Conductor eléctrico: ¿Qué es? (Diagrama y tipos de conductores)
En el fascinante mundo de la electricidad, hay un concepto fundamental que impulsa casi todas nuestras tecnologías modernas: el conductor eléctrico. Pero, ¿qué es exactamente un conductor eléctrico y por qué es tan crucial en nuestra vida diaria? Desde el momento en que encendemos una bombilla hasta el instante en que cargamos nuestros dispositivos, los conductores son los silenciosos héroes que hacen posible la transmisión de energía. En este artículo, exploraremos en profundidad qué son los conductores eléctricos, los diferentes tipos que existen, y cómo funcionan, todo ilustrado con diagramas claros y fáciles de entender. Prepárate para desentrañar los secretos de este elemento esencial que, aunque a menudo pasa desapercibido, ilumina nuestro mundo. ¡Vamos a empezar!
¿Alguna vez te has preguntado qué es realmente un conductor eléctrico? Este fascinante elemento es fundamental en el ámbito de la electricidad y despierta nuestra curiosidad sobre su funcionamiento. En este artículo, exploraremos en profundidad qué es un conductor eléctrico, examinaremos su diagrama y hablaremos sobre los diferentes tipos de conductores existentes. ¡Prepárate para adentrarte en el apasionante mundo de la electricidad y descubrir todo lo que hay que saber sobre los conductores eléctricos!
¿Qué es un conductor eléctrico?
un conductor electrico Es un tipo de material que permite el paso de la corriente eléctrica. La corriente eléctrica no es más que la tasa de flujo de cargas con respecto al tiempo. Para el flujo de estas cargas o lo que solemos decir, para que fluya la corriente eléctrica se requiere de un medio. Todo lo que sirve como medio para el cumplimiento de este propósito se conoce como Conductor Eléctrico.
Para que fluya la corriente eléctrica, se requieren electrones libres. Cuanto mayor sea el número de electrones libres en el material conductor, mejor será el flujo de corriente y será más eficaz como conductor.
Concepto de electrones libres
Los electrones libres son los electrones presentes en un material que está débilmente unido al núcleo. Por lo tanto, cuando se aplica una fuerza electromotriz externa o un campo magnético variable en el tiempo, estos electrones se separan del núcleo y hacen que fluya la corriente eléctrica.
Cada átomo de un material dado tiene un núcleo y unido a él hay electrones. Según su posición relativa desde el núcleo, se colocan en dos bandas: Electrones de banda de valencia y Electrones de banda de conducción.
>Los electrones de la banda de valencia están estrechamente unidos al núcleo. Estos electrones no participan en el proceso de conducción. Para despegarlos se requiere una cantidad extra de energía.
Los electrones de la banda de conducción, por otro lado, son los electrones que no están fuertemente unidos al núcleo y están fácilmente disponibles para la conducción cuando hay una fem externa o un campo magnético disponible.
En un conductor eléctrico, la banda de conducción y la banda de cenefa casi se superponen.
Un conductor ideal
Un conductor ideal es aquel que tiene resistencia cero y conductancia infinita. No causará caída de voltaje cuando una corriente eléctrica lo atraviese. A nivel atómico, un conductor ideal es aquel en el que no se requiere energía para mover los electrones de la banda de valencia a la banda de conducción.
Sin embargo, en el mundo práctico, cada material tiene una cierta cantidad de resistencia inherente que depende de la temperatura y otras condiciones físicas. Cuando se somete a una fuerza electromotriz, provoca el flujo de corriente a través de él, pero con una cierta cantidad de caída de voltaje a través de su propia resistencia.
Incluso las fuentes de voltaje, como las baterías, también tienen una resistencia interna en sus terminales que provoca una cierta caída de voltaje.
Propiedades del conductor eléctrico
Los conductores eléctricos tienen las siguientes propiedades.
Tipos de materiales conductores.
Los conductores eléctricos son de tres tipos: Buenos conductores, malos conductores o aislantes, y Semiconductores. Esta categorización se hace en base a su capacidad para conducir la electricidad. Vamos a entenderlos en breve.
Buenos Conductores / Conductores
Como su nombre lo dice, los buenos conductores son materiales que tienen buena conductividad y se utilizan en diversos sistemas eléctricos para la conducción de la electricidad. Todos los elementos metálicos son buenos conductores de la electricidad y normalmente se denominan conductores. Ejemplos: Hierro, Cobre, Plata, Níquel, etc. Estos materiales requieren muy poca energía para transferir electrones de la banda de valencia a la banda de conducción.
Plata es el mejor conductor electrico de la electricidad de todo. Pero estos son costosos y no son adecuados para su uso en máquinas y procesos eléctricos. Por lo tanto, el cobre se utiliza principalmente en máquinas eléctricas para ese fin, ya que da el resultado deseado y es dúctil y maleable. Aparte de eso, el aluminio también se usa en lugares donde el peso es una preocupación, como en las líneas de transmisión.
Malos conductores o aislantes
Los malos conductores eléctricos son los que tienen pocos o ningún electrón libre y requieren una gran cantidad de energía para llevar los electrones de la banda de valencia a la banda de conducción. Esta energía viene dada por la diferencia de potencial que puede ir desde unos pocos kilovoltios hasta varios megavoltios. Es por eso que estos no se utilizan con fines de conducción.
Estos materiales se utilizan como materiales aislantes para garantizar la manipulación segura del material conductor y proporcionar aislamiento entre los dos elementos del circuito o el circuito y el entorno externo. Esto garantiza la seguridad de la operación.
Ejemplos: materiales plásticos, PVC, baquelita, etc. La baquelita se utiliza para fabricar interruptores eléctricos.
Los conductores eléctricos forman enlaces electrovalentes mientras que los aisladores forman enlaces covalentes
Semiconductores
Los semiconductores, como su nombre lo dice, son materiales que son parcialmente conductores por naturaleza. Muestran las propiedades tanto de un conductor como de un no conductor dependiendo de varias condiciones físicas como temperatura, fem aplicada, etc. Ejemplos: silicio, germanio, arseniuro de galio, etc.
Los semiconductores se utilizan ampliamente en circuitos electrónicos que son ideales para procesos de conmutación rápida. Elementos como transistores y diodos están hechos de materiales semiconductores.
¿Cómo conduce un conductor la electricidad?
Como discutimos anteriormente, los conductores tienen una gran cantidad de electrones libres disponibles. Cuando se aplica una diferencia de potencial a través de dos puntos en un conductor, hace que estos electrones ganen la cantidad de energía necesaria para pasar del potencial bajo al potencial más alto en la banda de conducción. Los electrones comienzan a moverse de un átomo a otro ganando energía.
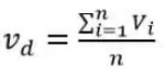
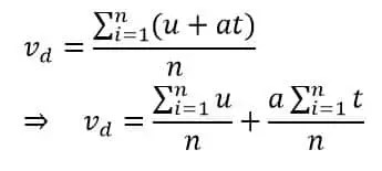
Como hay una enorme cantidad de electrones (llamada nube de electrones), el movimiento de los electrones no ocurre en línea recta. Estos electrones realizan un movimiento de ida y vuelta donde chocan con otros átomos o electrones. La velocidad con la que se mueven estos electrones se conoce como velocidad de deriva La velocidad de deriva es constante para un material dado y una intensidad de campo eléctrico dada.
Velocidad de deriva
La velocidad de deriva de un electrón es la velocidad promedio con la que un electrón se desplaza hacia adelante. Como hay millones de electrones presentes, un campo eléctrico hace que un electrón choque con otro electrón mientras se mueve. Por lo tanto, la velocidad de este electrón sigue cambiando en cada punto. Un promedio de esto dará la velocidad de deriva del electrón.
>Por lo tanto, la velocidad de deriva se da como
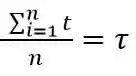
>Donde n es el número de colisiones. Ahora conocemos la mecánica newtoniana.
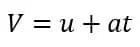
>Donde ‘u’ es la velocidad inicial y a es la aceleración. Ahora, entre dos colisiones sucesivas, el electrón está bajo la influencia únicamente del campo eléctrico (E), siendo su velocidad inicial la velocidad después de la colisión anterior y siendo t el tiempo transcurrido desde la colisión anterior.
Por lo tanto,
>Ahora, el primer término en la ecuación de la velocidad de deriva es el promedio de todas las velocidades iniciales del electrón. Dado que hay millones y miles de millones de electrones presentes que provocan que un electrón choque innumerables veces, la suma de todas las velocidades iniciales es una suma vectorial igual a cero.
La aceleración ‘a’ es una aceleración uniforme dada por
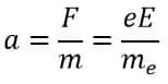
>Donde F es la fuerza aplicada que es igual a la fuerza del campo eléctrico dada por el producto de la carga de un electrón y la intensidad del campo (eE). ‘metromi‘ es la masa del electrón.
Por lo tanto,
>Ahora,
>Dónde τ es el tiempo de relajación del electrón. Es el tiempo entre dos colisiones sucesivas del electrón. Entonces, la velocidad de deriva en un conductor eléctrico está dada por
>Como podemos ver, la velocidad de deriva es un término constante que depende de la intensidad del campo eléctrico y el tiempo de relajación.
Dirección del flujo de corriente eléctrica en un conductor.
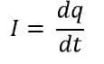
Cuando un conductor se somete a una diferencia de potencial, provoca la formación de un campo eléctrico. Los electrones fluyen en la dirección opuesta a la del campo eléctrico, mientras que la corriente eléctrica fluye en la misma dirección que la corriente fluye desde el punto de mayor potencial al punto de menor potencial, a diferencia de los electrones.
La tasa de flujo de carga con respecto al tiempo se llama corriente eléctrica. Por eso
>tipos de conductores
conductores óhmicos
Estos conductores siguen la ley de Ohm, es decir, V∝ I, ejemplos: hierro, cobre, plata, etc. El conductor óhmico no produce armónicos en la red de suministro eléctrico.
VI>Conductores eléctricos no óhmicos
Estos no obedecen la ley de Ohm. No tienen una relación lineal entre voltaje y corriente. Este tipo de carácter lo muestran los semiconductores. Ejemplos: Diodo, Transistores, LDR, etc. Los conductores no óhmicos producen armónicos en el sistema eléctrico y contaminan el sistema de alimentación.
VI>Conductores eléctricos sólidos
Ejemplos de conductores sólidos son;
Conductor eléctrico líquido
Ejemplos de conductores líquidos son;
Efecto de la temperatura en un conductor
Cuanta más temperatura provoca más vibración en las moléculas conductoras. Por lo tanto, el aumento de la vibración crea un obstáculo para el flujo de electrones. Por lo tanto, la conductividad disminuyó debido a una mayor oposición en el camino del flujo de electrones.
Sin embargo, el aumento de la temperatura rompe las moléculas del conductor y libera algunos electrones. Pero el aumento de electrones es menor y, por lo tanto, la conductividad eléctrica de los conductores disminuye con el aumento de la temperatura.
[automatic_youtube_gallery type=»search» search=»Conductor eléctrico: ¿Qué es? (Diagrama y tipos de conductores)» limit=»1″]
Conductor eléctrico: ¿Qué es? (Diagrama y tipos de conductores)
En el fascinante mundo de la electricidad, hay un concepto fundamental que impulsa casi todas nuestras tecnologías modernas: el conductor eléctrico. Pero, ¿qué es exactamente un conductor eléctrico y por qué es tan crucial en nuestra vida diaria? Desde el momento en que encendemos una bombilla hasta el instante en que cargamos nuestros dispositivos, los conductores son los silenciosos héroes que hacen posible la transmisión de energía. En este artículo, exploraremos en profundidad qué son los conductores eléctricos, los diferentes tipos que existen, y cómo funcionan, todo ilustrado con diagramas claros y fáciles de entender. ¡Vamos a empezar!
¿Qué es un conductor eléctrico?
Un conductor eléctrico es un material que permite el paso de la corriente eléctrica. Para que fluya la corriente eléctrica, que es la tasa de flujo de cargas, se requieren electrones libres en el material. Cuanto mayor sea el número de electrones libres en un conductor, mejor será su capacidad para conducir la electricidad.
Concepto de electrones libres
Los electrones libres son aquellos que están débilmente unidos a los núcleos atómicos en un material. Cuando se aplica una diferencia de potencial, estos electrones pueden moverse, generando así una corriente eléctrica. La capacidad de un material para funcionar como conductor depende de la cantidad de electrones libres que posee.
Propiedades del conductor eléctrico
- Permiten el movimiento de electrones libres.
- El campo eléctrico dentro de un conductor es cero.
- La densidad de carga dentro de un conductor es nula.
- Las cargas solo pueden existir en la superficie de un conductor.
- El campo eléctrico actúa perpendicular a la superficie del conductor.
Tipos de conductores eléctricos
Los conductores eléctricos se pueden clasificar principalmente en tres categorías:
- Buenos conductores: Estos materiales tienen alta conductividad. Ejemplos incluyen cobre y plata, que son ampliamente utilizados en sistemas eléctricos.
- Malos conductores (aislantes): Estos materiales tienen muy pocos electrones libres y son utilizados para aislar componentes eléctricos. Ejemplos: plástico y PVC.
- Semiconductores: Materiales que pueden actuar como conductores o aislantes, dependiendo de las condiciones. Ejemplos incluyen silicio y germanio.
¿Cómo conduce un conductor la electricidad?
Cuando se aplica una diferencia de potencial a través de un conductor, los electrones libres ganan energía y comienzan a moverse. Este movimiento no es en línea recta sino que se presenta como un movimiento en sentido alterno, colisionando con otros átomos y electrones en su camino.
Diagrama de un conductor eléctrico
A continuación, se presenta un sencillo diagrama que ilustra el flujo de electrones en un conductor bajo la influencia de una diferencia de potencial:

FAQs sobre conductores eléctricos
¿Cuáles son los mejores materiales para conducir electricidad?
Los mejores materiales conductores son, en orden, la plata, el cobre y el aluminio. La plata, aunque es el mejor, es costosa, por lo que el cobre es el más utilizado en aplicaciones industriales y eléctricas.
¿Qué materiales son considerados aislantes?
Los aislantes son materiales que no permiten el flujo libre de electrones, como el plástico, el vidrio y el caucho. Estos materiales son cruciales para la seguridad eléctrica, ya que protegen a las personas de descargas eléctricas.
¿Qué es un semiconductor?
Un semiconductor es un material que tiene capacidad de conducción eléctrica intermedia entre un buen conductor y un aislante, y que puede ser alterado por condiciones como temperatura o la adición de impurezas. Ejemplos comunes son el silicio y el germanio, que son fundamentales en la electrónica moderna.
¿Cómo afecta la temperatura a la conductividad eléctrica?
Generalmente, un aumento de temperatura reduce la conductividad de los conductores debido a que el movimiento de los átomos en el material se intensifica, dificultando el paso de los electrones. Sin embargo, en semiconductores, un aumento de temperatura puede aumentar la conductividad al liberar más electrones libres.
Conclusión
Los conductores eléctricos son esenciales para la transmisión de energía y el funcionamiento de una amplia variedad de dispositivos electrónicos. Entender su funcionamiento, las propiedades y los diferentes tipos de conductores puede ser útil no solo para estudiantes de ingeniería eléctrica, sino también para cualquier persona interesada en el campo de la electricidad.
Para saber más sobre los elementos de los circuitos eléctricos y otros aspectos de la electricidad, puedes consultar Fundación Endesa o leer más sobre conductores eléctricos.
Colomer: ¡Totalmente! A mí también me pasó algo similar, en una clase de tecnología decidimos hacer un robot y, por no prestar atención a los tipos de conductores, el pobre bicho nunca funcionó. ¡Fue un momento de risa y frustración, pero aprendí de eso! Este artículo es genial para recordar esos detalles que a veces pasamos por alto. Valoro mucho que ofrezcan información clara y útil.
¡Hola dabo! Me pareció muy interesante el artículo, sobre todo el diagrama que explica los diferentes tipos de conductores. Recuerdo que cuando estaba en la escuela, hicimos un proyecto de ciencia donde tuvimos que hacer un circuito eléctrico y fue un desastre porque no elegimos el conductor adecuado. Aprendí la lección a la mala, así que ahora siempre reviso las especificaciones antes de empezar cualquier proyecto. ¡Gracias por compartir información tan útil!
Saif eddine: ¡Hola dabo! Estoy totalmente de acuerdo contigo, el diagrama fue súper claro. Me trae recuerdos de cuando intenté hacer un mini tren eléctrico para una feria de ciencias. Quería usar alambre de cobre, pero terminé usando un cable de teléfono que resultó en un corto. Aprendí que no todos los conductores son iguales y eso me ayudó en proyectos posteriores. Así que, gracias por el artículo, siempre es bueno refrescar la memoria sobre estas cosas.