Propiedades del conductor eléctrico

Propiedades del Conductor Eléctrico: La Magia Detrás de la Electricidad

¿Alguna vez te has preguntado cómo fluye la electricidad a través de los cables que iluminan nuestras casas y alimentan nuestros dispositivos? La respuesta radica en las propiedades de los conductores eléctricos, materiales cuya capacidad para permitir el paso de electrones transforma conceptos abstractos en la realidad tangible que nos rodea. En este artículo, exploraremos las características fundamentales que hacen de estos materiales piezas clave en el fascinante entramado de la física y la tecnología. Desde la conductividad hasta la resistividad, cada propiedad revela un aspecto intrigante del comportamiento eléctrico. ¡Acompáñanos en este viaje eléctrico y descubre los secretos que se esconden bajo la superficie de los cables que utilizamos todos los días!

¿Sabías que los conductores eléctricos son fundamentales en nuestra vida diaria? Desde los simples cables que llevan la electricidad hasta nuestros hogares hasta los avanzados sistemas de automóviles eléctricos, los conductores eléctricos desempeñan un papel crucial en nuestro mundo moderno. En este artículo, exploraremos las propiedades de estos conductores y cómo afectan el flujo de corriente eléctrica. ¡Prepárate para descubrir todo sobre los fascinantes conductores eléctricos!

Este artículo describe las propiedades del conductor eléctrico, como conductividad, resistividad, conductividad térmica, maleabilidad, ductilidad y reflectividad. Un Conductor electrico es un camino o un bus a través del cual fluyen cargas eléctricas de un punto a otro para realizar algún trabajo. Las cargas eléctricas tienen entre sí fuerzas de atracción y repulsión, dependiendo de su respectiva naturaleza.

Para realizar el trabajo, es decir, para convertir la energía eléctrica en otra forma de energía, como energía térmica o energía mecánica, se requiere que estas cargas con su fuerza eléctrica neta se muevan de un punto a otro, ya que el trabajo realizado por una entidad física es el producto. de la fuerza aplicada y su desplazamiento. Un conductor eléctrico proporciona el movimiento de las cargas de un punto al otro.

Propiedades del conductor eléctrico>Un conductor eléctrico está hecho de un buen material conductor como cobre, nicromo, aluminio, etc. dependiendo de la naturaleza de la aplicación. Hay varios factores dependiendo de qué conductor eléctrico se seleccione.

Además de los conductores, existen los semiconductores y los no conductores o aislantes. Los semiconductores se utilizan en aplicaciones donde conmutación de alta frecuencia del estado del dispositivo con respecto al tiempo se requiere. Estos dispositivos funcionan como conductor y no conductor dependiendo del requerimiento.

Un material no conductor es aquel que no puede conducir electricidad libremente bajo un rango normal de voltaje que no exceda su cortocircuito. Estos materiales también se denominan aislantes ya que se utilizan para recubrir conductores para su manejo seguro. Un aislante que no es conductor ayuda a evitar el flujo de carga entre dos cuerpos conductores o entre un conductor y la tierra.

El flujo de una carga a través de un conductor por unidad de tiempo se conoce como corriente eléctrica. En otras palabras, la cantidad de partículas cargadas que fluyen a través de un conductor en 1 segundo se conoce como corriente eléctrica a través del conductor. Según la ley de Ohm, esta corriente eléctrica es directamente proporcional a la diferencia de potencial a través del conductor. La corriente fluye en la dirección del potencial más bajo desde el potencial más alto.

Propiedades del conductor eléctrico>Donde V es la diferencia de potencial a través de un conductor dado, i es la corriente que lo atraviesa, que es igual a la tasa de flujo de cargas (q) por unidad de tiempo

Ahora, como hemos discutido en detalle sobre un conductor, veamos las diversas propiedades de un conductor en función de las cuales podemos seleccionar un conductor para nuestras propias aplicaciones.

Propiedades del conductor

Discutiremos las siguientes propiedades de los conductores eléctricos.

  • Conductividad
  • Resistividad
  • Disponibilidad de electrones libres
  • Conductividad térmica
  • Ductilidad
  • Maleabilidad
  • Inductancia
  • Campo eléctrico dentro del conductor cero
  • Reflectividad
  • Ahora, discutiremos cada propiedad del conductor en detalle.

    1. Conductividad– Propiedad del conductor

    La conductividad de un conductor es uno de los factores más importantes cuando se comparan dos o más conductores en función de su eficiencia. Como sugiere su nombre, la conductividad es la medida de la facilidad de flujo de la corriente eléctrica a través de un conductor para una diferencia de potencial dada. Es la conductividad de un material lo que nos permite diferenciar entre un conductor, un semiconductor y un aislante. Todos los metales como el cobre, el aluminio, la plata, etc. son buenos conductores de electricidad. Cobre y Aluminio se utilizan ampliamente en varias máquinas y aparatos eléctricos, ya que son más baratos que otros metales y tienen una gran conductividad.

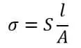
    La conductividad se denota por σ y es el recíproco de la resistividad. La conductividad está dada por

    Propiedades del conductor eléctrico>Donde R es la resistencia del conductor dado, l es la longitud del conductor y A es el área de la sección transversal del conductor. También se puede representar como

    Propiedades del conductor eléctrico>Donde S=1/R y S se conocen como conductancia. La unidad de conductancia es Siemens.

    Por lo tanto, la conductividad es la propiedad de un conductor que le permite pasar fácilmente una corriente eléctrica a través de él.

    2. Resistividad

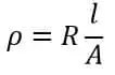
    La resistividad es la recíproco de la conductividad. Es la medida del impedimento en el flujo de corriente eléctrica a través de un conductor. Por lo tanto, no hace falta decir que un buen conductor debe tener una resistividad baja. La resistividad de un conductor se da como

    Propiedades del conductor eléctrico>Donde R, l, A es la resistencia, la longitud y el área de la sección transversal del conductor.

    Al contrario de la conductividad, la resistividad es la propiedad de un conductor que resiste el flujo de corriente eléctrica a través de él.

    3. Disponibilidad de Electrones Libres

    La presencia de electrones libres es una propiedad importante del conductor que permite la conducción de corriente eléctrica a través de un material. Todos los metales tienen electrones libres en su capa exterior, lo que los convierte en buenos conductores de electricidad. Los electrones en la capa externa de estos átomos metálicos se mantienen sueltos en el núcleo y en presencia de un campo eléctrico (debido a una diferencia de potencial), estos electrones desprenderse de sus respectivas conchas.

    Como resultado, se crea una reserva de electrones libres que fluye por todo el cuerpo metálico. Estos electrones llevan una carga negativa y, por lo tanto, su flujo provoca la conducción de la corriente eléctrica.

    A diferencia de los metales, los no conductores o aislantes no tienen electrones libres en su capa exterior. Por lo tanto, se requiere un fuerte campo eléctrico para arrancar los electrones a fin de iniciar la conducción. Tal intensidad de campo eléctrico se puede lograr a un voltaje muy alto que se conoce como voltaje de ruptura.

    Por lo tanto, estos no conductores se pueden usar con seguridad como material aislante hasta que el voltaje del sistema alcance el voltaje de ruptura.

    por ejemplo, el la fuerza de ruptura del aire es de 30 kV/cm lo que significa que la electricidad puede conducir a través de un espacio de 1 cm entre dos puntos separados por aire si la diferencia de potencial entre el espacio alcanza los 30 kV o más. Hasta este voltaje, los dos puntos en un espacio de 1 cm están aislados de forma segura a través del aire.

    4. Conductividad Térmica– Propiedad del conductor

    La propiedad de conductividad térmica es tan importante para un conductor como la conductividad eléctrica. Ciertas máquinas o aparatos eléctricos tienen que funcionar constantemente y el flujo de corriente a través de ellos provoca la generación de calor debido a su resistencia intrínseca. Este calor es una pérdida de potencia de entrada que no se puede eliminar.

    Por lo tanto, el material conductor debe poder soportar el aumento de su temperatura y, por lo tanto, el punto de fusión debe ser alto. El cobre y el aluminio tienen una conductividad térmica más alta y, por lo tanto, se utilizan en máquinas de servicio pesado.

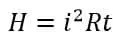
    El calor generado en un conductor viene dado por

    Propiedades del conductor eléctrico>Donde i es la corriente a través del conductor, R es la resistencia del conductor y t es el tiempo durante el cual fluye la corriente.

    De la ecuación se desprende claramente que para reducir la pérdida de calor a través del conductor se debe reducir la corriente i o la resistencia R o el tiempo de operación t. En un escenario práctico, i y t no se pueden reducir más allá de un límite y, por lo tanto, la resistencia del conductor en uso debe ser baja para que pueda manejar el calor generado de manera eficiente.

    5. Ductilidad

    Muchos conductores, como el cobre y el aluminio, son muy dúctiles, lo que significa que pueden estirarse en alambres delgados sin romperse. Esta propiedad del conductor es crucial para la producción de alambres y cables eléctricos.

    6. Maleabilidad– Propiedad del conductor

    Un material conductor debe ser de naturaleza maleable, lo que le permite moldearse o conformarse fácilmente en diferentes configuraciones. Esta propiedad es beneficiosa para diversas aplicaciones, como la creación de pistas conductoras en placas de circuitos.

    7. Inductancia

    La inductancia es la tendencia de un conductor eléctrico a oponerse a un cambio en la corriente eléctrica que lo atraviesa. Por lo tanto, para un conductor que transporta corriente continua, la inductancia no es un problema ya que el cambio de tasa de tiempo de la corriente es cero en el caso de CC. Pero la mayoría de los aparatos y máquinas prácticos funcionan con voltaje de CA y, por lo tanto, la inductancia proporcionada por un conductor es de extrema importancia.

    De acuerdo con las leyes de la inducción electromagnética, una corriente variable en el tiempo que pasa a través de un conductor provoca la generación de un flujo de campo magnético dentro y fuera del conductor. El campo magnético fuera del conductor es extremadamente bajo en comparación con el interior del conductor. Este campo magnético hace que se induzca una fem dentro del conductor que se opone al voltaje aplicado a través del conductor. La fem inducida se da como;

    Propiedades del conductor eléctrico>Donde E es la fem inducida, L es la inductancia del conductor y di/dt denota el cambio de tasa de tiempo de la corriente a través del conductor. El símbolo menos (-) indica que la fem inducida está en oposición a la diferencia de potencial aplicada a través del conductor.

    Esto provoca una reducción de la corriente que circula por el conductor y por tanto la corriente busca un camino alternativo donde el efecto de este campo magnético sea bajo que se encuentre fuera del conductor. Esto se conoce como efecto piel. El efecto pelicular provoca el desperdicio del área de la sección transversal del conductor ya que la corriente tiende a fluir a través de la superficie exterior del conductor en lugar de fluir a través del núcleo del conductor.

    Como se desprende de la ecuación anterior, la inductancia (L) de un buen conductor debe ser baja para evitar un problema como efecto en la piel.

    8. El campo eléctrico dentro de un conductor es cero

    Un conductor no tiene intensidad de campo eléctrico por sí mismo. Esto permite el libre movimiento de electrones dentro del conductor. Si hubiera habido algún campo eléctrico dentro del conductor, los electrones se habrían alineado en una dirección opuesta a la dirección del campo, creando así un grupo de partículas cargadas negativa y positivamente separadas dentro del conductor. Pero los electrones se mueven libremente por todo el conductor hasta que quedan impresionados por un campo eléctrico externo.

    9. Reflectividad

    Las ondas electromagnéticas. incluso la luz, cuando cae sobre la superficie de un buen conductor, se refleja. La plata y el cobre son buenos conductores de electricidad y tienen electrones libres unidos a sus átomos. Cuando las ondas electromagnéticas caen sobre dichos conductores, los electrones libres pueden moverse fácilmente.

    Una corriente eléctrica oscilante se establece en el conductor debido al movimiento de ida y vuelta de los electrones, y esta corriente oscilante genera ondas electromagnéticas. Estas ondas se denominan ondas reflejadas.

    Conclusión

    Alta conductividad, baja resistividad y movilidad de electrones libres son las propiedades del conductor que lo hacen adecuado para aplicaciones eléctricas que provocan un flujo eficiente de corriente eléctrica.

    Esto es todo acerca de las Propiedades de los Conductores Eléctricos.

    Error 403 The request cannot be completed because you have exceeded your quota. : quotaExceeded

    [automatic_youtube_gallery type=»search» search=»Propiedades del conductor eléctrico» limit=»1″]

    Propiedades del Conductor Eléctrico

    ¿Alguna ⁤vez te has preguntado cómo fluye la electricidad a través de los cables que iluminan nuestras casas y ‍alimentan nuestros dispositivos?‍ La respuesta radica en las propiedades de los conductores ⁢eléctricos, materiales⁢ cuya⁤ capacidad para permitir ​el ​paso de electrones transforma⁤ conceptos abstractos en la realidad tangible ‌que nos ⁣rodea. En este artículo, exploraremos las características fundamentales⁣ que hacen de estos materiales piezas clave en el fascinante ​entramado de la física‌ y la tecnología.

    Importancia de los Conductores Eléctricos

    Desde los simples cables que llevan electricidad hasta nuestros hogares, hasta los avanzados sistemas de automóviles ⁣eléctricos, los‌ conductores eléctricos desempeñan un ‌papel​ crucial en nuestro‌ mundo moderno. ⁤A continuación,‍ se describen⁤ las propiedades‌ esenciales que afectan el flujo de corriente eléctrica:

    Propiedades Clave de los Conductores Eléctricos

    1. Conductividad
    2. Resistividad
    3. Disponibilidad de Electronnes ‌Libres
    4. Conductividad Térmica
    5. Ductilidad
    6. Maleabilidad
    7. Inductancia
    8. Reflectividad

    1. Conductividad

    La conductividad de un conductor es ⁢la medida de su capacidad para⁢ permitir ⁤el paso de corriente eléctrica. Entre los buenos conductores se ​encuentran metales‌ como el cobre y el aluminio, que⁣ son ampliamente utilizados en aplicaciones eléctricas debido a su‌ alta eficiencia y bajo coste. La conductividad se denota ​por σ y se relaciona inversamente con⁣ la resistividad.

    2. Resistividad

    La resistividad es el opuesto ​de la​ conductividad; indica qué tanto un material se ‌opone ⁤al flujo de corriente eléctrica. ‍Un buen conductor debe tener una​ baja​ resistividad, lo que permite un⁢ flujo de corriente más eficiente.

    3. Disponibilidad de Electrones Libres

    Los electrones libres ‌en los metales permiten ‍que estos materiales conduzcan electricidad. Durante la aplicación de⁤ un campo eléctrico, estos electrones se desplazan y facilitan el flujo de corriente.

    4.‍ Conductividad Térmica

    La conductividad térmica es crucial, ya que un conductor debe ser capaz de gestionar el calor ‍generado durante la conducción ⁣eléctrica. Materiales como⁢ el cobre y el aluminio son efectivos debido a ⁢su alta conductividad térmica.

    5. Ductilidad

    La ductilidad se refiere a la capacidad de un​ material para estirarse sin romperse. ⁤Esta propiedad es esencial para fabricar alambres y cables ‍eléctricos.

    6. Maleabilidad

    La‌ maleabilidad permite que un material se pueda⁤ moldear en diferentes formas, lo que es beneficioso⁣ para⁣ la creación ⁢de ‌componentes eléctricos como⁣ circuitos y​ conexiones.

    7. ‌Inductancia

    La inductancia es la tendencia de un conductor a ‍oponerse a los cambios en la ⁣corriente. En aplicaciones de corriente alterna, ⁤esta propiedad se vuelve importante debido a la generación de campos magnéticos.

    8. Reflectividad

    La‍ reflectividad se refiere a la capacidad de un material de reflejar la luz, aunque no suele ser una propiedad crítica ​en aplicaciones eléctricas, puede ser relevante en ⁣ciertas ⁤aplicaciones⁢ ópticas.

    ¿Por qué es Importante Conocer estas Propiedades?

    Comprender estas ​propiedades nos⁤ ayuda⁣ a seleccionar ⁢el conductor adecuado para diversas⁤ aplicaciones, garantizando eficiencia, seguridad y rendimiento.

    Preguntas Frecuentes (FAQs)

    ¿Qué materiales son considerados buenos conductores eléctricos?

    Los metales como​ el cobre y el plata son considerados los mejores conductores eléctricos debido a su⁢ alta conductividad⁤ y la disponibilidad de electrones libres. Otros metales como el aluminio ⁣también son utilizados, especialmente en aplicaciones donde el peso ‍es un factor crítico.

    ¿Cómo afecta la temperatura a la conductividad de un material?

    La ‍conductividad eléctrica de un material generalmente‍ disminuye al aumentar la temperatura, puesto que el movimiento térmico de los átomos introduce más resistencia al flujo de electrones.

    ¿Qué efectos tiene la inductancia en aplicaciones eléctricas?

    La inductancia puede causar pérdidas de energía en sistemas que operan con corriente alterna, ya que la corriente se opone ‌a cambios ‍en el flujo. Esto puede afectar ⁢el rendimiento de dispositivos eléctricos como transformadores y motores.

    Deja un comentario