Relación entre Permeabilidad Relativa y Susceptibilidad Magnética
En el fascinante mundo de la física y la ingeniería, dos conceptos fundamentales se entrelazan en una danza de propiedades que nos ayudan a comprender mejor la materia: la permeabilidad relativa y la susceptibilidad magnética. Aunque a primera vista pueden parecer términos técnicos reservados para especialistas, su relación es crucial en aplicaciones que van desde la tecnología de materiales hasta la exploración espacial. En este artículo, desentrañaremos cómo estas dos magnitudes interaccionan y por qué su entendimiento es esencial para avanzar en el diseño de dispositivos magnéticos, transformadores y mucho más. Acompáñanos en este viaje al corazón de la física moderna y descubre cómo la ciencia nos brinda herramientas para manipular el mundo que nos rodea.
La relación entre la permeabilidad relativa y la susceptibilidad magnética es un tema fascinante que ha intrigado a científicos y expertos en física durante décadas. Estas dos propiedades están estrechamente relacionadas y desempeñan un papel crucial en el comportamiento de los materiales frente a campos magnéticos. En este artículo, exploraremos a fondo esta relación y su importancia en diferentes aplicaciones tecnológicas. Así que prepárate para sumergirte en el mundo invisible de los magnetos y descubrir cómo estas propiedades pueden influir en nuestra vida cotidiana.
En este artículo derivaremos la expresión matemática para establecer la relación entre la permeabilidad relativa y la susceptibilidad magnética del material.
La permeabilidad magnética (µ) es la capacidad de magnetización del material. Los materiales de mayor permeabilidad se magnetizan rápidamente. Por otro lado, el material de menor permeabilidad, como el aire o el vacío, no se magnetiza fácilmente. Los materiales de mayor permeabilidad tienen más dipolos magnéticos y se magnetizan rápidamente.
Susceptibilidad magnética (x) es otro término importante que indica cuánta magnetización del material tiene lugar con un campo magnético aplicado. Algunos materiales tienden a magnetizarse rápidamente, mientras que otros no magnetizan en absoluto o se magnetizan menos. La susceptibilidad del material muestra el grado de magnetización del material con el campo magnético aplicado (H).
Derivación de la fórmula para la relación entre la permeabilidad magnética y la susceptibilidad
Tomemos una pieza de material. Ahora, mantenemos el material en el campo magnético. El material recibe el campo magnético que magnetiza el material. El proceso de formación del campo magnético dentro del material se denomina proceso de magnetización. El campo magnético dentro del material es siempre mayor que la intensidad de magnetización aplicada. La razón detrás de este hecho es que los dipolos del material también tienen poder magnetizante.
Así, el campo magnético total dentro del material es la suma del campo magnético aplicado y el campo magnético debido a la magnetización del material. En otras palabras, podemos decir que el campo neto es una resultante de la magnetización debida al campo aplicado (B0) y magnetización debida al magnetismo inducido (Bi).
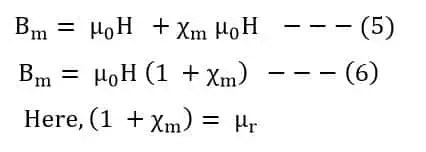
El campo magnético aplicado al material es;
>Magnetización (Bi) en el material debido al campo aplicado (B0)
>El campo magnético total dentro del material es la suma de Bi y B0
>Poniendo el valor de las ecuaciones (2) y (3) en la ecuación (4),
>Por lo tanto, la relación entre la permeabilidad relativa y la susceptibilidad magnética se da a continuación.
>
La permeabilidad y la susceptibilidad siempre me ha fascinado. Recuerdo una vez que tratamos de construir un pequeño motor eléctrico en un proyecto escolar y tuvimos que investigar cómo los materiales que escogíamos influían en el rendimiento. Fue allí cuando me di cuenta de que hasta los detalles más pequeños, como la susceptibilidad magnética, pueden hacer una gran diferencia. Este artículo realmente captura esa complejidad y me trae buenos recuerdos de aquellos días experimentales. ¡Gracias por compartirlo!
¡Qué interesante artículo! La relación entre la permeabilidad relativa y la susceptibilidad magnética siempre me ha parecido fascinante. Me acuerdo de cuando estaba en la universidad y tuve que hacer un experimento sobre materiales magnéticos; fue curioso ver cómo algunos materiales se comportaban de manera tan distinta al ser expuestos a campos magnéticos. También me hizo pensar en cómo estos conceptos pueden aplicarse en el día a día, como en las herramientas eléctricas que usamos. En fin, ¡gracias por compartir esta info!
Interesante, la verdad. A mí también me pasó algo similar en la uni, hicimos un proyecto sobre esos temas y descubrir cómo todo se conecta fue como una bomba de conocimiento. Además, me encanta cómo conceptos que parecen tan abstractos al principio pueden tener aplicaciones tan prácticas. ¡Este artículo me hizo recordar lo emocionante que era experimentar y aprender en el laboratorio!
La relación entre la permeabilidad relativa y la susceptibilidad magnética es fascinante, ya que refleja cómo los materiales responden a campos magnéticos. Al comprender esta conexión, podemos aplicar este conocimiento en diversas áreas, desde la física hasta la ingeniería de materiales. Es interesante ver cómo pequeñas variaciones en la composición de un material pueden tener un gran impacto en sus propiedades magnéticas, lo que puede abrir la puerta a innovaciones en tecnología y aplicaciones prácticas. Sin duda, es un tema que merece más exploración y discusión.
Chokri: ¡Totalmente de acuerdo! La conexión entre la permeabilidad relativa y la susceptibilidad magnética tiene un montón de aplicaciones prácticas. Recuerdo que en mi clase de física hicimos una práctica con imanes y diferentes metales, y fue revelador ver cómo algunos materiales se volvían súper imanes en ciertas condiciones. Es alucinante pensar en cómo entendemos esto y luego lo usamos en techos o dispositivos. ¡Gracias por levantar el tema!
AlihubiriE: ¡Sí, definitivamente! La forma en que la permeabilidad relativa y la susceptibilidad magnética interactúan me resulta super interesante. A mí me pasó algo parecido en una clase de electromagnetismo; nos dejaron experimentar con diferentes aleaciones y ver cómo respondían a un campo magnético. Fue increíble ver lo que podía hacer un simple cambio en la composición del material. ¡Es alucinante pensar en todas las aplicaciones que tiene en la tecnología hoy en día!
Interesante. Personalmente, tuve una experiencia en la universidad donde hicimos un experimento sobre estos conceptos, y aprender cómo la susceptibilidad magnética podía afectar la permeabilidad me abrió los ojos a lo complejas que son las interacciones en el mundo físico. ¡El artículo me recordó mucho esos días de laboratorio!
It seems like your request was cut off. Could you please provide more details about what you would like the single comment to be about?