En el vasto mundo de la energía eléctrica, la transmisión eficiente de la electricidad es crucial para garantizar que cada hogar, industria y ciudad reciba la energía que necesita. Sin embargo, detrás de la complejidad de las líneas de transmisión, surgen términos técnicos que pueden resultar confusos, como GMD y GMR. ¿Qué significan realmente estas siglas y por qué son fundamentales para el diseño y la operación de las redes eléctricas? En este artículo, desglosaremos estos conceptos esenciales, explorando su importancia y su impacto en la calidad y confiabilidad del suministro eléctrico. ¡Acompáñanos en este fascinante recorrido por el corazón de las líneas de transmisión!
¿Te has preguntado alguna vez qué significan las siglas GMD y GMR en las líneas de transmisión? Si eres un apasionado de la energía eléctrica o si estás estudiando el tema, este artículo es para ti. En este texto, te adentrarás en el fascinante mundo de la transmisión de energía y descubrirás qué significan realmente esas dos siglas esenciales para entender cómo funcionan las líneas de transmisión. ¡Sigue leyendo para convertirte en un experto en el tema!
En este artículo, discutiremos la GMD (distancia media geométrica) y GMR (Radio medio geométrico) en líneas de transmisión, su definición y sus usos.
GMD (Distancia media geométrica) y GMR (Radio medio geométrico) son los dos términos importantes que se utilizan en el inductancia y capacitancia cálculos de las líneas aéreas de transmisión. GMD y GMR simplifican los cálculos de inductancia y capacitancia de la línea de transmisión.
¿Qué es GMR?
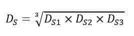
GMR representa Radio medio geométrico. GMR también se conoce como Propia GMD o Distancia media autogeométrica. GMR generalmente se denota con el símbolo DS.
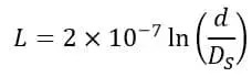
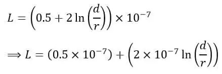
La inductancia de una línea de transmisión por conductor por metro está dada por,
>En esta ecuación, el primer término (0.5×10-7) es el valor de la inductancia debida al flujo magnético presente en el interior del conductor de línea. Por lo tanto, GMR es el concepto que puede eliminar este término de la expresión y simplificar la expresión.
El proceso de eliminación (0.5×10-7) de la ecuación que utiliza el concepto de GMR o auto-GMD es el siguiente.
Considere que el conductor de línea sólido se reemplaza por un conductor hueco equivalente que tiene una superficie muy delgada. En consecuencia, cuando una corriente alterna fluye a través de este conductor hueco, el flujo en el interior del conductor será cero, ya que es un conductor hueco. Por lo tanto, el término (0.5×10-7) será eliminado de la ecuación.
Pero, cuando usamos un conductor hueco, el radio del conductor hueco equivalente debe ser tal que pueda compensar el flujo interno dejando espacio para flujo adicional. En la práctica, el radio del conductor hueco es menor que el del conductor sólido.
Por ejemplo, si el radio del conductor sólido es «R», se demuestra matemáticamente que la GMR del conductor será igual a 0,7788 veces R.
Después de eliminar el término (0.5×10-7), la ecuación anterior se convertirá en,
>
Dónde,
>A partir de esta expresión, se puede ver que la GMR de un conductor depende de la forma y el tamaño del conductor. Pero, el GMR no depende del espacio entre los diferentes conductores de línea.
¿Qué es GMD?
DGM representa Distancia media geométrica. DGM también se conoce como GMD mutuo porque se utiliza en el cálculo de la inductancia mutua de la línea de transmisión. A menudo se denota con el símbolo Dmetro.
El concepto de GMD (Distancia media geométrica) simplifica el cálculo de la inductancia mutua de los conductores agrupados. Se mide como la distancia media geométrica de un conductor a otro conductor, por eso se llama GMD. Dado que GMD es la distancia entre diferentes conductores, cambia con el cambio en la disposición de los conductores.
Ahora, analicemos la GMD (Distancia media geométrica) para diferentes arreglos de conductores.
(1). GMD de Dos Conductores Adyacentes (Línea Monofásica)
Considere dos conductores que se colocan uno al lado del otro de manera que el espacio entre ellos es muy grande en comparación con el diámetro de cada conductor. Entonces, la GMD mutua o simplemente GMD será igual a la distancia entre los centros de los conductores, es decir
>(2). GMD de línea de transmisión trifásica de circuito único
Para una línea de transmisión trifásica de un solo circuito, la GMD viene dada por,
>Así, la GMD mutua de una línea trifásica de un solo circuito es igual a la separación equilátera equivalente entre los conductores de la línea.
(3). GMD de Línea de Transmisión Trifásica de Doble Circuito
Una línea de transmisión trifásica de doble circuito tiene dos circuitos trifásicos, es decir, tres conductores de línea. Considere la disposición de la línea de transmisión trifásica de doble circuito como se muestra en la siguiente figura.
>Aquí, los conductores r, yy b pertenecen al primer circuito trifásico, y los conductores r’, tuy b’ pertenecen al segundo circuito trifásico.
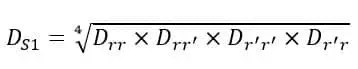
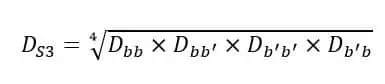
Así, la RMG de la combinación de los conductores rr’, yy’y cama y desayuno’es dado por,
Para el primer par de conductores:
>
Para el segundo par de conductores
>De manera similar, para el tercer par de conductores
>Dónde,
- Drr = rer’r’ = reyy = retu = recama y desayuno = recama y desayuno’ son las GMR de los conductores.
- Drr’ = rer’rson la distancia entre conductores r y r’.
- Dyy’ = resison la distancia entre conductores y y tu.
- Dcama y desayuno’ = recama y desayunoson la distancia entre conductores b y b’.
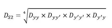
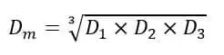
Así, la RMG equivalente por fase de la línea de transmisión trifásica de doble circuito es,
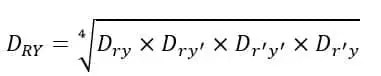
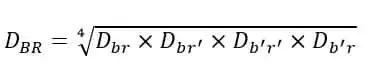
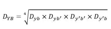
>Ahora, calculemos la GMD mutua entre las fases. RY, YBy BR.
por fases RYla GMD está dada por,
>por fases YBla GMD está dada por,
>por fases BRla GMD está dada por,
>Así, la GMD equivalente (GMD mutua) viene dada por,
>Nota – El GMD mutuo (o GMD) depende del espacio entre los conductores y no depende de la forma, el tamaño y la orientación de los conductores.
[automatic_youtube_gallery type=»search» search=»¿Qué es GMD y GMR en Líneas de Transmisión?» limit=»1″]
¿Qué es GMD y GMR en Líneas de Transmisión?
En el vasto mundo de la energía eléctrica, la transmisión eficiente de electricidad es crucial para garantizar que cada hogar, industria y ciudad reciba la energía que necesita. Sin embargo, detrás de la complejidad de las líneas de transmisión, surgen términos técnicos que pueden resultar confusos, como GMD (Distancia Media Geométrica) y GMR (Radio Medio Geométrico). ¿Qué significan realmente estas siglas y por qué son fundamentales para el diseño y la operación de las redes eléctricas?
En este artículo, desglosaremos estos conceptos esenciales, explorando su importancia y su impacto en la calidad y confiabilidad del suministro eléctrico. ¡Acompáñanos en este fascinante recorrido por el corazón de las líneas de transmisión!
¿Qué es GMD?
GMD, o Distancia Media Geométrica, es un término utilizado para simplificar el cálculo de la inductancia mutua entre conductores en líneas de transmisión. Esta distancia se define como la distancia media geométrica entre los centros de los conductores involucrados, lo que facilita el cálculo de la inductancia mutua, un aspecto crucial para el diseño eficiente de las líneas eléctricas.
La fórmula general para calcular GMD dependerá del arreglo de los conductores en una línea de transmisión. Por ejemplo:
- GMD de Dos Conductores Adyacentes (Línea Monofásica): Es igual a la distancia directa entre los centros de los conductores cuando están alineados.
- GMD en Líneas de Transmisión Trifásicas: Se calcula tomando en cuenta la disposición triangular de los conductores.
¿Qué es GMR?
GMR, o Radio Medio Geométrico, es otro concepto clave, especialmente en el contexto del cálculo de la inductancia de un solo conductor. Este término se refiere a la distancia efectiva que un conductor puede actuar como si fuera un conductor medio, permitiendo simplificar el cálculo de inductancias para los conductores existentes.
Matemáticamente, el GMR se expresa como:
GMR = 0.7788 × R, donde R es el radio del conductor sólido.
Este valor es crucial ya que modifica la forma en que calculamos la inductancia, al eliminar ciertos términos que pueden complicar el proceso.
Importancia de GMD y GMR
Ambos términos, GMD y GMR, son fundamentales para el diseño de líneas de transmisión. Permiten:
- Realizar cálculos más precisos de la inductancia y capacitancia.
- Mejorar la eficiencia de la transmisión de energía eléctrica.
- Minimizar las pérdidas eléctricas durante la transmisión.
Preguntas Frecuentes (FAQs)
¿Cuál es la diferencia entre GMD y GMR?
GMD se refiere a la distancia media geométrica entre conductores, mientras que GMR es el radio medio geométrico considerado para un solo conductor. Ambos se utilizan en cálculos relacionados con la inductancia.
¿Por qué es importante calcular GMD?
El cálculo de GMD es esencial para entender las interacciones entre múltiples conductores, lo que ayuda a asegurar una transmisión eléctrica eficiente y reducir interferencias.
¿Cómo afecta GMR al diseño de líneas de transmisión?
GMR permite simplificar el cálculo de inductancia al considerar la geometría efectiva del conductor, lo que optimiza el diseño y mejora la eficiencia del sistema de transmisión.
¡Hola a todos! La verdad es que el artículo sobre GMD y GMR en líneas de transmisión está muy bien explicado. Me parece increíble cómo esos conceptos pueden afectar la eficiencia de la transmisión de energía. Recuerdo que en una vez que estaba haciendo un proyecto en la universidad, tuvimos que calcular el GMR de un cable específico y fue todo un reto, pero aprendí muchísimo. ¡Gracias por compartir esta información tan útil!
Ramon augusto: ¡Totalmente de acuerdo, David! El artículo realmente aclara muchos puntos clave sobre GMD y GMR. Recuerdo que en mi primer trabajo, estaba involucrado en un proyecto donde tuvimos que evaluar el impacto del GMD en las líneas de transmisión que estábamos utilizando. Fue una experiencia de aprendizaje increíble, porque además de los cálculos, me di cuenta de cuán importante es aplicar correctamente estos conceptos para evitar pérdidas. ¡Agradezco que compartas este tipo de contenido tan valioso!
Tathblatest: ¡Hola a todos! Estoy con ustedes, el artículo es súper claro y útil. Me acuerdo de una vez que, mientras estaba haciendo un curso de electromagnetismo, nos tocó calcular el GMD de varias configuraciones de líneas y la verdad fue un caos al principio, pero todo empezó a tener sentido cuando entendí cómo influye en el rendimiento. ¡Definitivamente es un tema que no se puede pasar por alto!