Método de iteración de Gauss-Seidel

Método de Iteración de Gauss-Seidel: Una Puerta a la Solución de Sistemas de Ecuaciones

En el fascinante mundo de las matemáticas y la ingeniería, encontrar soluciones a sistemas de ecuaciones lineales es un desafío fundamental. Entre las numerosas técnicas disponibles, el método de iteración de Gauss-Seidel se destaca por su eficacia y simplicidad. Esta técnica no solo permite resolver problemas complejos de una manera más accesible, sino que también abre las puertas a una comprensión más profunda de algoritmos iterativos. Acompáñanos en este artículo mientras exploramos los principios y aplicaciones de este poderoso método, y descubre cómo puede transformar tu enfoque hacia la resolución de ecuaciones. ¡Adéntrate en el conocimiento que cambiará tu perspectiva sobre el análisis numérico!

En el fascinante mundo de las matemáticas y la resolución de sistemas de ecuaciones lineales, uno de los métodos más eficientes y precisos es el método de iteración de Gauss-Seidel. Esta técnica, que lleva el nombre de sus creadores, Carl Friedrich Gauss y Philipp Ludwig von Seidel, ha revolucionado la forma en que podemos resolver sistemas de ecuaciones complejas. En este artículo, exploraremos en detalle cómo funciona este método, sus ventajas y desventajas, y cómo implementarlo paso a paso. ¡Prepárate para descubrir un nuevo mundo de soluciones matemáticas con el método de iteración de Gauss-Seidel!

Usamos el método de iteración de Gauss-Seidel para resolver las ecuaciones del sistema lineal. Este método lleva el nombre del científico alemán Carl Friedrich Gauss y Philipp Ludwig Seidel.

En un sistema de potencia interconectado y su análisis del sistema de potencia involucrado, la herramienta más fundamental e importante es el Análisis de flujo de carga. Entonces, antes de profundizar más en el método de iteración de Gauss-Seidel del análisis de flujo de carga, comprendamos el análisis de flujo de carga.

¿Qué es el análisis de flujo de carga?

podemos definir Análisis de flujo de carga o PAnálisis de flujo de energía como un análisis numérico del flujo de energía eléctrica en cualquier sistema eléctrico. Es más una evaluación de las condiciones de estado estable del sistema eléctrico. El objetivo principal de cualquier estudio de flujo de carga es determinar el flujo de potencia, corriente, voltaje, potencia real y potencia reactiva en un sistema eléctrico bajo cualquier condición de carga. Un estudio de flujo de carga es esencial para garantizar que los voltajes y la corriente del sistema permanezcan dentro de límites seguros durante la fase de diseño de un nuevo proyecto o al evaluar cambios o adiciones al sistema eléctrico existente.

¿Por qué necesitamos análisis de flujo de carga?

Los estudios de flujo de carga o análisis de flujo de potencia son realmente útiles al hacer predicciones al considerar y analizar varias situaciones hipotéticas relacionadas con la electricidad. Por ejemplo, si quitamos la línea de transmisión del sistema de un área en particular, sea por cualquier motivo, entendiendo si la línea restante puede servir o abastecer la carga sin exceder su valor nominal. Podemos responderla bien usando un análisis de flujo de carga.

Métodos de análisis de flujo de carga

  • Sistema de Gauss-Seidel

Este se considera uno de los tipos de análisis más comunes. Las ventajas del sistema Gauss-Seidel implican la simplicidad en la operación, la potencia computacional limitada requerida y menos tiempo requerido para completar. Sin embargo, tiene una desventaja, ya que su baja tasa de convergencia da como resultado muchas iteraciones. Siempre que hay un gran sistema de potencia con un mayor número de buses, generalmente aumenta las iteraciones.

  • Método de Newton-Raphson

En comparación con el método de Gauss-Seidel, Newton Raphson es un método más sofisticado que utiliza la convergencia cuadrática. El método de Newton Raphson es más adecuado para situaciones más complejas.

El método requiere menos iteraciones para alcanzar la convergencia y también requiere menos tiempo de computadora. Este método es menos sensible a factores complicados como la selección de barras flojas o la regulación de transformadores, por esta razón este método es más preciso. Tiene una programación muy complicada y, por lo tanto, requiere una gran memoria de computadora. Esta es la desventaja del método de Newton-Raphson

  • Sistema de flujo de carga desacoplado rápido

Este método es la opción más popular para la gestión en tiempo real de las redes eléctricas. La principal ventaja de este método es que usa menos memoria de la computadora. El cálculo de este método es casi cinco veces más rápido que el método de Newton-Raphson. Este método toma algunas suposiciones para obtener cálculos rápidos, por lo que a veces puede ser menos preciso. Tiene un alcance limitado.

En este artículo, analizaremos en detalle el método de iteración de Gauss-Seidel.

Método de Gauss-Seidel

Para resolver la solución de flujo de carga con el método de Gauss-Seidel, consideramos todos los buses que no sean el bus de holgura como buses PQ. Podemos adaptar fácilmente este método para incluir también buses fotovoltaicos. Y como sabemos, se especifica la tensión de barra de holgura y todos los demás (n-1) valores de arranque de las tensiones de barra, cuyas magnitudes y ángulos se suponen. Esos valores luego se actualizan a través de un proceso iterativo.

Método de iteración de Gauss-Seidel>Algoritmo de Gauss Seidel

Consideraremos dónde todos los buses que no sean slack son buses PQ.

  • Las generaciones activas y reactivas se asignan al bus de holgura y también se les permite variar durante el cálculo iterativo, con el perfil de carga conocido en cada bus.
  • YAUTOBÚS se ensambla utilizando la regla para admitancias propias y mutuas, con los datos de admitancias de línea y derivación almacenados en la computadora.
  • Asumimos un conjunto de voltajes iniciales para iniciar las iteraciones. La distribución de voltaje no es demasiado amplia en un sistema de potencia, por lo tanto, es una práctica normal usar un arranque de voltaje plano, es decir, inicialmente los voltajes se establecen igual a (1 + j0), excepto el voltaje de la barra de holgura fija.

Método de iteración de Gauss-Seidel>

Podemos hacer una reducción significativa en el tiempo de la computadora al realizar algunas operaciones aritméticas que no cambian con las iteraciones, como

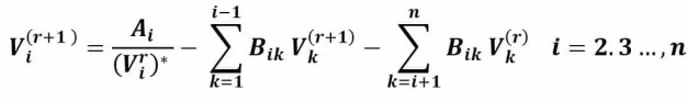
Método de iteración de Gauss-Seidel>Ahora si consideramos el (r+1)el iteración, la ecuación de voltaje se convierte en la siguiente:

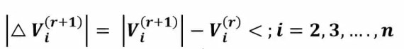
Método de iteración de Gauss-Seidel>Continuamos esta iteración hasta que el cambio de magnitud del voltaje del bus entre dos iteraciones consecutivas sea menor que cierta tolerancia para todos los voltajes del bus, es decir

Método de iteración de Gauss-Seidel>

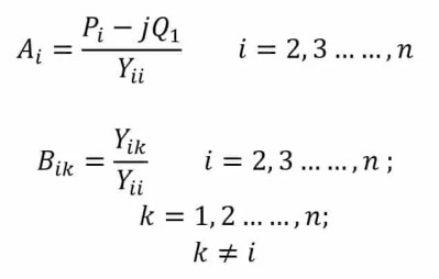
  • Calculamos la potencia del bus de holgura junto con V1 donde da S1 = PAG1 + jQ1.
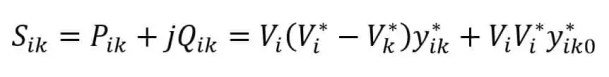
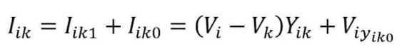
  • El último paso en el análisis del flujo de carga implica el cálculo de los flujos de potencia en las distintas líneas de la red. Supongamos que consideramos la representación circuital de líneas que conectan buses i y la línea y los transformadores en cada extremo con impedancia en serie yyo y dos admitancias en derivación yik0 y yoki0 .
  • Explicación del método de Gauss-Seidel

    Método de iteración de Gauss-Seidel>Podemos expresar la inyección de corriente del bus i en la línea como:

    Método de iteración de Gauss-Seidel>

    La inyección de potencia del bus i a la línea es:

    Método de iteración de Gauss-Seidel>De manera similar, la inyección de energía del bus k a la línea es:

    Método de iteración de Gauss-Seidel>Ahora si sumamos los flujos de potencia Syo + Ski obtenemos la pérdida de potencia en (i – k)el línea. De manera similar, podemos calcular la pérdida de transmisión total sumando todos los flujos de línea (es decir, S yo + S ki para todo i, k).

    Nota: También podemos encontrar la potencia del bus de holgura sumando los flujos de potencia en las líneas que terminan en el bus de holgura.

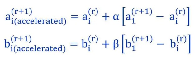
    Factores de aceleración en el método de Gauss-Seidel

    Como sabemos, se realiza una gran cantidad de iteraciones para llegar a la convergencia específica. Es posible aumentar la tasa de convergencia por un factor de aceleración. El factor de aceleración reduce el número de alternancias en el método de Gauss-Seidel. El factor de aceleración es un multiplicador y mejora la corrección entre los valores de voltaje en dos iteraciones sucesivas.

    Consideremos el factor de aceleración para el iel autobús.

    • Vi(R) es el valor del voltaje en el rel iteración.
    • Valor de voltaje Vi(r + 1) está en el (r + 1)el iteración.
    • Vyo (acelerado)(r + 1) es el nuevo valor acelerado de la tensión en el (r+ 1) el iteración.
    • r es el conteo de iteraciones
    • α es el factor de aceleración

    Método de iteración de Gauss-Seidel>Entonces,

    Después de calcular Vi(r + 1) en (r + 1)el iteración, ahora, calculamos el valor de la nueva tensión de bus estimada Vi (acelerado)(r + 1) y este nuevo valor reemplaza el valor calculado previamente. Utilizamos componentes reales e imaginarios de la tensión diferentes factores de aceleración.

    Podemos resolver Vi en componentes real e imaginario como

    Método de iteración de Gauss-Seidel>Si α y β son el factor de aceleración asociado con uni y Bi entonces la ecuación se muestra a continuación.

    Método de iteración de Gauss-Seidel>Un valor específico del factor de aceleración depende de los parámetros del sistema. El valor óptimo de α está generalmente en el rango de 1,2 a 1,6 para la mayoría de los sistemas.

    Ejercicios resueltos sobre Gauss Seidel

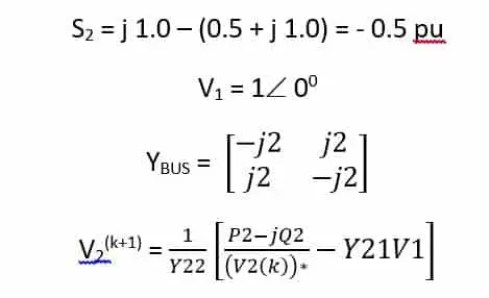
    Obtenga el voltaje en el bus 2 para el sistema simple que se muestra en la figura siguiente, usando el método GS, si V1 = 1∠ 00 pu.

    Método de iteración de Gauss-Seidel>Como podemos ver en la figura anterior, el capacitor en el bus 2 inyecta una potencia reactiva de 1.0 pu. En el bus 2 la inyección de potencia compleja es;

    Método de iteración de Gauss-Seidel>Sabemos que V.1 se especifica, por lo tanto, será constante en todas las iteraciones.

    Método de iteración de Gauss-Seidel>Además, podemos simplificar la ecuación anterior.

    Método de iteración de Gauss-Seidel>Podemos detener las iteraciones ahora porque la diferencia en las magnitudes de voltaje es menor a 10-6pu,. Podemos calcular el flujo de línea de la siguiente manera,

    Método de iteración de Gauss-Seidel>Ahora la pérdida total en la línea es:

    Método de iteración de Gauss-Seidel>Dado que la línea no tiene resistencia, no hay pérdida de potencia real.

    Leer siguiente

    Error 403 The request cannot be completed because you have exceeded your quota. : quotaExceeded

    [automatic_youtube_gallery type=»search» search=»Método de iteración de Gauss-Seidel» limit=»1″]

    Método ‌de​ Iteración de Gauss-Seidel

    En el fascinante mundo de las matemáticas y la ingeniería, encontrar soluciones a sistemas⁤ de ecuaciones⁣ lineales es un desafío fundamental. Entre las numerosas técnicas disponibles, el método de iteración de Gauss-Seidel se destaca por su eficacia y simplicidad.

    ¿Qué es el método de iteración de Gauss-Seidel?

    El método de Gauss-Seidel es un algoritmo iterativo utilizado para resolver‌ sistemas de ecuaciones lineales. Este método,⁤ que lleva el nombre de los matemáticos Carl Friedrich Gauss y Philipp Ludwig ⁤von Seidel, permite encontrar aproximaciones sucesivas a las soluciones de los sistemas de‍ manera eficiente.

    Principios del Método de Gauss-Seidel

    El método utiliza la idea de reemplazar⁢ las incógnitas de una ecuación por sus valores⁢ más recientes en⁤ cada iteración. Esto permite que el proceso ⁤converja ‍a la solución deseada. La formulación básica es la siguiente:

    1. Asignar ⁤un valor inicial a cada incógnita.
    2. Para cada ecuación del sistema, resolver para una variable en función de las demás.
    3. Actualizar el valor de la variable usando el más reciente valor ⁣disponible.
    4. Repetir el proceso hasta ‍que la solución converge a un valor dentro de una tolerancia aceptable.

    Ventajas y Desventajas

    Ventajas

    • Simple de implementar y‍ entender.
    • Requiere menos memoria en comparación con otros métodos, como ‌Newton-Raphson.
    • Convergencia generalmente rápida para sistemas bien condicionados.

    Desventajas

    • Pueden ⁤requerirse muchas iteraciones para sistemas grandes ​o mal condicionados.
    • La convergencia no⁢ está garantizada‍ en todos los casos.

    Implementación del Método ​de Gauss-Seidel

    Para ilustrar cómo funciona el método⁢ de Gauss-Seidel, consideremos un ‌sistema⁢ de ecuaciones lineales representado por:



    a11*x1 + a12*x2 + ... + a1n*xn = b1

    a21*x1 + a22*x2 + ... + a2n*xn = b2

    ...

    am1*x1 + am2*x2 + ... + amn*xn = bm

    Los ⁤pasos a seguir para la implementación son los ​siguientes:

    1. Organizar el sistema de ecuaciones de ‍tal manera⁣ que cada ecuación​ esté despejada con respecto a su variable correspondiente.
    2. Asignar valores iniciales a todas las⁣ incógnitas.
    3. Aplicar las​ fórmulas iterativas para actualizar los valores de las variables.
    4. Comprobar la convergencia de las soluciones después de cada iteración.

    ¿En qué ⁣se aplica⁢ el método de Gauss-Seidel?

    Este método es ampliamente utilizado en análisis⁣ de flujo de carga en sistemas eléctricos, así como en diversas aplicaciones de ingeniería estructural y análisis numérico. Permite simular comportamientos de ⁣sistemas⁤ complejos ⁣donde las ecuaciones lineales son fundamentales.

    Preguntas Frecuentes (FAQs)

    ¿Qué tipo de sistemas son adecuados para el ‍método⁤ de Gauss-Seidel?

    El método es adecuado para sistemas que son diagonales dominantes o que garantizan convergencia.⁢ Esto significa que cada ecuación debe ser tal que el coeficiente de la variable en esa ecuación es más grande que la suma de los coeficientes de las otras variables.

    ¿Cómo se compara el método‌ de ‍Gauss-Seidel⁢ con otros métodos ⁣iterativos?

    El método de Gauss-Seidel es generalmente⁢ más simple y requiere menos computación que el método de ⁢Newton-Raphson, pero puede ser menos eficiente en⁣ algunos casos, especialmente para sistemas grandes que no están bien condicionados.

    ¿Cuál es el papel del tolerancia‍ en el método?

    La tolerancia se utiliza para ​determinar cuándo el método ha‍ convergido lo suficiente. ​Se establece un valor ⁤que indica la magnitud de⁤ la diferencia aceptable entre iteraciones sucesivas para que se ⁢considere que ⁣se ha alcanzado la solución.

    Conclusión

    El método de iteración ⁢de Gauss-Seidel es una herramienta poderosa y eficiente en la resolución de sistemas de ecuaciones lineales. ​Su comprensión no solo es un gran paso en el análisis numérico, sino que también resalta la interconexión entre teoría matemática y aplicaciones prácticas en ingeniería.

    Para más información sobre el⁤ método​ de Gauss-Seidel, puedes consultar recursos adicionales como este documento de la UNAM o este‍ material de CIMAT.

    3 comentarios en «Método de iteración de Gauss-Seidel»

    1. Rimvydas. Me parece súper interesante el método de iteración de Gauss-Seidel, la verdad es que cuando lo vi por primera vez en clase de álgebra lineal, me voló la cabeza cómo se podía simplificar tanto el proceso de resolución de sistemas de ecuaciones. ¡Lo usé hasta en mis proyectos de la universidad y me salvó! Es increíble cómo una técnica tan sencilla puede ser tan efectiva.

    2. John harold: ¡Totalmente de acuerdo, rimvydas! Yo también me acuerdo cuando lo vi por primera vez en clase, fue como un “¡aha!” para mí. Me ayudó a solucionar un montón de problemas en mis prácticas. Lo mejor es que lo usé en un proyecto final y me ahorró muchísimo tiempo. A veces, lo más simple es lo más poderoso. 😄

    3. ¡Totalmente cierto, rimvydas! Yo también me acuerdo del primer día que toqué el método de Gauss-Seidel y pensé: “¿por qué no lo aprendí antes?”. Lo usé en un par de investigaciones y fue una revelación, me facilitó la vida en un montón de cálculos. Es como tener un superpoder en álgebra, ¡no puedo imaginar hacer todo eso a mano! 😄

    Deja un comentario