Método de Medición de Potencia de dos Vatímetros: Carga Equilibrada
En el mundo de la electricidad y la energía, entender cómo medir la potencia de manera precisa es fundamental para garantizar el correcto funcionamiento de sistemas eléctricos. ¿Te has preguntado alguna vez cómo se puede determinar la potencia en circuitos de corriente alterna de manera eficiente y fiable? En este artículo, te adentrarás en el fascinante método de medición de potencia utilizando dos vatímetros, especialmente en configuraciones con carga equilibrada. Desglosaremos los principios físicos detrás de esta técnica, su aplicación práctica y por qué es una herramienta indispensable para ingenieros y técnicos. Prepárate para descubrir un enfoque que transformará tu comprensión sobre la medición de potencia eléctrica. ¡Iniciemos esta exploración juntos!
«Saber cómo medir la potencia de dos vatímetros es fundamental para garantizar una carga equilibrada en tus instalaciones eléctricas. En este artículo, te presentaremos un método preciso y eficiente para realizar esta medición, proporcionándote toda la información que necesitas para optimizar el rendimiento de tus dispositivos y evitar posibles problemas eléctricos. ¡Descubre cómo garantizar una carga equilibrada y aprovecha al máximo la potencia de tus instalaciones con este innovador método!»
En este artículo, discutiremos la medición de la potencia trifásica utilizando el método de dos vatímetros (con condición de carga equilibrada).
Como sabemos, según Teorema de Blondel, la potencia eléctrica en un circuito eléctrico polifásico se puede medir utilizando vatímetros N-1. Por lo tanto, en un circuito trifásico, la potencia se puede medir usando solo dos (3-1) vatímetros. Cuando los dos vatímetros se utilizan para medir la potencia trifásica, el método se denomina método de dos vatímetros.
vatímetro – Un vatímetro es un instrumento de medida eléctrica que se utiliza para medir la potencia eléctrica consumida en un circuito eléctrico. Un vatímetro típico consta de dos bobinas, a saber, una bobina de corriente y una bobina de presión (también llamada bobina de potencial). Los vatímetros vienen en diferentes clasificaciones de potencia que van desde vatios hasta megavatios.
Condición de carga equilibrada – En un circuito trifásico, cuando las impedancias de todas las tres fases del circuito son iguales, se denomina condición de carga equilibrada.
El método de dos vatímetros de medición de potencia trifásica es el método más utilizado en los sistemas eléctricos debido a sus diversas ventajas. Ahora, analicemos en detalle el método de dos vatímetros con condiciones de carga equilibrada.
Método de dos vatímetros
En el dos vatímetros método de medición de potencia trifásica, las bobinas de corriente de los dos vatímetros se conectan en serie de dos conductores de línea cualquiera, y la bobina de potencial de cada uno se conecta al tercer conductor de línea. El diagrama de conexión del método de dos vatímetros se muestra en la Figura 1.
>La potencia total consumida en el circuito trifásico será la suma algebraica de las lecturas de los dos vatímetros.
Derivación del método de dos vatímetros
Considere una carga trifásica balanceada (ya sea conectada en estrella o delta). Si la lectura de potencia del primer vatímetro es W1 y el segundo vatímetro es W2. El ángulo del factor de potencia de la impedancia de carga es ϕ.
Dejar, Venfermero, VSNy VBN son los valores RMS de los tres voltajes de fase de carga, y IR, IYy IB son los valores RMS de las corrientes de fase. Asumamos la fase inductiva, por lo que las corrientes de fase se retrasarán con respecto a su voltaje de fase respectivo por el ángulo de fase ϕ. El diagrama fasorial del método de dos vatímetros con una carga balanceada se muestra en la Figura 2.
>Con referencia al diagrama del circuito, la corriente que fluye a través de la bobina de corriente del primer vatímetro es IR.
El voltaje a través de la bobina potencial del vatímetro W1 es,
>Del diagrama fasorial, está claro que el ángulo de fase entre VRY y yoR es igual a (30° + ϕ). Por tanto, la potencia medida por el vatímetro W1 es dado por,
>De manera similar, la corriente que fluye a través de la bobina de corriente del segundo vatímetro W2 soy yoB y el voltaje a través de la bobina potencial del vatímetro W2 es,
>Nuevamente, del diagrama fasorial, el ángulo de fase entre el voltaje VPOR y yoB es igual a (30° – ϕ). Así, la potencia medida por el vatímetro W2 es dado por,
>Dado que la carga está equilibrada, por lo tanto,
>Y
>Por lo tanto, las ecuaciones (1) y (2) se pueden escribir como,
>Y
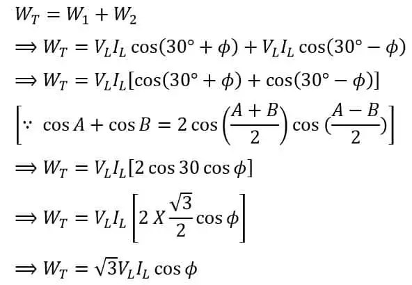
>Por lo tanto, la potencia total consumida en el circuito viene dada por la suma algebraica de dos lecturas del vatímetro, es decir
>Así, la potencia total en el circuito trifásico con carga equilibrada es,
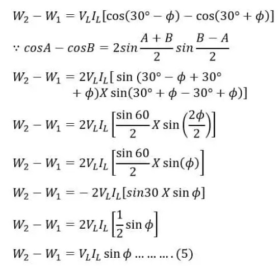
>Medición del factor de potencia utilizando el método de dos vatímetros
También podemos determinar el ángulo del factor de potencia de la carga de la siguiente manera:
>Y,
>Por lo tanto, al dividir la ecuación (5) por 4, obtenemos;
>El factor de potencia cos Φ es,
>Ventajas del método de dos vatímetros
Las principales ventajas del método de medición de potencia de dos vatímetros en un circuito eléctrico son:
- La potencia total, es decir, la suma algebraica de las lecturas de dos vatímetros es independiente de la impedancia de carga.
- La potencia total, es decir, la suma algebraica de las lecturas de dos vatímetros es independiente del desequilibrio de la fuente.
- La potencia total, es decir, la suma algebraica de las lecturas de dos vatímetros es independiente de la diferencia entre dos vatímetros.
- La potencia total, es decir, la suma algebraica de las lecturas de dos vatímetros es independiente de la secuencia de fases del sistema trifásico.
- La potencia total, es decir, la suma algebraica de las lecturas de dos vatímetros, es independiente de la forma de onda de la fuente.
Punto importante – Siempre se debe tener cuidado de que si hay un cable neutro disponible en el sistema, no debe conducir ninguna corriente mientras se realiza la medición. Si lleva corriente, entonces el neutro de la carga debe estar desconectado del neutro de la fuente.
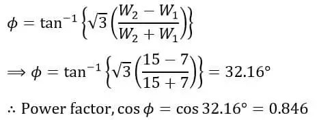
Ejemplo numérico
El método de dos vatímetros se utiliza para medir la potencia absorbida por un motor de inducción trifásico. Las lecturas del vatímetro son 15 kW y 7 kW. Encuentre la potencia total absorbida por el motor y el factor de potencia del motor.
Dados los datos,
>Por lo tanto, la potencia total absorbida por el motor es,
>El factor de potencia del motor es,
>
¡Me encanta el tema de los vatímetros y cómo medir la potencia! Recuerdo cuando estaba aprendiendo sobre esto en la universidad, me parecía un auténtico rompecabezas, pero una vez que entendí el método de dos vatímetros, todo cobró sentido. Es impresionante lo equilibrada que puede ser una carga y cómo esos valores se ajustan entre sí, ¡es como un baile de números! Definitivamente, este tipo de medición me ayudó muchísimo en mi trabajo y ahora tengo más confianza al abordar proyectos eléctricos.