¿Qué es un diodo varactor? Símbolo, Trabajo, Características, Aplicaciones

¿Qué es un diodo varactor? Símbolo, Trabajo, Características, Aplicaciones

En el fascinante mundo de la electrónica, los componentes pequeños a menudo tienen un impacto significativo en el rendimiento de dispositivos complejos. Uno de esos héroes anónimos es el diodo varactor. Este componente no solo es esencial en la sintonia de radios y televisores, sino que su versatilidad se extiende a numerosas aplicaciones en la tecnología moderna. En este artículo, exploraremos en profundidad qué es un diodo varactor, su símbolo característico, cómo funciona, sus principales características y un vistazo a sus innovadoras aplicaciones en la industria actual. Prepárate para sumergirte en los secretos de este dispositivo que transforma la energía eléctrica en magia tecnológica.

Descubre el fascinante mundo del diodo varactor: su símbolo, funcionamiento, características y aplicaciones. Si alguna vez te has preguntado cómo funcionan los dispositivos electrónicos que nos rodean, este artículo te dará todas las respuestas que necesitas. ¡Prepárate para adentrarte en el emocionante mundo de la electrónica y descubrir cómo los diodos varactor están revolucionando la tecnología!

El diodo varactor es un tipo de diodo cuya capacitancia interna depende de la tensión inversa. La capacitancia de la unión varía con la variación del voltaje inverso y, por lo tanto, también se denomina diodo varicap. El diodo varactor almacena la carga en polarización inversa.

En muchos circuitos, algunas aplicaciones emplean las propiedades de voltaje variable de las uniones pn polarizadas inversamente. Una unión pn diseñada específicamente para tales fines se denomina diodo varactor.

El diodo varactor es un acrónimo del reactor transportable, que también se denomina

  • varicaps
  • diodo de sintonización
  • Diodo de condensador variable de voltaje
  • diodo paramétrico
  • Diodo de condensador variable

La región de empobrecimiento de la unión pn actúa como la dieléctrico material entre las placas de un condensador. La variación en el ancho de la región de agotamiento con la polarización le da a este tipo de diodo el comportamiento de un reservorio variable al cambiar su capacitancia.

Los diodos varicap tienen una capacitancia variable que varía con el voltaje inverso aplicado. Por lo tanto, es necesario comprender de antemano cómo funcionan los condensadores variables.

Símbolo del diodo varactor

¿Qué es un diodo varactor? Símbolo, Trabajo, Características, Aplicaciones>Un diodo varactor no es un condensador perfecto sino una integración de varios elementos dependientes en él. El circuito equivalente consta principalmente de una capacitancia variable llamada capacitancia de unión Cj. Una resistencia Rj representa la resistencia de unión y es paralela a Cj. Aparte de estos, hay una inductancia y resistencia en serie con combinaciones paralelas de elementos de unión.

Principio de funcionamiento del diodo varactor

Un capacitor tiene dos placas conductoras separadas por un medio dieléctrico, una de las cuales está conectada a un voltaje positivo y la otra a un voltaje negativo. Dado que el medio dieléctrico no permite el flujo de carga, la carga se acumula en la superficie de las placas, lo que se conoce como capacitancia.

La capacitancia depende de varios factores, incluido el espacio entre las placas. Su capacitancia es inversamente proporcional al espacio entre las placas. Este principio de funcionamiento de los condensadores variables se utiliza en los diodos varicap.

Funcionamiento del diodo Varactor

Un diodo varactor es una unión PN formada por la unión de una capa semiconductora tipo P y una capa semiconductora tipo N. La capa de tipo P tiene principalmente cargas positivas y la capa de tipo N tiene principalmente cargas negativas.

Las cargas se combinan en el medio, neutralizándose entre sí y formando un espacio entre las capas llamado regiones de agotamiento. La región de empobrecimiento está libre pero no permite que estos portadores fluyan a menos que se aplique un potencial eléctrico.

La estructura general formada parece un capacitor cuya capacitancia depende del ancho de la región de agotamiento.

La concentración de agotamiento del diodo PN convencional y el diodo varactor es la concentración de dopaje. En un diodo convencional, la concentración de dopaje es uniforme, mientras que en un diodo varicap, la concentración es baja cerca de la unión y disminuye hacia las terminales exteriores.

Diodo Varactor de polarización directa

¿Qué es un diodo varactor? Símbolo, Trabajo, Características, Aplicaciones>Cuando el diodo varactor tiene polarización directa, el ánodo se conecta al terminal positivo y el cátodo al terminal negativo de la fuente de tensión. Al aplicar un potencial, el ancho de la región de agotamiento disminuye y finalmente se vuelve más delgado, como se muestra en la figura anterior, y una gran corriente fluye a través del diodo. Por lo tanto, el diodo varicap no se usa en polarización directa porque transporta corriente.

Diodo Varactor de polarización inversa

¿Qué es un diodo varactor? Símbolo, Trabajo, Características, Aplicaciones>Cuando el diodo varactor se conecta en polarización inversa, el ánodo se conecta negativo y el cátodo se conecta al terminal positivo de la fuente de voltaje. Un voltaje inverso aplicado aleja la carga de la unión, ampliando la región de agotamiento. A medida que aumenta el voltaje inverso, también aumenta la región de agotamiento. Por lo tanto, el voltaje aplicado puede controlar el ancho de la región de agotamiento.

Funcionamiento del diodo Varactor

La estructura se parece a la de un capacitor donde la capa semiconductora son dos placas conductoras que almacenan carga, mientras que la región de agotamiento es el espacio dieléctrico entre ellas. La capacitancia de la unión PN se llama capacitancia de la unión.

La carga se almacena en la capa opuesta dada por polarización inversa. A medida que disminuye el ancho de agotamiento, se almacena más carga. Esa es la capacitancia aumenta. A medida que aumenta el ancho de agotamiento, se puede variar menos carga y capacitancia del diodo varactor variando el voltaje inverso.

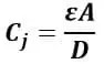
¿Qué es un diodo varactor? Símbolo, Trabajo, Características, Aplicaciones>Por lo tanto, la ecuación del capacitor variable se puede usar para calcular la capacitancia del diodo varactor. La expresión de la capacitancia de unión de un diodo varactor está dada por

¿Qué es un diodo varactor? Símbolo, Trabajo, Características, Aplicaciones>Dónde,

Cj = Capacitancia de unión
ε = constante dieléctrica del semiconductor
A = Área de la sección transversal de la junta
D = Ancho de la región de agotamiento.

Los diodos varactores se utilizan como condensadores para almacenar y no para conducir carga. Conduce cuando tiene polarización directa y bloquea (almacena) la carga cuando tiene polarización inversa. Por lo tanto, los diodos varicap se usan solo en polarización inversa y nunca en polarización directa.

Curva característica: voltaje de polarización inversa de capacitancia

Los diodos convencionales tienen tensión-corriente (VI) es una característica importante. En el caso de los diodos varactores, la capacitancia-voltaje (CV) es la característica eléctrica más importante.

De la siguiente figura, se puede ver que la capacitancia (Cj) disminuye al variar la magnitud del voltaje inverso (VR) en función del ancho de la región de agotamiento, d. Mientras los fabrica, los niveles de dopaje se pueden controlar para lograr una curva CV particular.

¿Qué es un diodo varactor? Símbolo, Trabajo, Características, Aplicaciones>Ventajas del diodo Varicap

  • La principal ventaja es que la capacitancia se puede controlar fácilmente variando el voltaje aplicado.
  • Los diodos Varicap generan menos ruido en comparación con otros diodos de unión PN. Por tanto, en los diodos varactores, la pérdida de potencia debida al ruido es baja.
  • Son mucho más pequeños y pesan menos.
  • Es más confiable que otro diodo PN.
  • Es un diodo de bajo costo, por lo que su uso en diversas aplicaciones es económico.
  • Desventajas del diodo Varicap

  • Estos están especialmente diseñados para trabajar en modo de polarización inversa, es de menor importancia cuando se opera en polarización directa.
  • Su voltaje inverso no debe exceder el voltaje de ruptura, de lo contrario provocará daños.
  • Aplicaciones del diodo Varactor

    Algunas aplicaciones de la varicap diodos son los siguientes.

    sistema de radiofrecuencia – El diodo varactor se usa ampliamente en muchos diseños en sistemas de radiofrecuencia (RF). Un voltaje de control aplicado puede variar la capacitancia dentro de un circuito usando diodos varicap. Esto les da una capacidad excepcional porque los diodos varactores se utilizan en la industria de RF.

    Receptores de radio – Los diodos Varicap se utilizan en los receptores de Radio para la sintonización.

    multiplicador de frecuencia – Se utiliza en el bucle de enganche de fase para la modulación de frecuencia. Los diodos Varactor ayudan a lograr la modulación de frecuencia. Los diodos varicap juegan un papel vital en los dispositivos de comunicación.

    Amplificadores paramétricos – El diodo varicap se utiliza en amplificadores paramétricos como un componente importante. Estos diodos se utilizan en muchos circuitos y dos sectores principales.

    Filtros RF – Es posible sintonizar filtros utilizando diodos varactores. Es posible que se requieran filtros de seguimiento en los circuitos del receptor frontal donde los filtros están habilitados para rastrear la frecuencia de las señales recibidas.

    Osciladores controlados por voltaje (VCO) – Los VCO se utilizan para muchas aplicaciones y los osciladores dentro de un bucle de sincronización de fase son la región principal. Los osciladores controlados por voltaje (VCO) están presentes en casi todos los receptores y radios inalámbricos.

    Error 403 The request cannot be completed because you have exceeded your quota. : quotaExceeded

    [automatic_youtube_gallery type=»search» search=»¿Qué es un diodo varactor? Símbolo, Trabajo, Características, Aplicaciones» limit=»1″]

    ¿Qué es un Diodo Varactor?

    En el fascinante ​mundo de‌ la electrónica, los componentes pequeños a ⁤menudo ​tienen un impacto significativo en el ‌rendimiento de dispositivos complejos. Uno de esos ⁢héroes anónimos‌ es el diodo varactor, también conocido como diodo ‌varicap. Este componente no solo es esencial en la sintonización ⁢de radios y televisores, sino​ que su versatilidad​ se extiende a numerosas ⁣aplicaciones en la ⁣tecnología moderna.

    Símbolo del Diodo Varactor

    El símbolo del diodo ‍varactor⁢ se ⁤representa generalmente como un diodo convencional, pero ⁢incluye una notación que ​indica⁤ su naturaleza de capacitancia⁢ variable. Se parece a un diodo estándar ​con⁢ una línea que indica su función especial.

    Trabajo ‌del Diodo Varactor

    El diodo varactor⁤ es un tipo de⁣ diodo que​ funciona sobre el principio de una unión‍ PN, donde la capacitancia ‌interna depende de la tensión inversa aplicada. Este ⁢comportamiento permite que el diodo actúe como un condensador variable:

    • Cuando se aplica un voltaje inverso, el ancho de la región de agotamiento aumenta, lo que provoca una variación en la capacitancia.
    • En polarización inversa, el diodo varactor no conduce corriente pero almacena carga, lo que permite que su capacitancia​ varíe según el voltaje aplicado.

    Características del Diodo Varactor

    Las principales⁣ características de los diodos varactor incluyen:

    1. Capacitancia variable: La capacitancia cambia​ según el voltaje inverso​ aplicado.
    2. Ruido reducido: Generan menos ruido en comparación con otros diodos‌ picados PN.
    3. Tamaño compacto: Son pequeños⁢ y ligeros, lo que los hace ideales para ⁢dispositivos portátiles.
    4. Coste efectivo: Su bajo costo permite su uso en una variedad de aplicaciones.

    Aplicaciones del ‌Diodo​ Varactor

    Los diodos varactor se emplean en diversas aplicaciones, ​tales como:

    • Sintonización de frecuencias: Usados en radios y televisores para ajustar ⁣frecuencias⁢ de recepción.
    • Modulación: Utilizados en circuitos de modulación para frecuencias de transmisión.
    • Circuitos de oscilación: En osciladores que requieren cambios⁣ en la frecuencia de salida.

    FAQs sobre el Diodo Varactor

    ¿Qué diferencias hay entre un ⁤diodo varactor y un diodo convencional?

    La principal diferencia radica en ‍su funcionamiento; mientras que un diodo convencional ⁢permite la conducción de corriente en polarización directa, el diodo varactor se utiliza principalmente en polarización inversa para actuar como un ⁢condensador variable.

    ¿Por qué es ⁣importante la capacitancia variable en el diodo varactor?

    La capacitancia variable permite que el diodo varactor sea ajustable en aplicaciones⁣ como la sintonización de‍ radios, donde se necesita cambiar ‌la frecuencia de manera precisa e inmediata.

    ¿Cuáles son los límites de voltaje que un diodo varactor puede ⁤manejar?

    Los diodos varactor están diseñados para trabajar en polarización inversa y deben operar dentro de un rango específico de voltaje inverso. Exceder este rango‍ puede provocar daños al componente.

    Conclusión

    El diodo varactor es‌ un componente⁤ fundamental en muchos⁣ circuitos electrónicos avanzados. Su capacidad para ajustar capacitancia ‌a través de tensiones inversas lo convierte en una ⁣herramienta invaluable en la sintonización y ‍modulación de señales electrónicas. Si deseas ahondar más en su funcionamiento o en aplicaciones específicas, te recomendamos visitar fuentes adicionales como Onuba Electrónica o ⁢ RS Online.

    3 comentarios en «¿Qué es un diodo varactor? Símbolo, Trabajo, Características, Aplicaciones»

    1. ¡Qué buen artículo, la verdad! Nunca había entendido del todo cómo funcionan los diodos varactor hasta que un profe en la uni nos hizo un proyecto donde los usábamos para sintonizar radios. Me acuerdo de que fue todo un reto, pero ahora aprecio mucho más su aplicación en electrónica. ¡Gracias por compartir esta info!

    2. Andronikap.: Totalmente de acuerdo, ricanoinnyMitca. Yo también tuve una experiencia similar en un taller de radios, y me quedé asombrado de cómo un simple diodo varactor puede cambiar la frecuencia. ¡Es una maravilla ver cómo se puede usar la teoría en la práctica! Este artículo me ayudó a aclarar un montón de cosas que no entendía del todo. ¡Gracias por hacer esto más fácil de comprender!

    3. Leaqu.: ¡Exacto! A mí me pasó lo mismo cuando empecé a trastear con circuitos de RF. No sabía que un diodo varactor podía ser tan crucial para ajustar la frecuencia, pero una vez que lo entendí, todo cobró sentido. Recuerdo un proyecto de fin de curso donde tuvimos que construir un oscilador y usar un diodo varactor fue un game changer. Este artículo realmente hace un gran trabajo al desglosar conceptos complicados, así que ¡gracias por compartirlo!

    Deja un comentario