Diferencia entre circuito magnético y circuito eléctrico.

Diferencia entre circuito magnético y circuito eléctrico

En el fascinante mundo de la física y la ingeniería, los circuitos juegan un papel fundamental. Sin embargo, muchas veces se confunden dos conceptos clave: el circuito magnético y el circuito eléctrico. Ambos son esenciales para el funcionamiento de dispositivos que utilizamos a diario, pero operan bajo principios muy distintos. ¿Alguna vez te has preguntado cómo la electricidad se transforma en magnetismo y viceversa? Acompáñanos en este viaje para desentrañar las diferencias entre estos dos tipos de circuitos y descubre cómo influyen en la tecnología moderna, desde los motores hasta los transformadores. ¡Prepárate para electrizar tu mente con este conocimiento esencial!

En el fascinante mundo de la electricidad y el magnetismo, se encuentran dos conceptos fundamentales que son clave para entender su funcionamiento: el circuito magnético y el circuito eléctrico. A simple vista, podrían parecer similares, pero en realidad son dos conceptos completamente diferentes. Si alguna vez te has preguntado cuál es la diferencia entre ellos, ¡estás en el lugar correcto! En este artículo descubrirás las características de cada uno y cómo se complementan para hacer posible el funcionamiento de dispositivos electrónicos y sistemas eléctricos en nuestra vida cotidiana. Así que prepárate para adentrarte en el intrigante mundo de los circuitos magnéticos y eléctricos.

Un circuito se describe como un bucle de red a través del cual pasa una corriente eléctrica o un campo magnético. Los componentes principales del circuito incluyen: la fuente, la ruta de conducción y la carga. En otras palabras, cualquier circuito cerrado a través del cual fluye electricidad, flujo magnético, datos o señales se denomina circuito.

Según el tipo de cantidad (es decir, corriente eléctrica o flujo magnético) que fluye a través del bucle conductor cerrado, un circuito puede ser de los dos tipos siguientes:

  • Circuito electrico
  • Circuito Magnético

En este artículo, hablaremos sobre las diferencias que diferencian un circuito eléctrico de un circuito magnético. Además de esto, en este artículo se da una breve introducción a los circuitos eléctricos y al circuito magnético.

Diferencia entre circuito magnético y circuito eléctrico.>¿Qué es un circuito eléctrico?

Un circuito electrico se describe como una red eléctrica que conduce electricidad. Un circuito eléctrico se compone de: una fuente de energía eléctrica, como baterías, celdas, etc., que impulsa el funcionamiento de varios elementos del circuito, cables de conexión y cargas mecánicas o electrónicas, como lámparas, bombillas, ventiladores, etc.

Diferencia entre circuito magnético y circuito eléctrico.>Según la naturaleza de la corriente eléctrica que fluye a través del circuito eléctrico, se puede clasificar en las siguientes dos categorías:

  • circuito de CC – Es un circuito eléctrico que se alimenta con una fuente de corriente continua.
  • circuito de CA – Es un circuito eléctrico que se alimenta con una fuente de corriente alterna.

Dependiendo del tipo de conexión de circuito existente entre los diferentes componentes electrónicos en el circuito eléctrico, se puede subdividir en los siguientes tres tipos.

  • Circuito eléctrico en paralelo
  • Circuito eléctrico en serie
  • Combinación de circuitos en serie y paralelo

¿Qué es un circuito magnético?

Circuito Magnético se define como el camino conductor cerrado a través del cual se transporta el flujo magnético. El circuito magnético se compone de un núcleo altamente magnético como el acero dulce o el hierro. El núcleo magnético está enrollado por una bobina conductora, por lo que se genera un campo magnético alrededor de la bobina.

Diferencia entre circuito magnético y circuito eléctrico.>Los circuitos magnéticos encuentran una amplia gama de aplicaciones, como en el diseño de numerosos dispositivos electrónicos, a saber, generadores, motores, transformadores, etc. Según la disposición del circuito magnético, se puede clasificar en los dos tipos siguientes:

  • Circuito magnético paralelo
  • Circuito magnético en serie

Un circuito magnético paralelo se compone de más de un bucle magnético para el flujo de flujo magnético. Mientras que un circuito magnético en serie se compone de un solo bucle magnético para el flujo de flujo magnético.

Diferencia entre circuitos magnéticos y eléctricos.

La siguiente tabla enumera las principales diferencias entre un circuito eléctrico y un circuito magnético:

Criterios de diferencia
Circuito electrico
Circuito Magnético

Definición
Un circuito eléctrico se describe como un camino cerrado que transporta corriente eléctrica.
Un circuito magnético se describe como un camino cerrado que transporta flujo magnético.

Parámetros del circuito
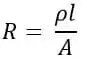
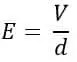
Un circuito eléctrico tiene varios parámetros de medición, a saber, voltaje, corriente, capacitancia, inductancia, resistencia, etc.
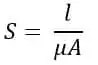
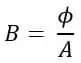
El circuito magnético tiene varios parámetros de medición, a saber, flujo magnético, reluctancia, fuerza magnetomotriz, etc.

lineas de campo
Las líneas de campo eléctrico no forman un circuito cerrado.
Las líneas de campo magnético forman un circuito cerrado que comienza en el polo norte y termina en el polo sur del imán.

Cantidad que fluye
La cantidad que fluye a través de un circuito eléctrico es la corriente eléctrica.
La cantidad que fluye a través de un circuito magnético es el flujo magnético.

Unidades
La unidad de corriente eléctrica es el amperio (A).
La unidad de flujo es weber (wb).

Expresión
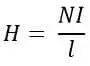
A continuación se da la ley de Ohm que describe la relación entre resistencia, corriente y voltaje en un circuito eléctrico.

Diferencia entre circuito magnético y circuito eléctrico.

>Diferencia entre circuito magnético y circuito eléctrico.>Diferencia entre circuito magnético y circuito eléctrico.
Se>Diferencia entre circuito magnético y circuito eléctrico.
Se>Diferencia entre circuito magnético y circuito eléctrico.>Diferencia entre circuito magnético y circuito eléctrico.>Diferencia entre circuito magnético y circuito eléctrico.>Diferencia entre circuito magnético y circuito eléctrico.>Diferencia entre circuito magnético y circuito eléctrico.>Diferencia entre circuito magnético y circuito eléctrico.>Diferencia entre circuito magnético y circuito eléctrico.>Diferencia entre circuito magnético y circuito eléctrico.>Conclusión

En conclusión, este artículo analiza las principales diferencias entre un circuito eléctrico y un circuito magnético en términos de varios factores, como la ley de Ohm, la intensidad del campo aplicado, la dirección del flujo de las líneas de campo, la caída, etc. Se utilizan campos eléctricos y magnéticos. ampliamente en la fabricación de varias máquinas y dispositivos eléctricos.

Error 403 The request cannot be completed because you have exceeded your quota. : quotaExceeded

[automatic_youtube_gallery type=»search» search=»Diferencia entre circuito magnético y circuito eléctrico.» limit=»1″]

Diferencia entre Circuito Magnético y Circuito Eléctrico

En el fascinante mundo de la física y la ingeniería, los circuitos juegan un papel fundamental. A menudo, se confunden dos conceptos clave: ​el circuito magnético ⁣y el‌ circuito eléctrico. Aunque ambos ‍son esenciales para⁣ el​ funcionamiento de dispositivos⁣ que usamos a diario,⁤ operan bajo principios muy ⁣distintos.

¿Qué es un ⁢Circuito Eléctrico?

Un circuito eléctrico se describe como ‍una red eléctrica que conduce electricidad. Está compuesto por:

  • Fuente de ‌energía: Como baterías‍ o celdas ‌que impulsan el funcionamiento de los ⁣componentes.
  • Cables de conexión: Que permiten​ la circulación de corriente entre los componentes.
  • Carga: Dispositivos que utilizan la electricidad, como lámparas o⁤ ventiladores.

Clasificación de Circuitos Eléctricos

Dependiendo del⁣ tipo‍ de corriente, ​hay dos clasificaciones principales:

  1. Circuito de CC: ‍ Funciona con corriente continua.
  2. Circuito de CA: Funciona con ⁤corriente alterna.

¿Qué es un Circuito Magnético?

Un circuito magnético se define ⁤como el​ camino cerrado a través del cual​ se‍ transporta el flujo magnético. Está constituido por:

  • Núcleo magnético: Generalmente de ⁢materiales como acero o hierro, que concentran el flujo magnético.
  • Bobina conductora: ⁢Enrollada alrededor del⁢ núcleo,‍ que genera el⁤ campo magnético.

Clasificación ⁣de Circuitos Magnéticos

Los circuitos magnéticos se pueden clasificar en:

  1. Circuito magnético en paralelo: ‍Constituido ⁤por más de‍ un bucle magnético.
  2. Circuito magnético en serie: Compuesto por ‍un único bucle ⁣magnético.

Diferencias Clave entre Circuitos Eléctricos y Magnéticos

Criterio Circuito ⁣Eléctrico Circuito Magnético
Definición Camino cerrado para el flujo ‍de corriente eléctrica. Camino​ cerrado para el flujo magnético.
Elementos Fuente‌ de energía, ⁢cables y cargas. Núcleo magnético y bobina conductora.
Movimiento Las cargas se mueven a lo largo del ⁤circuito. No hay movimiento de flujo, solo concentración del campo magnético.
Aplicaciones Lámparas, electrodomésticos,⁤ dispositivos electrónicos. Transformadores, ⁢motores, generadores.

Conclusión

Entender la diferencia entre un circuito magnético y un circuito eléctrico es vital para aprovechar al máximo la tecnología moderna. Desde motores hasta transformadores, ambos tipos de circuitos juegan roles complementarios en la ingeniería y la física.

Preguntas Frecuentes​ (FAQs)

¿Cuáles son ‌las principales aplicaciones de los circuitos eléctricos?

Los circuitos eléctricos son utilizados en una ⁤amplia gama de dispositivos, incluyendo⁤ bombillas, electrodomésticos y ⁤sistemas informáticos, donde la electricidad es necesaria para su funcionamiento.

¿Qué tipos de materiales se utilizan en circuitos magnéticos?

Los ‍circuitos magnéticos suelen utilizar materiales ferromagnéticos como el acero suave o el⁣ hierro, que ayudan⁢ a concentrar y dirigir el flujo magnético.

¿Cómo ⁢se relacionan los ⁤circuitos eléctricos y magnéticos?

Los circuitos eléctricos y magnéticos⁢ son ⁤interdependientes. Por ejemplo, en un generador, la energía mecánica se convierte en energía eléctrica a través de un circuito magnético,⁣ mientras que en motores, se convierte energía eléctrica en movimiento mecánico mediante‍ un‌ circuito magnético.

Para más información, puedes consultar este artículo sobre las diferencias entre circuitos magnéticos y eléctricos ​y profundizar en su funcionamiento.

5 comentarios en «Diferencia entre circuito magnético y circuito eléctrico.»

  1. Lanzinopk: ¡Sí, totalmente! Esa conexión entre lo eléctrico y lo magnético es simplemente increíble. Una vez, mientras intentaba reparar un viejo radio, me di cuenta del papel que juegan los circuitos magnéticos en la sintonización de las frecuencias. Al principio pensé que sólo era cuestión de electricidad, pero luego entendí que el campo magnético era el que realmente hacía el trabajo. ¡Qué locura! Me encanta que compartan estos temas, realmente me hace pensar en lo mucho que hay detrás de lo que a veces damos por sentado.

  2. ¡Muy interesante lo que mencionas! La verdad es que siempre he tenido curiosidad por esos temas. Recuerdo una vez en la clase de física cuando hicimos un experimento con bobinas y imanes, y me quedó clarísimo cómo funciona el circuito magnético. Me dio una nueva perspectiva sobre cómo la electricidad y el magnetismo están tan conectados. ¡Gracias por compartirlo!

  3. La diferencia entre circuito magnético y circuito eléctrico es fascinante, ya que ambos tienen su propia manera de funcionar. Mientras que un circuito eléctrico se basa en el flujo de electrones a través de conductores, el circuito magnético se centra en el flujo de líneas de campo magnético a través de materiales ferromagnéticos. Esto me hace reflexionar sobre cómo en el mundo de la física, los conceptos están interrelacionados, y entender esta diferencia nos ayuda a diseñar mejores dispositivos y sistemas. ¡Interesante tema!

  4. Comamala: ¡Totalmente de acuerdo! Es fascinante cómo se entrelazan esos conceptos. Recuerdo que una vez traté de hacer un pequeño motor eléctrico en casa y me topé con el tema del circuito magnético. La verdad es que no fue nada fácil, pero ver cómo la electricidad podía generar movimiento gracias a la interacción magnética fue asombroso. Me hizo apreciar mucho más la física detrás de estas cosas. ¡Gracias por compartir tus ideas!

Deja un comentario