¿Qué es el valor máximo, el valor medio y el valor RMS?

¿Te has preguntado alguna vez qué significan términos como valor máximo, valor medio y valor RMS en el mundo de la electricidad y la electrónica? Estos conceptos no solo son esenciales para ingenieros y técnicos, sino que también se utilizan en nuestra vida diaria, desde el funcionamiento de nuestros dispositivos electrónicos hasta la calidad del sonido que escuchamos en nuestros altavoces. En este artículo, desglosaremos de manera sencilla y clara cada uno de estos términos, explorando sus diferencias, aplicaciones y la importancia que tienen en el análisis de señales y corrientes. ¡Acompáñanos en este fascinante viaje hacia el entendimiento de estas magnitudes que dan forma a nuestra realidad tecnológica!

¿Alguna vez te has preguntado qué significan los términos «valor máximo», «valor medio» y «valor RMS»? Estas tres medidas son fundamentales en diversos campos como la electricidad, la física y las matemáticas. Entender qué representan y cómo se calculan es esencial para comprender fenómenos y cálculos relacionados. En este artículo, exploraremos en detalle cada uno de estos conceptos y su importancia en distintas áreas de estudio. ¡Prepárate para descubrir todo lo que necesitas saber sobre el valor máximo, el valor medio y el valor RMS!

Valor pico

La forma de onda sinusoidal comienza desde cero, alcanza el valor máximo y vuelve a bajar a cero en un medio ciclo positivo. En el siguiente medio ciclo negativo, la forma de onda pasa por un valor máximo negativo y desciende hasta el valor cero. Así, en un ciclo completo, la forma de onda alcanza un valor máximo positivo a los 90 grados y un valor máximo negativo a los 270 grados.

¿Qué es el valor máximo, el valor medio y el valor RMS?>

El valor máximo alcanzado por una forma de onda alterna durante un ciclo se conoce como su valor pico. El valor pico también se denomina valor de cresta. El valor máximo de la tensión alterna simétrica y la forma de onda de corriente también se puede determinar midiendo el valor pico a pico de la forma de onda.

¿Qué es el valor máximo, el valor medio y el valor RMS?>

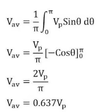
Valor promedio

La forma de onda sinusoidal tiene una magnitud diferente de voltaje o corriente en los diferentes instantes de la forma de onda. La magnitud de la corriente o el voltaje en un instante particular se denomina valor instantáneo de la forma de onda. El promedio de todos los valores instantáneos de una tensión y corriente alterna durante un ciclo completo se conoce como valor promedio.

Para la forma de onda sinusoidal simétrica, el semiciclo positivo es simétrico al semiciclo negativo. Por lo tanto, el valor promedio de un ciclo completo es cero. Sin embargo, el valor medio se calcula sin tener en cuenta los signos. Por lo tanto, solo se considera un medio ciclo positivo para determinar el valor promedio de la forma de onda alterna.

¿Qué es el valor máximo, el valor medio y el valor RMS?>

En el diagrama anterior, sean i1, i2, i3…….. en las ordenadas medias.

El valor promedio (Iav) de la forma de onda sinusoidal,
= Valor medio de las ordenadas medias

¿Qué es el valor máximo, el valor medio y el valor RMS?>Derivación de la fórmula del valor promedio de la forma de onda sinusoidal

El valor promedio de la forma de onda sinusoidal se obtiene sumando valores instantáneos de voltaje o corriente durante medio ciclo solamente.

¿Qué es el valor máximo, el valor medio y el valor RMS?>El valor pico de la tensión sinusoidal es de 300 voltios, el valor medio será;
Vmedia = 0,637 x 300
VAV =191,1 voltios

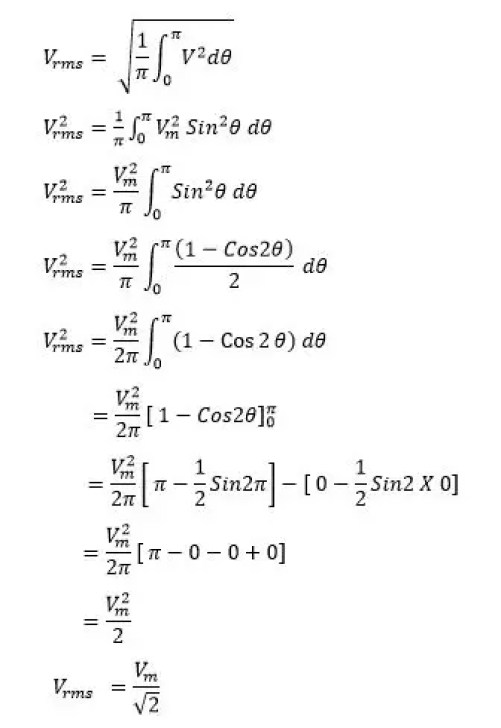
Valor RMS

El ‘Valor RMS’ significa valor de Raíz Cuadrada Media. El valor RMS de una corriente alterna viene dado por aquella corriente continua (CC) que al circular por un tiempo determinado produce la misma cantidad de calor que produce la CA al circular por el mismo circuito durante el mismo tiempo. También se conoce como el valor efectivo de AC.

Valor de CC equivalente al valor RMS

¿Qué es el valor máximo, el valor medio y el valor RMS?>En el diagrama anterior, si calculamos la cantidad de calor producido con el flujo de corriente eléctrica a través del mismo circuito durante el mismo tiempo, la corriente CA que produce el mismo calor en el circuito que el calor producido por CC se denomina valor RMS de C.A. El valor RMS es 240 VCA: significa que si los 240 VCA produjeron el mismo calor que el producido por el voltaje de CC de 240 voltios para el mismo circuito.

El valor RMS se puede determinar usando los siguientes métodos.

Método gráfico

El método gráfico se utiliza para encontrar el valor RMS de cualquier forma de onda variable en el tiempo no sinusoidal. Si la forma de onda es simétrica con respecto al eje, se puede utilizar el método analítico para averiguar el valor RMS. En el método gráfico, se toman una serie de coordenadas medias y se registra su valor instantáneo.

¿Qué es el valor máximo, el valor medio y el valor RMS?>

Cada valor medio de la ordenada de una forma de onda se multiplica por sí mismo y se suma al siguiente. El valor al cuadrado se divide por el número de coordenadas medias y luego la raíz cuadrada de la expresión da el valor RMS. La precisión de la medida depende del número de coordenadas medias tomadas para obtener valores instantáneos.

¿Qué es el valor máximo, el valor medio y el valor RMS?>Deje que el valor máximo del voltaje de CA sea de 25 voltios y el valor instantáneo en la mitad de las ordenadas del medio ciclo de CA sea el siguiente.

¿Qué es el valor máximo, el valor medio y el valor RMS?>El valor RMS del voltaje de CA se calcula de la siguiente manera.

¿Qué es el valor máximo, el valor medio y el valor RMS?>El valor RMS de la onda de CA es de 17,68 voltios.

Método analítico de cálculo del valor RMS

¿Qué es el valor máximo, el valor medio y el valor RMS?>

Para el voltaje sinusoidal simétrico o el método analítico de forma de onda de corriente se puede utilizar para averiguar el valor RMS.

Fórmula Derivación del valor RMS de la forma de onda sinusoidal

¿Qué es el valor máximo, el valor medio y el valor RMS?>Si el valor pico del voltaje de CA es de 25 voltios, su valor RMS será;

Vvalor eficaz = 25/1,414 = 17,68 voltios

Ecuaciones de voltaje RMS

Vrms = 0,707 Vmetro
Vrms = 1,11 Vpromedio

La relación entre el valor RMS y el valor medio de la forma de onda sinusoidal pura es igual a 1,11. Si la relación entre el valor RMS y el valor medio es distinta de 1,11, se dice que la forma de onda está distorsionada.

Artículos Relacionados

  • ¿Qué es el Factor de Cresta o Factor de Pico? Su fórmula y Derivación
  • ¿Qué es el factor de forma? Fórmula del factor de forma y su derivación
  • Medidas y ventajas de la definición de corriente alterna
Error 403 The request cannot be completed because you have exceeded your quota. : quotaExceeded

[automatic_youtube_gallery type=»search» search=»¿Qué es el valor máximo, el valor medio y el valor RMS?» limit=»1″]

¿Qué es‍ el valor máximo, el​ valor medio y el valor RMS?

¿Te has preguntado alguna‍ vez‌ qué significan términos como valor máximo, valor medio y valor⁢ RMS en el mundo de la electricidad y la electrónica? Estos conceptos son fundamentales no solo para ingenieros y⁣ técnicos, ⁣sino que también tienen aplicaciones en nuestra vida diaria, desde hacer que nuestros dispositivos funcionen eficientemente hasta garantizar la‍ calidad del sonido ​en nuestros altavoces. En este artículo, desglosaremos de manera sencilla y clara ‍cada uno ‌de estos términos, ‍explorando sus diferencias, aplicaciones y ‌su importancia.

Valor Máximo

El valor máximo o valor pico ⁢de una forma de onda alterna se refiere al valor‍ más alto que alcanza durante un ciclo. En ‌el caso de una forma de onda sinusoidal, esto significa que va de cero a su ⁣máximo​ positivo y ⁢negativo a lo largo del tiempo. Por ejemplo, en una onda sinusoidal, el valor máximo⁤ positivo se alcanza a⁤ los 90 grados‍ y el negativo a los 270 grados.

El ​valor pico puede calcularse midiendo‍ la diferencia ⁤entre el máximo positivo​ y el máximo negativo. Esta medida es crucial en aplicaciones​ eléctricas, como en la determinación de la capacidad⁣ de voltaje de los equipos eléctricos.

Valor Medio

El valor‍ medio es la media aritmética de‌ todos los valores instantáneos de tensión o corriente dentro ⁣de un ciclo completo. Sin embargo, en el caso de ondas sinusoidales, debido ​a que el ciclo completo tiene tanto valores positivos como negativos, se toma solamente en cuenta la parte positiva para su cálculo. Por lo tanto, el valor promedio real de una ⁣onda alterna puede ser cero, pero su valor medio‌ efectivo es el resultado de sumar solo los semiciclos positivos.

Por ejemplo, para⁢ calcular el valor medio de una forma de onda ‌sinusoidal, se puede utilizar la siguiente fórmula:

V_media = 0.637 × V_pico

Valor RMS (Raíz Cuadrada Media)

El valor RMS ⁣es una medida que describe el equivalente en corriente continua⁣ de una corriente alterna que produce la misma cantidad de calor en una resistencia ‍durante ⁢un tiempo ⁢determinado. Es esencialmente el valor‌ efectivo de la tensión o corriente y se utiliza ampliamente en el diseño y ‌análisis de circuitos eléctricos.

Para una onda ‍sinusoidal, el valor RMS se calcula​ con la siguiente⁤ fórmula:

V_RMS‍ = V_pico / √2

Este cálculo es ⁣fundamental para determinar la energía que una corriente alterna puede entregar a un circuito, y se aplica en diversas aplicaciones industriales y ​domésticas.

Preguntas ⁤Frecuentes (FAQs)

¿Cuál es la diferencia entre valor máximo y valor RMS?

El valor máximo⁢ (o pico) indica el punto más⁣ alto alcanzado en⁣ una forma de onda, mientras que el ‌valor RMS mide el valor efectivo que⁤ produce la misma cantidad de trabajo, específicamente en términos de calentamiento, en ‌una resistencia. Es decir, el valor ⁤RMS nos da una ⁢idea ‍más precisa de⁢ la potencia real que puede ​ser utilizada en un circuito.

¿Para⁣ qué se utiliza el valor medio en⁢ circuitos eléctricos?

El valor medio​ se utiliza para determinar la media de las corrientes o tensiones en⁢ un circuito a lo largo del tiempo. Aunque en las ondas sinusoidales el valor medio puede resultar en⁢ cero si se incluye todo el​ ciclo, se considera solo el semiciclo positivo ⁢para obtener una representación significativa ⁤de las magnitudes eléctricas utilizadas‍ en el análisis.

¿Qué aplicaciones tiene el valor RMS en la vida⁣ cotidiana?

El valor RMS se aplica ⁢en casi ​todos los dispositivos eléctricos que usan corriente alterna, como electrodomésticos, herramientas eléctricas y sistemas de audio. Déjame explicarte: cuando compras ‌un electrodoméstico, su consumo eléctrico está especificado en RMS, que es el valor⁣ que realmente consume de la red eléctrica.

Conclusión

Entender las ⁤diferencias entre el valor máximo, el valor medio‌ y el valor RMS es esencial para el análisis preciso ‌de sistemas eléctricos y electrónicos. Estos términos no‍ solo ayudan‍ a ingenieros y técnicos, sino que también son vitales en ‌nuestra⁣ vida diaria,‍ asegurando que nuestros dispositivos funcionen correctamente y de manera eficiente.

Para más información detallada sobre ⁢estos conceptos‍ y sus aplicaciones, puedes consultar ‍estos recursos:

4 comentarios en «¿Qué es el valor máximo, el valor medio y el valor RMS?»

  1. Jermynjn: ¡Totalmente! Yo también tuve esa experiencia en clase, y creo que el valor RMS es uno de esos conceptos que parece complicado al principio, pero luego es fundamental. Recuerdo que en un proyecto de física nos dejaron medir la potencia de diferentes aparatos y, al aplicar el valor RMS, todo empezó a tener sentido. Me hizo darme cuenta de cómo realmente influye en nuestro día a día, especialmente al calcular el consumo energético en casa. ¡Gracias por traer este tema tan interesante a la conversación!

  2. Tunez.: ¡Hola! Estoy completamente de acuerdo contigo, abdramane. Me pasó exactamente lo mismo en la uni, mi profesor nos explicó la diferencia entre el valor medio y el RMS de una manera tan confusa que casi me tiro de los pelos. Pero una vez que lo entendí, me di cuenta de lo increíblemente útil que es el valor RMS en la vida real, sobre todo al trabajar con electrodomésticos y su consumo energético. Ahora veo las señales de otra manera, ¡gracias por recordarlo!

  3. ¡Hola abdramane! Me pareció muy interesante tu explicación sobre los valores máximo, medio y RMS. Recuerdo cuando estaba en la universidad y teníamos que calcular el valor RMS de las ondas en el laboratorio de señales. ¡Era un lío al principio! Pero al entender que el valor RMS nos daba una idea real de la potencia de una señal, todo cobró sentido. ¡Gracias por compartir esta info tan útil!

Deja un comentario