Leyes de inducción electromagnética de Faraday

Leyes de inducción electromagnética de Faraday: El motor oculto de la tecnología moderna

En el vasto universo de la física, pocos conceptos han revolucionado nuestra comprensión del electromagnetismo como lo han hecho las leyes de inducción electromagnética de Faraday. Estas leyes, formuladas por el brillante científico inglés Michael Faraday en el siglo XIX, no solo sentaron las bases para una nueva era de innovación tecnológica, sino que también desvelaron los secretos detrás de fenómenos cotidianos que son fundamentales en nuestras vidas, desde la generación de electricidad en nuestras casas hasta el funcionamiento de dispositivos electrónicos. Sumérgete con nosotros en el fascinante mundo de la inducción electromagnética y descubre cómo estos principios, aparentemente abstractos, dan vida a las máquinas y herramientas que damos por sentado cada día. ¡Prepárate para explorar el motor oculto que impulsa la modernidad!

Descubre el fascinante mundo de la inducción electromagnética de Faraday y cómo sus leyes revolucionaron nuestro entendimiento de la electricidad y el magnetismo. Desde las bases teóricas hasta ejemplos prácticos, este artículo te sumergirá en el increíble legado de Michael Faraday y cómo sus descubrimientos siguen impactando en nuestra vida diaria. ¡Prepárate para un viaje alucinante por las leyes de la inducción electromagnética más importantes de todos los tiempos!

Ley de inducción electromagnética de Faraday muestra la relación entre el campo magnético, la corriente eléctrica y una fuerza electromotriz (EMF).

En la naturaleza, hay dos fenómenos mutuamente dependientes a saber Electricidad y magnetismo. El electromagnetismo es la rama de la física que se ocupa del estudio de los efectos de la electricidad y el magnetismo, y su dependencia mutua.

En la actualidad, es un hecho bien conocido que un campo magnético cambiante puede producir una FEM (Fuerza Electromotriz) y una carga en movimiento (o corriente eléctrica) puede producir un campo magnético. Sin embargo, estos conceptos son el resultado de varios experimentos realizados por muchos físicos e ingenieros.

Uno de ellos es Michael Faraday quien desarrolló dos leyes básicas de inducción electromagnética en 1831. Estas leyes se conocen popularmente como Primera ley de Faraday y segunda ley de inducción electromagnética de Faraday. Estas dos leyes explican cómo un campo magnético cambiante produce un EMF en un conductor en movimiento.

¿Qué es la inducción electromagnética?

Cuando hay un cambio en el campo magnético ligado a un conductor, se induce una fuerza electromotriz (EMF) en el conductor, este fenómeno se conoce como inducción electromagnética. La inducción electromagnética es el principio más fundamental sobre el que funcionan muchos dispositivos eléctricos de hoy en día, como motores, generadores, instrumentos de medición, etc.

Ley de inducción electromagnética de Faraday

La primera ley de inducción electromagnética de Faraday describe la inducción de fuerza electromotriz en un conductor y la segunda ley de Faraday da la magnitud de la fuerza electromotriz inducida en el conductor.

dos físicos Michael Faraday y José Enrique realizó una larga serie de experimentos. A partir de las observaciones de estos experimentos, Faraday describió que cuando un campo magnético cambiante se une a un conductor, se induce una fem en el conductor.

Primera Ley de Faraday

primera ley de faraday de la inducción electromagnética establece que “Cada vez que cambia un campo magnético vinculado a un conductor, se induce una fuerza electromotriz (fem) en el conductor..”

Si el circuito del conductor está cerrado, una corriente, llamada corriente inducida, comienza a fluir a través del conductor.

El cambio en el campo magnético ligado al conductor se puede traer de dos maneras como sigue:

  • Moviendo el conductor en relación con el campo magnético estacionario.
  • Moviendo el campo magnético mientras el conductor se mantiene estacionario.

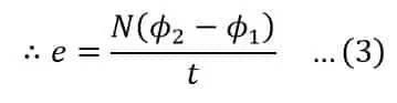
Segunda Ley de Faraday

segunda ley de faraday Establece que «la magnitud de la fem inducida en el conductor es igual a la tasa de cambio del flujo magnético vinculado al conductor.”

Derivación de la Ley de Faraday

Leyes de inducción electromagnética de Faraday>Considere una bobina que tiene N conductores y un imán se mueve hacia la bobina, entonces

En la posición inicial, el enlace de flujo con la bobina es

Leyes de inducción electromagnética de Faraday>En la condición final, el enlace de flujo con la bobina es

Leyes de inducción electromagnética de FaradayPor>

Ahora, la tasa de cambio de este enlace de flujo es

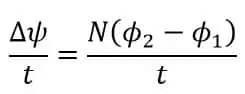
Leyes de inducción electromagnética de Faraday>Según la segunda ley de inducción electromagnética de Faraday, la FEM inducida en el conductor es igual a la tasa de cambio del enlace de flujo.

Leyes de inducción electromagnética de Faraday>En forma diferencial,

Leyes de inducción electromagnética de Faraday>Dónde, 𝜙 =𝜙2-𝜙1el cambio total en el flujo magnético.

Aplicaciones de las Leyes de Inducción Electromagnética de Faraday

Las leyes de Faraday son la ley más fundamental en el electromagnetismo. Estas leyes se usan ampliamente en muchas áreas de la ingeniería eléctrica, como máquinas eléctricas, instrumentos de medición, en medicina para el diagnóstico de enfermedades, etc. Algunas aplicaciones comunes de las leyes de Faraday son:

  • El transformador funciona según el principio de inducción electromagnética. Por tanto, la ley de Faraday puede ser para su análisis.
  • La producción de electricidad por un generador también se basa en las leyes de inducción electromagnética de Faraday.
  • Las leyes de Faraday también son la base del funcionamiento de muchos otros aparatos como cocinas de inducción, caudalímetros electromagnéticos, guitarras eléctricas, violines eléctricos, etc.

Problemas Resueltos sobre las Leyes de Inducción Electromagnética de Faraday

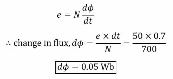
Una bobina que tiene 700 vueltas desarrolla un voltaje inducido promedio de 50 V. ¿Cuál debe ser el cambio en el flujo magnético para producir tal voltaje si el intervalo de tiempo para este cambio es de 0.7 segundos?

Datos dados:

Leyes de inducción electromagnética de Faraday>Ahora, por la ley de Faraday, obtenemos,

Leyes de inducción electromagnética de Faraday>El flujo magnético vinculado con una bobina que tiene 250 vueltas cambia de 1,4 Wb a 2 Wb en 0,45 segundos. Calcule la fem inducida en la bobina.

Dados los datos,

Leyes de inducción electromagnética de Faraday>Ahora, de acuerdo con la ley de Faraday, tenemos,

Leyes de inducción electromagnética de Faraday>

Error 403 The request cannot be completed because you have exceeded your quota. : quotaExceeded

[automatic_youtube_gallery type=»search» search=»Leyes de inducción electromagnética de Faraday» limit=»1″]

Leyes de Inducción ⁢Electromagnética ⁤de Faraday

El motor oculto de la tecnología moderna

¿Qué es la Inducción Electromagnética?

La inducción electromagnética es un ⁤fenómeno físico ⁣donde un cambio en el campo magnético circundante a un conductor ​induce una fuerza electromotriz (FEM) en dicho conductor. Este concepto fue formulado⁤ por el científico inglés Michael ‍Faraday⁣ en el ‍siglo XIX y ha sido fundamental en el desarrollo de la electricidad moderna.

Leyes⁣ de Inducción Electromagnética de Faraday

Faraday estableció ​dos leyes básicas que describen cómo un campo magnético‍ cambiante puede inducir una corriente eléctrica en un conductor.

  1. Primera Ley de Faraday

    Esta ley indica que «cada vez que cambia un campo magnético vinculado a un conductor, se induce una fuerza electromotriz (fem) en el conductor». Si el ⁤circuito está cerrado, ‍una corriente, llamada corriente inducida, comenzará a fluir a través del conductor.

  2. Segunda Ley de Faraday

    La segunda ley afirma ‌que «la magnitud de la fem inducida es igual a ​la⁢ tasa de ‍cambio del flujo magnético vinculado ‍al conductor». Esto se expresa matemáticamente‌ como:

    EMF = – dΦ/dt,⁤ donde ‍Φ es el flujo⁣ magnético que atraviesa el circuito.

Conceptos Clave ⁣en la Inducción Electromagnética

La inducción electromagnética es la base para el funcionamiento de diversos‌ dispositivos eléctricos modernos, incluyendo:

  • Generadores eléctricos
  • Transformadores
  • Motores eléctricos
  • Instrumentos de medición

El principio ​es simple: un campo magnético cambiante puede‍ generar electricidad, y esto ⁤ha llevado a innovaciones tecnológicas que han transformado nuestras ‌vidas.

Aplicaciones Prácticas

La inducción electromagnética se utiliza en⁢ muchos⁣ aspectos de la vida diaria. Algunos ​ejemplos incluyen:

  1. Generación de Electricidad:⁣ Las plantas de energía utilizan generadores que funcionan según las leyes de Faraday.
  2. Transformadores: Se utilizan para cambiar los niveles ​de voltaje en sistemas eléctricos.
  3. Electrodomésticos: Muchos dispositivos utilizan motores eléctricos basados en ‌principios de inducción.

Preguntas Frecuentes

¿Quién fue Michael Faraday?

Michael‍ Faraday ⁢fue un reconocido físico ​y químico inglés⁢ que realizó importantes contribuciones a la comprensión del electromagnetismo y la electroquímica. Sus investigaciones en la inducción electromagnética sentaron las bases para el desarrollo de la tecnología eléctrica moderna.

¿Por qué son importantes las leyes de Faraday?

Las leyes de Faraday ⁤son esenciales porque explican cómo se puede generar electricidad de manera eficiente y controlada, lo que ha permitido el avance de la tecnología eléctrica y la energía moderna.

¿Cómo se aplica la inducción electromagnética ⁤en la vida diaria?

La inducción electromagnética está en el corazón de numerosos dispositivos que⁣ utilizamos diariamente, incluyendo computadoras, electrodomésticos, y sistemas de transporte eléctrico, ​ilustrando su importancia en el funcionamiento de la sociedad moderna.

3 comentarios en «Leyes de inducción electromagnética de Faraday»

  1. ¡Exacto, erdociain! A mí también me pasaba algo similar, recuerdo que en clases de física me sentía como un mago cuando entendía cómo funcionaba eso de la inducción. Hice un proyecto una vez donde vinculé un generador de manivela y ¡wow!, ver cómo la energía se generaba al girar la manivela fue una sensación increíble. Me encantó ver en acción lo que aprendí de Faraday, es impresionante cómo estos conceptos nos rodean y son tan fundamentales en nuestra vida diaria.

  2. Flavius.: ¡Qué chévere lo que cuentas, monsonU! Yo también tengo una anécdota relacionada con eso. En un taller de física, hicimos un experimento con bobinas y un imán, y fue alucinante ver cómo la luz se encendía al mover el imán cerca de la bobina. Me sentí como un científico loco y me di cuenta de lo poderoso que es el electromagnetismo. Es fascinante cómo las leyes de Faraday se manifiestan en cosas tan cotidianas, ¡me encanta!

  3. ¡Totalmente de acuerdo! Las leyes de inducción de Faraday son una maravilla, me acuerdo de cuando las aprendí en la uni, me voló la cabeza cómo algo tan simple como un campo magnético puede generar electricidad. Fue una experiencia tan interesante que hasta hice un experimento casero donde movía un imán por un alambre y podía ver la corriente fluir. ¡Qué locura!

Deja un comentario