puede ser en la misma dirección o en la dirección opuesta.
Circuito en serie acoplado acumulativamente / Conexión de ayuda en serie
Dado que la corriente cambia continuamente, entonces el flujo de 1calle la bobina se conectará con el flujo de 2Dakota del Norte bobina y el mismo comportamiento para los 2Dakota del Norte bobina. Si el flujo magnético de 1calle bobina está vinculada con el flujo de 2Dakota del Norte bobina en la misma dirección, entonces se llama Adición de conexión de inductores o circuito en serie acoplado acumulativamente. Significa que la entrada de corriente en ambas bobinas es la misma o la polaridad es la misma.
>En el circuito anterior, podemos ver que la dirección de la corriente junto con el campo magnético es el mismo en ambos inductores. Entonces, aquí se agregará M a las autoinductancias, lo que aumentará su inductancia total y la ecuación equivalente será:
>Circuitos en serie acoplados diferencialmente / Conexión opuesta en serie
Dado que la corriente cambia continuamente, entonces el flujo de 1calle la bobina se conectará con el flujo de 2Dakota del Norte bobina y el mismo comportamiento para los 2Dakota del Norte bobina. Si el flujo magnético de 1calle bobina está vinculada con el flujo de 2Dakota del Norte bobina en la dirección opuesta, entonces se llama la Conexión opuesta de inductores o circuitos en serie acoplados diferencialmente. Es decir, la entrada de corriente en ambas bobinas es diferente o la polaridad es diferente.
>En el circuito anterior, podemos ver que la dirección de la corriente junto con el campo magnético es opuesta en ambos inductores. Entonces, aquí se restará M de las autoinductancias, lo que disminuirá la inductancia total y la ecuación equivalente será:
>Durante este fenómeno de inductancia mutua, cualquier cambio en una bobina afectará a la otra bobina. El factor 2 se multiplica por M; indica que el fenómeno de la inductancia mutua es de ambos lados.
Ejemplo con inductores en serie (despreciando la inductancia mutua)
Calcule la inductancia total de la combinación en serie, si dos inductores de 70mH y 30mH están conectados en serie. (Desprecie la inductancia mutua)
Datos dados-
L1 = 70mH
L2 = 30mH
METRO = 0
Lo sabemos,
>Por lo tanto,
>Ejemplo con inductores en serie (incluida la inductancia mutua)
Ejemplo 1: dos inductores de 50mH y 60mH están conectados en serie con una inductancia mutua de 6mH, calcule la inductancia equivalente de la combinación en serie.
Datos dados-
L1 = 50mH
L2 = 60mH
M = 6mH
LT = ?
>Ejemplo-2: Calcule la impedancia mutua de la combinación en serie, si dos inductores son 20 mH y 30 mH, con la inductancia total del circuito es 70 mH están conectados en serie.
datos dados-
L1 = 20mH
L2 = 30mH
LT = 70mH
M= ?
>Conclusión
El inductor es un componente eléctrico pasivo que puede almacenar la energía en forma de un campo magnético. Según nuestras necesidades, podemos conectarlo en serie, en paralelo o en combinaciones serie-paralelo. En serie, los inductores se conectan en cadena y la inductancia total se calcula como las resistencias, y se suman todas las inductancias.
La corriente es la misma a través de cada inductor porque solo hay un camino y el voltaje total es igual a la suma de todos los voltajes a través de los inductores. Puede haber el efecto de la inductancia mutua mientras se conecta en serie o en paralelo.
En un circuito en serie acoplado acumulativamente, la inductancia general aumentará porque el flujo magnético de los inductores se vinculará entre sí en la misma dirección debido a la misma polaridad. Por otro lado, en los circuitos en serie acoplados diferencialmente, la inductancia neta disminuirá porque el flujo magnético de los inductores estará vinculado entre sí en direcciones opuestas debido a la diferente polaridad.
[automatic_youtube_gallery type=»search» search=»Inductores en serie y circuitos de inductores en serie» limit=»1″]
Inductores en Serie y Circuitos de Inductores en Serie
Cuando se trata de la electrónica, pocos componentes son tan fascinantes y fundamentales como los inductores. Estos componentes son capaces de almacenar energía en forma de campo magnético, desempeñando un papel crucial en el funcionamiento de circuitos más complejos.
¿Qué es un inductor?
Un inductor es un componente eléctrico pasivo que almacena energía en forma de campo magnético cuando pasa una corriente a través de él. Se compone de un material conductor enrollado en forma de bobina y su valor se mide en Henry (H).
Inductores en Circuito en Serie
Los inductores pueden conectarse en serie de manera similar a como se conectan resistencias. En una conexión en serie, la corriente que atraviesa los inductores es la misma, pero el voltaje total se divide entre los inductores.
Cómo se suma la inductancia
La inductancia total (LT) de inductores en serie se calcula sumando las inductancias individuales.
Fórmula:
LT = L1 + L2 + L3 + … + Ln
Esto significa que cuando conectas inductores en serie, la inductancia total aumenta debido al número efectivo de vueltas que contribuyen al campo magnético total.
Voltaje y Corriente en Inductores en Serie
El voltaje total a través de todos los inductores es igual a la suma de los voltajes a través de cada inductor individual:
- V1: Voltaje a través del primer inductor
- V2: Voltaje a través del segundo inductor
- V3: Voltaje a través del tercer inductor
Así, la fórmula para el voltaje total (VT) es:
VT = V1 + V2 + V3
Inductancia Mutua
La inductancia mutua ocurre cuando el flujo magnético de un inductor afecta a otro. Esto puede ser positivo (acoplamiento acumulativo) o negativo (acoplamiento diferencial), dependiendo de la dirección del flujo magnético.
Ejemplo de Inductores en Serie
Calculemos la inductancia total para un circuito con dos inductores: L1 = 70 mH y L2 = 30 mH.
LT = L1 + L2 = 70 mH + 30 mH = 100 mH
Conclusiones
Los inductores desempeñan un papel vital en los circuitos eléctricos y su configuración puede influir significativamente en el comportamiento del circuito. Entender cómo funcionan en serie permite a los entusiastas de la electrónica diseñar circuitos más efectivos.
Preguntas Frecuentes (FAQs)
¿Qué sucede si conecto inductores de diferentes valores en serie?
Al conectar inductores de diferentes inductancias en serie, la inductancia total se sumará, resultando en un valor mayor que cualquiera de los inductores individuales.
¿Cómo afecta la distancia entre inductores a la inductancia mutua?
Si los inductores están muy cerca, su flujo magnético puede interactuar, aumentando la inductancia mutua. Si están alejados, la inductancia mutua es prácticamente cero.
¿Dónde se usan comúnmente los inductores en serie?
Los inductores en serie se utilizan en filtros, transformadores y circuitos de resonancia, entre otros aplicaciones en electrónica.
Referencias
Para más información sobre inductores en circuitos, puedes consultar estos artículos:
¡Qué interesante el artículo! Siempre he tenido curiosidad por los inductores en serie, especialmente porque en la universidad hice un proyecto donde los utilicé para filtrar señales. Al principio, no entendía muy bien cómo funcionaban, pero después de experimentar, ¡fue como una revelación! Ahora veo lo útiles que son en circuitos. Gracias por compartir esta info, me ha refrescado la memoria.
Cativiela: ¡Totalmente de acuerdo, cirera! Me pasó algo similar en mis clases de electrónica, también teníamos que trabajar con inductores en serie. Al principio era un lío para mí, pero una vez que vi sus aplicaciones en la práctica, sobre todo en los filtros de frecuencia, fue un cambio total de perspectiva. A veces, esos conceptos parecen complicados, pero una vez que «les agarras la onda», son súper útiles. Gracias por compartir tus experiencias también, ¡me encantan estas charlas!