Calculadora de Frecuencia de Resonancia del Circuito del Tanque LC
En el fascinante mundo de la electrónica, el circuito del tanque LC se erige como un pilar fundamental en numerosas aplicaciones, desde la transmisión de radio hasta la filtración de señales. Pero, ¿sabías que la clave para optimizar su rendimiento radica en la frecuencia de resonancia? En este artículo, te presentamos una herramienta imprescindible: la calculadora de frecuencia de resonancia del circuito del tanque LC. Con ella, no solo podrás determinar la frecuencia ideal para tus proyectos, sino que además descubrirás los secretos detrás de su funcionamiento y su relevancia en el día a día de la tecnología moderna. ¡Acompáñanos en este viaje sonoro y electrizante!
Descubre la fórmula secreta para calcular la frecuencia de resonancia del circuito del tanque LC con nuestra innovadora calculadora. Sí, has leído bien, ahora podrás resolver este complicado problema en cuestión de segundos y sin necesidad de ser un experto en electrónica. ¿Estás listo para dominar el funcionamiento de este circuito esencial? Entonces, ¡no te pierdas nuestra exclusiva herramienta!
¿Qué es un circuito de tanque?
La calculadora de resonancia del circuito del tanque LC es una herramienta para calcular la frecuencia de resonancia de un circuito del tanque para valores de capacitancia e inductancia dados.
El circuito del tanque LC es una combinación paralela de un capacitor y un inductor. Es el más común”circuito de tanque resonante”. El circuito del tanque absorbe la máxima potencia a la frecuencia resonante. A la frecuencia de resonancia, la reactancia inductiva y la reactancia capacitiva se igualan.
La condición de resonancia del circuito del tanque es;
XL =XC
Dónde,
XL = Reactancia del inductor
XC = Reactancia del condensador
>Fórmula de la frecuencia de resonancia del circuito del tanque
>
Dónde:
Fr= Frecuencia de resonancia (Hz)
L = Inductancia del circuito (H)
C = Capacitancia del circuito (F)
Calculadora de frecuencia de resonancia del circuito del tanque LC
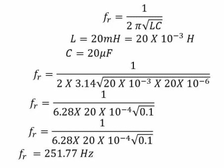
Problema Resuelto sobre Frecuencia de Resonancia
Calcule la frecuencia resonante de un circuito tanque si el valor de la capacitancia y la inductancia son 20 faradios y 20 milihenrios.
>Aplicaciones
La resonancia de los circuitos de tanques es beneficiosa en ingeniería eléctrica. Esto tiene una gran importancia en la tecnología de radio. Por ejemplo, el transmisor y el receptor de radio no pueden funcionar sin circuitos de tanque.
El transmisor de radio tiene un amplificador de clase C con un circuito de tanque en su lado de carga. La característica de este tipo de amplificador es que genera una enorme energía cuando la señal se acopla desde el amplificador a la antena. Por lo tanto, la señal tiene buena fuerza durante la propagación de ondas en el espacio.
.banner-1-multi-171{border:ninguno!importante;pantalla:bloquear!importante;flotante:ninguno!importante;line-height:0;margin-bottom:15px!important;margin-left:auto!important;margin -right:auto!important;margin-top:15px!important;max-width:100%!important;min-height:250px;min-width:250px;padding:0;text-align:center!important}
.box-4-multi-911{border:ninguno!importante;mostrar:bloquear!importante;flotante:!important;line-height:0;margin-bottom:15px!important;margin-left:auto!important;margin-right:auto!important;margin-top:15px!important;max-width:100%!important; min-height:250px;min-width:250px;padding:0;text-align:center!important}
De manera similar, un receptor de radio tiene un circuito de tanque. El circuito tanque tiene su frecuencia de sintonía igual a la frecuencia de la señal de transmisión. Así, el circuito tanque recupera la señal de la forma de onda modulada.
Leer siguiente:
[automatic_youtube_gallery type=»search» search=»Calculadora de frecuencia de resonancia del circuito del tanque LC» limit=»1″]
Calculadora de Frecuencia de Resonancia del Circuito del Tanque LC
En el fascinante mundo de la electrónica, el circuito del tanque LC se erige como un pilar fundamental en numerosas aplicaciones, desde la transmisión de radio hasta la filtración de señales. Pero, ¿sabías que la clave para optimizar su rendimiento radica en la frecuencia de resonancia? En este artículo, te presentamos una herramienta imprescindible: la calculadora de frecuencia de resonancia del circuito del tanque LC. Con ella, no solo podrás determinar la frecuencia ideal para tus proyectos, sino que además descubrirás los secretos detrás de su funcionamiento y su relevancia en la tecnología moderna.
¿Qué es un Circuito de Tanque?
El circuito del tanque LC es una combinación paralela de un capacitor y un inductor. Este es el más común de los circuitos de tanque resonante. El circuito del tanque absorbe la máxima potencia a la frecuencia resonante. A la frecuencia de resonancia, la reactancia inductiva y la reactancia capacitiva se igualan.
Condición de Resonancia
La condición de resonancia del circuito del tanque es:
- XL = XC
Donde:
- XL = Reactancia del inductor
- XC = Reactancia del condensador
Fórmula de la Frecuencia de Resonancia
La frecuencia de resonancia (Fr) se puede calcular mediante la siguiente fórmula:
Fr = 1 / (2π√(L * C))
Donde:
- Fr = Frecuencia de resonancia (Hz)
- L = Inductancia del circuito (H)
- C = Capacitancia del circuito (F)
Calculadora de Frecuencia de Resonancia del Circuito del Tanque LC
Usar nuestra calculadora de frecuencia de resonancia es sencillo. Solo necesitas introducir los valores de inductancia y capacitancia de tu circuito y, en un instante, obtendrás la frecuencia resonante deseada. Esta herramienta es perfecta tanto para estudiantes como para profesionales que necesitan calcular rápidamente este parámetro vital en sus proyectos electrónicos.
FAQs sobre la Frecuencia de Resonancia del Circuito del Tanque LC
¿Por qué es importante la frecuencia de resonancia en un circuito LC?
La frecuencia de resonancia es crucial porque es el punto donde el circuito tanque LC puede absorber la máxima potencia. En este punto, las reactancias capacitivas e inductivas se igualan, lo que permite un intercambio eficiente de energía, fundamental en aplicaciones como radios y filtros electrónicos.
¿Cómo se puede ajustar la frecuencia de resonancia?
Para ajustar la frecuencia de resonancia de un circuito LC, puedes modificar los valores de la inductancia (L) o la capacitancia (C). Aumentar uno de estos valores disminuirá la frecuencia de resonancia y viceversa.
¿Qué sucede si la frecuencia de operación no coincide con la frecuencia de resonancia?
Si la frecuencia de operación no coincide con la frecuencia de resonancia, el circuito no funcionará de manera óptima. Puede haber pérdidas de energía y una transferencia ineficiente de potencia, lo que afectará el rendimiento general del circuito.
Conclusión
La calculadora de frecuencia de resonancia del circuito del tanque LC es una herramienta esencial que cualquier aficionado a la electrónica debería tener. Comprender y calcular la frecuencia de resonancia no solo te permitirá optimizar tus circuitos, sino también profundizar en el fascinante mundo de la electrónica.
Para más información sobre el tema, puedes visitar estos enlaces externos: LibreTexts, Omni Calculator.
¡Qué interesante artículo! Me acuerdo que la primera vez que armé un circuito LC para un proyecto de la universidad, me quedé sorprendido al ver cómo la frecuencia de resonancia podía afectar todo el sistema. Usar una calculadora como la que mencionan es clave para no andar adivinando. ¡Gracias por compartir esta info!
Vazzottiwb: ¡Totalmente de acuerdo, lapontiacqf! Yo también me acuerdo de mi primer circuito LC, era todo un lío, pero una vez entendí cómo calcular la frecuencia de resonancia, todo cobró sentido. Tener una calculadora a la mano realmente facilita la vida y evita ensayos y errores. ¡Me encanta aprender sobre estas cosas!