Prueba de circuito abierto y prueba de cortocircuito en transformador (SC/OC)
En el fascinante mundo de la ingeniería eléctrica, los transformadores juegan un papel crucial en la transmisión y distribución de energía. Sin embargo, para garantizar su funcionamiento óptimo, es fundamental comprender a fondo su comportamiento ante diferentes condiciones de operación. Las pruebas de circuito abierto y cortocircuito, conocidas comúnmente como pruebas SC/OC, son herramientas esenciales que permiten a los ingenieros evaluar la eficiencia y el rendimiento de estos dispositivos. En este artículo, desglosaremos estos procedimientos, explorando su importancia y cómo influyen en la fiabilidad de los sistemas eléctricos modernos. ¡Acompáñanos en este recorrido técnico que ilumina los secretos detrás del diseño y la operación de los transformadores!
«Descubre cómo funcionan las pruebas de circuito abierto y cortocircuito en transformadores, dos pruebas esenciales para garantizar su correcto funcionamiento. Aprende sobre los conceptos clave, su importancia y cómo se llevan a cabo estas pruebas fundamentales en el artículo a continuación.»
Principalmente dos pruebas realizadas al transformador eléctrico que son circuito abierto otro prueba de cortocircuito del transformador también conocida como prueba SC y OC.
Prueba de circuito abierto del transformador
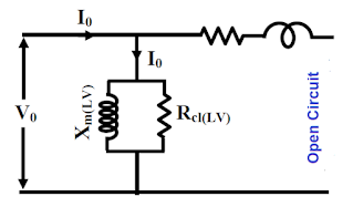
En el diagrama de conexión, el voltímetro, el amperímetro y el vatímetro están conectados en el lado de bajo voltaje del transformador y el lado de alto voltaje se deja en circuito abierto.
El amperímetro registra la corriente sin carga o la corriente de excitación. Es decir, dado que la corriente sin carga es pequeña, la caída de la impedancia de fuga primaria es insignificante. el voltaje aplicado V1 es igual a la FEM inducida V1′.
De hecho, la pérdida óhmica durante la prueba de circuito abierto es insignificante en comparación con las pérdidas normales del núcleo. por lo tanto, la lectura del vatímetro puede considerarse igual a las pérdidas del núcleo.
Los parámetros se obtienen de la prueba OC y el diagrama de circuito equivalente
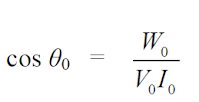
Cálculos de pruebas de circuito abierto:
Cálculo del factor de potencia sin carga cos θ =
El propósito de la prueba es averiguar las pérdidas en los parámetros del transformador y del circuito equivalente. En la prueba de cortocircuito del transformador, se cortocircuita el lado de baja tensión del transformador y se conectan el amperímetro, el voltímetro y el vatímetro en el lado de alta tensión. El voltaje aplicado al lado HV se ajusta mediante un autotransformador.
En el lado primario del transformador, mmf es casi igual a la mmf secundaria, por lo tanto, la corriente nominal en el primario que es el devanado HV hace que fluya la corriente nominal en el secundario que es el devanado LV.
Los parámetros se obtienen de la prueba SC y el diagrama de circuito equivalente
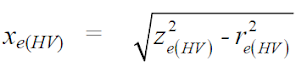
cálculos de pruebas SC:
Resistencia equivalente referida al lado HV re (HV)
>Impedancia equivalente ref. al lado HV ze(HV)
>Reactancia de fuga equivalente ref. al lado HV xe (HV)
>Diferencia>
Categorías Transformador
[automatic_youtube_gallery type=»search» search=»Prueba de circuito abierto y prueba de cortocircuito en transformador (SC/OC)» limit=»1″]
Prueba de Circuito Abierto y Cortocircuito en Transformadores (SC/OC)
En el fascinante mundo de la ingeniería eléctrica, los transformadores juegan un papel crucial en la transmisión y distribución de energía. Para garantizar su funcionamiento óptimo, es fundamental comprender a fondo su comportamiento ante diferentes condiciones de operación. Las pruebas de circuito abierto y cortocircuito, comúnmente conocidas como pruebas SC/OC, son herramientas esenciales que permiten a los ingenieros evaluar la eficiencia y el rendimiento de estos dispositivos.
Importancia de las Pruebas SC/OC
El objetivo principal de estas pruebas es determinar los parámetros del circuito equivalente, la regulación de tensión y la eficiencia de los transformadores mono/trifásicos. La potencia requerida durante la prueba es equivalente a las pérdidas de potencia que se producen en el transformador trifásico. Estas pruebas ayudan a identificar el rendimiento y la confiabilidad del transformador en condiciones de operación normales.
Prueba de Circuito Abierto (OC)
La prueba de circuito abierto se utiliza para medir las pérdidas en el núcleo del transformador y para determinar la impedance en vacío.
Procedimiento de la Prueba de Circuito Abierto
- Se conecta un voltímetro, un amperímetro y un vatímetro en el lado de bajo voltaje del transformador.
- El lado de alto voltaje permanece abierto.
- Se aplica un voltaje de frecuencia nominal al lado primario del transformador, el lado de bajo voltaje.
- Se ajusta el voltaje hasta que el voltímetro registre el voltaje nominal del devanado de bajo voltaje (LV).
- Se registran todas las lecturas del medidor:
- El amperímetro registra la corriente sin carga, conocida como corriente de excitación.
- La potencia de entrada medida por el vatímetro refleja las pérdidas en el núcleo.
En esta prueba, dado que la corriente sin carga es pequeña, la caída de la impedancia de fuga primaria es insignificante, lo que permite que el voltaje aplicado sea prácticamente igual a la fuerza electromotriz (FEM) inducida.
Prueba de Cortocircuito (SC)
La prueba de cortocircuito se utiliza para determinar las pérdidas resistivas y la impedancia total del transformador bajo carga.
Procedimiento de la Prueba de Cortocircuito
- Se conecta un voltímetro, un amperímetro y un vatímetro en el lado de alto voltaje del transformador.
- Se crea un cortocircuito en el lado de bajo voltaje.
- Se aplica un voltaje reducido hasta que la corriente alcance un valor nominal especificado.
- Se registran las lecturas de potencia y de corriente para analizar las pérdidas en el corto circuito.
Esta prueba proporciona información valiosa sobre la resistencia y la reactancia del transformador, fundamentales para su correcto diseño y operación.
Conclusión
Las pruebas de circuito abierto y cortocircuito son esenciales para la correcta evaluación y operación de los transformadores. Estas pruebas no solo aseguran la eficiencia energética, sino que también garantizan la fiabilidad y el rendimiento a largo plazo de los sistemas eléctricos modernos.
Preguntas Frecuentes (FAQs)
¿Qué se mide en la prueba de circuito abierto?
En la prueba de circuito abierto se miden las pérdidas en el núcleo y se determina la impedancia en vacío del transformador. Esto es fundamental para calcular el comportamiento del transformador bajo condiciones de no carga.
¿Qué datos se obtienen de la prueba de cortocircuito?
De la prueba de cortocircuito se obtienen datos sobre las pérdidas resistivas y la impedancia total del transformador. Estos datos son esenciales para el análisis del transformador bajo condiciones de carga.
¿Por qué es importante realizar estas pruebas?
Estas pruebas son cruciales porque ayudan a los ingenieros a evaluar el rendimiento de un transformador, asegurando que funcione dentro de sus parámetros óptimos y evitando fallos operativos en el futuro.
Para más información sobre el ensayo de cortocircuito, puedes visitar Wikipedia[[1]]y para detalles sobre el ensayo de circuito abierto puedes consultar Prezi[[2]].






