Ecuación de par del motor de inducción trifásico: Descifrando la fuerza detrás del movimiento
En el fascinante mundo de la ingeniería eléctrica, los motores de inducción trifásicos se erigen como auténticos titanes de la industria. Su capacidad para transformar energía eléctrica en movimiento mecánico es fundamental en una amplia gama de aplicaciones, desde pequeñas herramientas eléctricas hasta grandes maquinaria industrial. Pero, ¿qué es lo que realmente impulsa su funcionamiento? En este artículo, desglosaremos la ecuación de par del motor de inducción trifásico, una clave fundamental para entender cómo se genera la fuerza que impulsa nuestras vidas cotidianas, así como su relevancia en el diseño y la optimización de estos motores. Prepárate para adentrarte en un viaje técnico que iluminará los secretos de una de las invenciones más emblemáticas de la era moderna. ¡Comencemos!
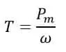
¿Te has preguntado cómo funciona el motor de inducción trifásico? El corazón de esta maquinaria se encuentra en su ecuación de par, la cual desencadena su potencia y rendimiento. En este artículo, exploraremos a fondo este fascinante concepto, desmitificando su complejidad para que puedas comprender cómo se logra la transformación de energía en este tipo de motores. ¡Prepárate para descubrir los secretos detrás del funcionamiento de los motores de inducción trifásicos y cómo su ecuación de par es clave en este proceso!
En este artículo, derivaremos la ecuación de torque del motor de inducción trifásico. El par es la capacidad de giro de un motor de inducción.
Cuando el estator del motor de inducción trifásico recibe una fuente de alimentación trifásica, produce un campo magnético giratorio en el entrehierro del motor de inducción. El entrehierro del motor es el espacio o espacio libre entre el estator y el rotor. El flujo producido por el estator viaja a través del entrehierro y se une al conductor del rotor. El flujo de enlace al rotor produce un voltaje en el devanado del rotor.
¿Este voltaje solo puede hacer girar el motor? No
El par giratorio se produce solo cuando la corriente fluye en el rotor. Si recuerda la construcción de un motor de inducción de jaula de ardilla, el devanado del rotor está conectado en estrella y cortocircuitado en los anillos de los extremos. En el caso del motor de inducción de anillos deslizantes, el circuito del rotor está conectado a una resistencia externa para obtener un alto par de arranque. En ambos tipos de motores de inducción, por lo tanto, el circuito del rotor forma un circuito cerrado. El voltaje producido en el rotor es la fuerza impulsora de la corriente del rotor y el rotor en cortocircuito proporciona un camino cerrado a la corriente eléctrica. De esta manera, la corriente fluye en la corriente del rotor.
La corriente del rotor que fluye en el devanado del rotor interactúa con el flujo del entrehierro. Como resultado, el par se produce debido a la interacción entre el flujo y la corriente del rotor. La corriente del rotor depende del voltaje producido en el rotor y del factor de potencia del circuito del rotor. Así, podemos decir que el par producido en el rotor depende del flujo, la corriente del rotor y su factor de potencia.
Podemos expresar la relación del par con el flujo, la corriente del rotor y su factor de potencia siguiendo expresiones matemáticas.
>El flujo producido en el entrehierro depende de la FEM del estator (E1). El estator EMF es el único responsable de la producción de flujo magnético. Por lo tanto, podemos decir que el flujo es proporcional a la EMF del estator.
>La relación de transformación de voltaje (K) del motor de inducción es la relación entre el voltaje del rotor y el voltaje del estator. Podemos expresar la relación entre la relación de transformación de voltaje (K), la FEM del estator y la FEM del rotor mediante la siguiente relación matemática.
>El voltaje inducido por el rotor (E) depende de la velocidad a la que funciona el motor. El deslizamiento del motor muestra la diferencia entre la velocidad síncrona (Ns) y la velocidad real del rotor (N). El voltaje inducido en el rotor (E2) depende de la diferencia entre la velocidad síncrona y la velocidad real o deslizamiento(s) del motor.
Por lo tanto, el voltaje del rotor en condiciones de funcionamiento del motor es;
>La corriente del rotor (I2) del motor depende de la tensión del rotor y la impedancia del rotor. El devanado del rotor tiene resistencia y reactancia. La resistencia del rotor es fija para un motor en particular, sin embargo, la reactancia del rotor depende de la frecuencia. La frecuencia del rotor se reduce con el aumento de la velocidad, en otras palabras, podemos decir que la reactancia del rotor depende del deslizamiento.
Por lo tanto, la reactancia del rotor en condiciones de funcionamiento del motor es;
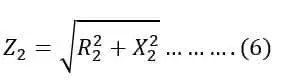
>Ahora, podemos calcular la impedancia del rotor (Z2),
>La corriente del rotor (I2) se puede calcular aplicando la ley de ohm,
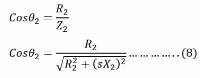
>El factor de potencia del circuito del rotor es la relación entre la resistencia del rotor y la impedancia del rotor. El factor de potencia del circuito del rotor es;
>Poniendo el valor de la corriente del rotor I2flujo y factor de potencia cosθ2 en la ecuación de torsión (1), obtenemos,
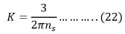
>Ahora, calcularemos el valor de la constante de proporcionalidad (K).
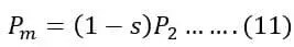
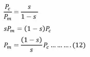
Deje que la potencia de entrada del rotor, la pérdida de cobre del rotor y la salida de potencia mecánica del rotor sean P2, Pc y Pmetro respectivamente.
La pérdida de cobre del rotor es;
>Salida mecánica del rotor
>La relación de PC arribametro se puede calcular dividiendo las ecuaciones (10) y (11),
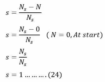
>La pérdida de cobre en el circuito del rotor es;
Poniendo>
Poniendo el valor de la pérdida de cobre (PC) en la ecuación (12) de la ecuación (14), obtenemos
>Sabemos,
>Por lo tanto,
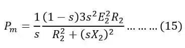
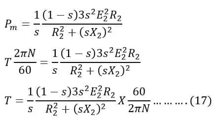
>Poniendo el valor de Pmetro de la ecuación (16) en la ecuación (15), obtenemos;
>El deslizamiento de un motor de inducción se expresa por ;
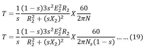
>Poniendo el valor de N en la ecuación (17), obtenemos;
>La velocidad síncrona del motor (ns) en rps en ns se puede dar mediante la siguiente fórmula.
>Poner valor de Ns/60 en la ecuación (19), obtenemos;
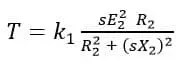
>Comparando las ecuaciones (9) y (21), obtenemos
>Por lo tanto, la ecuación de par del motor de inducción es;
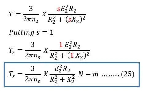
>Ecuación del par de arranque
Cuando un motor de inducción arranca, el deslizamiento del motor es 1.
>Por tanto, la ecuación de par de arranque se puede obtener simplemente poniendo el valor de s = 1 en la ecuación de par (23) del motor de inducción trifásico,
La ecuación del par de arranque del motor de inducción es;
>Ecuación de Torque Máximo
El par máximo en el motor de inducción ocurre cuando la resistencia del rotor (R2) es igual al producto del deslizamiento (s) y la reactancia del rotor (X2).
>El (los) deslizamiento (s) en el par máximo que ocurre es:
>Poniendo el valor del deslizamiento de la ecuación (27) en la ecuación de torque (23), obtenemos;
>De la ecuación anterior, está claro que si agregamos resistencia externa al circuito del rotor, es posible obtener el par máximo en el mayor deslizamiento. La resistencia se corta gradualmente con la aceleración del motor y finalmente, después de la aceleración del motor hasta su velocidad nominal, la resistencia del rotor se corta totalmente. Solo la resistencia del circuito del rotor permanece en el circuito, similar al motor de inducción de jaula de ardilla.
De la ecuación anterior (28), podemos concluir lo siguiente.
Problemas Resueltos de Torque del Motor de Inducción
Problema 1: Un motor de inducción trifásico de anillos rozantes con un rotor conectado en estrella tiene una fem inducida de 120 voltios entre los anillos rozantes en reposo con voltaje normal aplicado al estator. El devanado del rotor tiene una resistencia por fase de 0,3 ohmios y una reactancia de fuga en parada por fase de 1,5 ohmios.
Calcule la corriente de deslizamiento y del rotor por fase cuando el rotor está desarrollando un par máximo.
Solución:
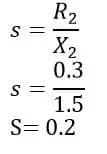
Para calcular el Deslizamiento debemos conocer la relación entre resistencia y reactancia,
Como sabemos, el par de torsión de un rotor en condiciones de funcionamiento es
>La condición de par máximo se puede obtener derivando la expresión anterior con respecto al deslizamiento s y luego de derivar la ecuación anterior obtendremos,
R2 = sX2
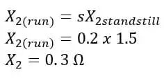
>y también sabemos que, para un deslizamiento s, la reactancia del rotor será s veces la reactancia en reposo.
>
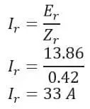
Sabemos que, para un deslizamiento s, la fem inducida por el rotor será s veces la fem inducida en reposo.
>Y, por lo tanto, la corriente del rotor por fase se derivará como
>Por tanto, el deslizamiento es de 0,2 y la corriente del rotor por fase es de 33 A.
Problema 2: Una máquina de inducción trifásica de 460 V, 100 HP, 60 Hz y 4 polos proporciona una potencia de salida nominal con un deslizamiento de 0,05. Determinar el par nominal.
>Dónde,
p = poder
ω = Velocidad angular
T = Par
>Dónde,
Ns = Velocidad síncrona
f = frecuencia
P = Número de polos
>Y la velocidad del rotor/nominal se calculará como,
>Ahora de la ecuación (1a)
>Y por lo tanto, el par nominal del motor es,
T = 416,6 N·m
[automatic_youtube_gallery type=»search» search=»Ecuación de par del motor de inducción trifásico» limit=»1″]
Ecuación de Par del Motor de Inducción Trifásico
Introducción
En el fascinante mundo de la ingeniería eléctrica, los motores de inducción trifásicos se erigen como auténticos titanes de la industria. Su capacidad para transformar energía eléctrica en movimiento mecánico es fundamental en una amplia gama de aplicaciones, desde pequeñas herramientas eléctricas hasta grandes maquinarias industriales. En este artículo, desglosaremos la ecuación de par del motor de inducción trifásico, una clave fundamental para entender cómo se genera la fuerza que impulsa nuestras vidas cotidianas.
Fundamentos del Motor de Inducción Trifásico
El motor de inducción trifásico consiste en un estator y un rotor. Cuando el estator recibe una fuente de alimentación trifásica, genera un campo magnético giratorio en el entrehierro del motor. Este campo interactúa con el rotor, creando un par giratorio que pone en movimiento la maquinaria conectada.
Ecuación de Par
La ecuación de par se puede expresar matemáticamente por la relación entre el flujo magnético, la corriente en el rotor y el factor de potencia. La ecuación básica puede ser representada como:
T = K × Φ × I2 × cos(θ2)
- T: Torque (Par)
- K: Constante de proporcionalidad
- Φ: Flujo magnético
- I2: Corriente del rotor
- θ2: Ángulo de fase de la corriente
Esta ecuación muestra que el par es directamente proporcional al flujo, a la corriente del rotor y al coseno del ángulo de fase.
Derivación de la Ecuación de Par
Para entender cómo se manifiesta el par en un motor de inducción, consideremos:
- El flujo magnético producido en el entrehierro depende de la fuerza electromotriz (FEM) del estator (E1).
- El voltaje inducido en el rotor (E2) depende del deslizamiento entre la velocidad síncrona y la velocidad real del rotor.
- La corriente del rotor (I2) está determinada por la relación entre el voltaje y la impedancia del rotor.
Ecuación del Par de Arranque
Cuando el motor arranca, el deslizamiento es 1, lo que simplifica la ecuación del par a:
T_start = K × Φ × I2_max
Esto implica que el par de arranque se maximiza con el flujo y la corriente del rotor al inicio.
Ecuación de Torque Máximo
El par máximo se alcanza cuando la resistencia del rotor es igual al producto del deslizamiento y la reactancia. Este fenómeno puede ser aprovechado en aplicaciones industriales donde se requiere un alto par de arranque o durante la aceleración.
Aplicaciones Prácticas
Los motores de inducción trifásicos son ampliamente utilizados en:
- Bombas
- Compresores
- Conveyor belts
- Maquinaria pesada
Preguntas Frecuentes (FAQs)
¿Qué es un motor de inducción trifásico?
Un motor de inducción trifásico es un tipo de motor eléctrico que utiliza un sistema de energía trifásica para funcionar. Su diseño permite una conversión eficiente de energía eléctrica a energía mecánica mediante la interacción de un campo magnético y el rotor.
¿Cuál es la importancia del par en un motor de inducción?
El par es crucial porque determina la capacidad del motor para realizar trabajo y mover cargas. Un par elevado es necesario para iniciar el movimiento de cargas pesadas y para superar la inercia en diversas aplicaciones.
¿Cómo se puede optimizar el par en un motor de inducción?
Se puede optimizar el par ajustando la resistencia del rotor, modificando el diseño del motor y asegurándose de que la alimentación eléctrica sea adecuada para las demandas del motor.
Montesdeoca: ¡Qué bien que lo mencionan! A mí me pasó algo parecido cuando tuve que calcular el par para un motor que usaba en un proyecto de modelismo. Me sentí perdido al principio, pero luego, tras leer un par de artículos y hacer algunos experimentos, logré comprender cómo esos cálculos impactaban en el rendimiento del motor. Es alucinante ver cómo un simple ajuste puede hacer que el motor funcione mucho mejor. ¡Definitivamente me he vuelto fan de este tema!
¡Totalmente de acuerdo, carril! Este tema del par en motores de inducción trifásicos me recuerda cuando instalé uno en mi taller hace unos años. Al principio no entendía bien cómo funcionaba todo, pero después de estudiar un poco, me di cuenta de lo crucial que es la ecuación de par para optimizar su rendimiento. ¡Es una locura cómo unas pequeñas variaciones pueden cambiar todo!
It seems like your message got cut off. Could you please provide more details about what you would like to write? Are you looking for a story, poem, or something else? Let me know how I can help!
Salvia: ¡Exacto, carril! A mí me pasó algo similar cuando monté un motor de esos en mi casa para un proyecto de bricolaje. Al principio, solo veía números y fórmulas raras, pero ya con un poco de práctica y de leer sobre la ecuación de par, entendí cómo se relaciona todo. Es impresionante cómo al ajustar algunos parámetros, el rendimiento mejora un montón. Definitivamente, es un tema que merece más atención.