Derivación del factor de galgas extensométricas

Derivación del factor de galgas extensométricas: Un Vistazo a la Precisión en Medición

En el mundo de la ingeniería y la física, la precisión es el rey, y las galgas extensométricas son herramientas fundamentales para lograrla. Hoy nos adentraremos en un aspecto crucial de su funcionamiento: la derivación del factor de galgas extensométricas. ¿Te has preguntado alguna vez cómo unas simples láminas pueden transformar la tensión en datos útiles? En este artículo, descubrirás no solo la teoría detrás de este proceso, sino también su relevancia en aplicaciones prácticas que impactan diversas industrias. Prepárate para desentrañar los secretos que hacen de estas galgas unos aliados indispensables en el campo de la medición.

¿Alguna vez te has preguntado cómo se miden las deformaciones en estructuras y materiales de manera precisa? ¡La respuesta está en las galgas extensométricas! En este artículo vamos a adentrarnos en la fascinante ciencia que se encuentra detrás de la derivación del factor de estas galgas, herramientas fundamentales en la industria de la ingeniería. Descubre cómo funciona este proceso y cómo se calcula este factor para obtener mediciones exactas. ¡Prepárate para adentrarte en el mundo de la medición de deformaciones de una manera nunca antes vista!

En este artículo, discutiremos la derivación del factor de galgas extensométricas. La galga extensométrica es un transductor pasivo que convierte la deformación producida por una fuerza en un cambio en la resistencia.

Primero entenderemos la terminología básica utilizada en la galga extensiométrica.

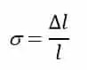
Estrés

El estrés se define como una fuerza restauradora por unidad de área de cualquier material dado. Se denota con la letra griega σy se mide usando Pascal oN/m2.

El estrés se expresa matemáticamente como:

Derivación del factor de galgas extensométricas>Cepa

La tensión es la cantidad de deformación experimentada por el cuerpo en la dirección de la fuerza aplicada, dividida por las dimensiones iniciales del cuerpo. La deformación es una cantidad adimensional que define el cambio relativo de forma.

La tensión se representa matemáticamente como:

Derivación del factor de galgas extensométricas>Medidor de tensión

Una galga extensiométrica es un sensor cuya resistencia variará cuando se aplique cualquier fuerza. Un medidor de tensión convierte la fuerza, la presión, la tensión, el peso, etc., en un cambio en la resistencia eléctrica que luego se mide.

Derivación del factor de galgas extensométricas>Cuando se aplica cualquier fuerza externa a un objeto, se produce una deformación en la forma del objeto. La deformación observada en la forma puede ser tanto de compresión como de tracción. Esto se llama tensión. Esta deformación se mide con una galga extensométrica.

Derivación del factor de galgas extensométricas

La derivación del factor de medición de tensión es un ejemplo del transductor pasivo que utiliza la variación de la resistencia eléctrica en cualquier cable para detectar la tensión producida por una fuerza sobre los cables. Los medidores de tensión de resistencia también se denominan medidores piezorresistivos.

Cuando cualquier calibre se somete a un esfuerzo positivo, la longitud aumenta mientras que el área de la sección transversal disminuye. La resistencia del conductor es directamente proporcional a su longitud e inversamente proporcional a su área de la sección transversal, por lo que la resistencia del calibre aumenta con la deformación positiva. Hay muchos detectores y transductores, por ejemplo, celdas de carga, medidores de torque, manómetros, sensores de temperatura, etc., que emplean la Derivación del Factor de Medición de Extensión como transductores secundarios.

Los tipos de derivaciones del factor de galgas extensiométricas son:

  • Galga extensiométrica no adherida
  • Medidor de tensión adherido
  • Medidor de tensión de resistencia no adherida

    La galga extensiométrica de resistencia no adherida consta de un cable estirado entre dos puntos en un medio aislante, como el aire. En este tipo, la galga extensiométrica no está directamente unida a la superficie que está sujeta a la tensión. En cambio, el cable se estira entre dos marcos con la ayuda de pasadores de aislamiento. Los cables se mantienen bajo tensión para evitar el pandeo y/o la vibración libre. La derivación del factor de galga extensiométrica no adherida generalmente se conecta en un circuito de puente. El puente está equilibrado sin que se le aplique ninguna carga.

    Especificaciones de la galga extensiométrica no adherida

    • El tamaño típico es de 0,003 mm de diámetro y 25 mm de longitud.
    • La resistencia es de 120W, 350W a 1000W
    • El voltaje máximo de excitación es de 5V a 10V
    • Material de construcción: nicromo, constantan, níquel.

    Ventajas de la galga extensiométrica no adherida

    • Tiene mayor precisión.
    • Se pueden utilizar en el rango de ±0,15 % de deformación.
    • Desventajas de la galga extensiométrica no adherida:
    • Requieren más espacio.

    Medidor de tensión de resistencia adherida

    Las galgas extensométricas adheridas se colocan o unen directamente en la superficie de cualquier dispositivo o componente que esté sujeto a tensión. Se dividen en 3 tipos diferentes:

    1. Medidor de tensión tipo cable

    Están disponibles en tipos unidos y no unidos. En el tipo adherido, la galga extensiométrica se coloca directamente sobre la superficie de la estructura bajo prueba. Para colocar la galga extensométrica en la estructura se utilizan adhesivos que se encargan de transmitir la deformación de la estructura a los cables de la galga. Este tipo de calibre se fabrica básicamente en cuatro variedades. Ellos son:

    a. Calibre de alambre de rejilla plana

    En los calibres de alambre de rejilla plana, el alambre fino se enrolla hacia adelante y hacia atrás (es decir, se dispone en forma de rejilla) y luego se pega sobre un material de respaldo (por ejemplo, epoxi, papel, etc.), con la ayuda de un adhesivo

    Derivación del factor de galgas extensométricas>b. Calibre de alambre envolvente:

    En un calibre de alambre envolvente, un alambre fino se enrolla en una tira delgada o en un tubo de papel aplanado. Se pueden hacer más pequeños en longitud para el mismo valor de resistencia en comparación con el tipo de rejilla plana. En el tipo de calibre de alambre envolvente, la rejilla de alambre está entre los dos planos, el calibre tiene un espesor de superficie muy alto. Entonces, la fluencia y la histéresis aumentan.

    C. Calibre de un solo cable

    El tipo de calibre de cable de un solo cable está diseñado principalmente para evitar cualquier factor de sensibilidad cruzada. Estos se forman cuando los cables individuales se estiran y se colocan como se muestra a continuación. Para evitar la formación de bucles en el mismo material, también se unen (soldan) alambres de cobre gruesos en los extremos. Debido a esto, la sensibilidad cruzada se reduce en gran medida.

    Derivación del factor de galgas extensométricas>D. Indicador de tipo tejido

    Un calibre de tipo tejido se forma cuando un alambre eureka con aislamiento de seda se enrolla como trama en una envoltura textil o de rayón. Estos medidores pueden medir grandes deformaciones. También se utilizan para realizar ensayos en pieles y tejidos.

    Derivación del factor de galgas extensométricas>2. Medidor de tensión tipo lámina

    Los calibres de lámina difieren de los calibres de alambre en la construcción. En los calibres de lámina, el patrón de cuadrícula requerido se forma con una lámina muy delgada que es del mismo material que se usa para los calibres de alambre. Debido a la mayor relación entre el área de la superficie y el área de la sección transversal, tiene una mayor capacidad de disipación de calor y, por lo tanto, tiene una mejor estabilidad térmica. La reproducibilidad de la tensión es excelente.

    Derivación del factor de galgas extensométricas>Especificaciones de la galga extensiométrica adherida

    • Tamaño típico = 3 mm × 3 mm × 3 mm, pero a veces más grande que 2,5 mm × 12,5 mm
    • Resistencia = 120W a 1000W
    • Voltaje máximo de excitación = 5V a 10V
    • Los materiales de construcción son aleaciones de cobre nicromo, níquel-cromo o níquel ferroso.
    Ventajas de la galga extensiométrica adherida
    • Tiene mayor precisión.
    • Alta sensibilidad y estabilidad.
    • Se puede hacer una unión perfecta.
    • Puede medir alta presión.
    Desventajas de la galga extensométrica adherida
    • Estos son sensibles a los cambios de temperatura.

    Derivación del factor de galgas extensométricas

    Lo sabemos

    Derivación del factor de galgas extensométricas>Como resultado de la deformación, dos parámetros físicos son de particular interés.

  • El cambio en la resistencia de calibre.
  • El cambio de longitud.
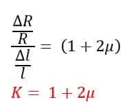
  • La medida de la sensibilidad de un material a la deformación se llama factor de calibre (GF). Es la relación del cambio en la resistencia ΔR/R por cambios en la longitud Δl/l

    Derivación del factor de galgas extensométricas>Dado que la deformación se define como el cambio de longitud dividido por la longitud original,

    Derivación del factor de galgas extensométricas>Poniendo el valor de la deformación en la ecuación (1), obtenemos

    Derivación del factor de galgas extensométricas>donde σ es una deformación en la dirección lateral.

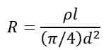
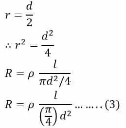
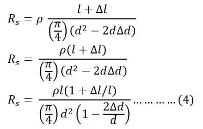
    La resistencia del conductor de sección transversal uniforme es

    Derivación del factor de galgas extensométricas>Desde

    Derivación del factor de galgas extensométricas>dónde

    • ρ= resistencia específica del conductor
    • yo = longitud del conductor
    • d= diámetro del conductor

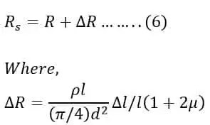
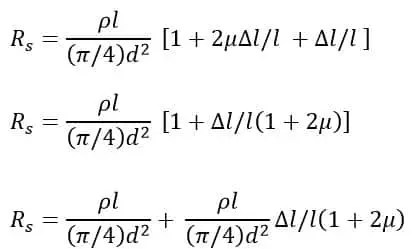
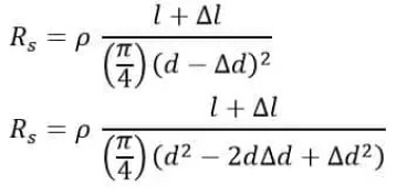
    Cuando este conductor se esfuerza debido a la cepala longitud del conductor aumenta en Δyo y simultáneamente disminuye en Δd de diámetro. Por lo tanto, la resistencia del conductor se puede escribir como

    Derivación del factor de galgas extensométricas>Como Δd es muy pequeño, Δd2 puede ser descuidado

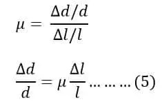
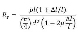
    Derivación del factor de galgas extensométricas>Ahora según Relación de Poisson μ se define como la relación entre la deformación en la dirección lateral y la deformación en la dirección axial, es decir,

    Derivación del factor de galgas extensométricas>Sustituyendo el valor Δd/d de la ecuación (5) en la ecuación (4), obtenemos

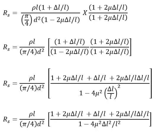
    Derivación del factor de galgas extensométricas>Racionalizando la ecuación anterior, obtenemos

    Derivación del factor de galgas extensométricas>Desde Δyo es muy pequeña, podemos despreciar las potencias superiores de Δyo.

    Derivación del factor de galgas extensométricas>De la ecuación número 3,

    Derivación del factor de galgas extensométricas>Por lo tanto,

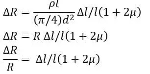
    Derivación del factor de galgas extensométricas>El cambio en la resistencia es

    Derivación del factor de galgas extensométricas>El factor de calibre será

    Derivación del factor de galgas extensométricas>

    Error 403 The request cannot be completed because you have exceeded your quota. : quotaExceeded

    [automatic_youtube_gallery type=»search» search=»Derivación del factor de galgas extensométricas» limit=»1″]

    Derivación del Factor de Galgas Extensométricas

    En el mundo ‌de la ingeniería y la física, la precisión ​es el rey. Las galgas extensométricas⁣ son herramientas⁣ fundamentales para ​lograrla. En ​este artículo, profundizaremos en un aspecto crucial de su ⁣funcionamiento: la derivación del factor de‌ galgas extensométricas.

    Qué es una Galga Extensométrica

    Una⁢ galga extensométrica es ⁤un transductor pasivo que convierte la deformación producida por una‍ fuerza en⁤ un⁣ cambio en‌ la resistencia eléctrica. Estos dispositivos son esenciales para medir deformaciones‌ en estructuras y materiales, permitiendo asegurar la integridad y el funcionamiento de diversas aplicaciones en ‌la ingeniería.

    Términos Básicos

    Estrés

    El estrés ⁤se ⁣define⁢ como una fuerza restauradora por‌ unidad de área y se denota con la letra griega σ. Se‍ mide en Pascales (Pa).

    Cepa

    La cepa es la cantidad⁤ de deformación experimentada por el objeto en la‍ dirección de la fuerza aplicada, dividida por sus dimensiones iniciales.

    Derivación⁢ del Factor de Galgas Extensométricas

    El factor de galga extensométrica (GF) ⁣es un parámetro ‌que mide la sensibilidad del dispositivo. Se define como la relación entre el cambio en ​resistencia y el esfuerzo aplicado.

    La resistencia de la galga cambia bajo tensión, lo que se puede expresar matemáticamente como:

    GF = ∆R / (R * ε)

    donde ∆R ⁢es ⁣el cambio ⁤en​ resistencia, R es la ​resistencia inicial, y ε es la deformación ⁤unitaria.

    Tipos de Galgas Extensométricas

    1. Galgas extensométricas no ‍adheridas: Estas ⁢galgas no están unidas ⁢directamente ​a la estructura; en cambio, están⁢ suspendidas en un medio aislante, como el aire.
    2. Galgas extensométricas adheridas: Estas se colocan directamente sobre la superficie del objeto a medir, ‍transmitiendo ⁢efectivamente la deformación.

    Ventajas ​y Desventajas

    Galgas No Adheridas

    • Ventajas:
      • Mayor precisión.
      • Menos interferencias⁤ externas.
    • Desventajas:
      • Requieren más espacio.

    Galgas Adheridas

    • Ventajas:
      • Alta sensibilidad y ⁤estabilidad.
      • Pueden medir altas presiones.
    • Desventajas:
      • Posibilidad de ‍despegue ⁤debido a condiciones ambientales.

    FAQs sobre Galgas Extensométricas

    ¿Qué aplicaciones tienen las galgas extensométricas?

    Las galgas extensométricas ​se utilizan en una amplia‍ variedad de aplicaciones,‍ como controlar estructuras ⁣en construcción, ensayos de materiales y en sistemas de monitoreo en tiempo‍ real. ​Su precisión‌ las hace​ ideales para detectar ⁤deformaciones en componentes críticos.

    ¿Cómo afecta el tipo ⁤de material a la precisión de la galga?

    El material de la galga influye en su sensibilidad y resistencia.⁣ Por ​ejemplo, materiales como el constantan o nicromo son populares debido a su estabilidad y excelente respuesta a la deformación.

    Referencias

    Para más información sobre galgas extensométricas y su funcionamiento, ​visita Wikipedia o Wikisensors.

    3 comentarios en «Derivación del factor de galgas extensométricas»

    1. ¡Yo también estoy en la misma sintonía! Recuerdo que en mi pasantía me tocó calibrar unas galgas extensométricas y al principio me sentía perdido. Pero con el tiempo, entendí la importancia de su derivación y cómo influye en las mediciones. Es como si cada pequeña variación se convirtiera en una historia que contar. A veces, el conocimiento detrás de algo tan técnico puede ser complicado, pero la emoción de ver los datos cobrar vida es lo que realmente me enganchó. ¡Qué mundo fascinante el de las galgas!

    2. Cdsteve316fv: ¡Exacto, del carmen! También me pasó algo parecido en mi proyecto de fin de carrera. Al principio, fue un dolor de cabeza entender cómo funcionaban las galgas, pero cuando logré medir las deformaciones de un material, fue como si se me encendiera una bombilla. Es increíble ver cómo algo tan pequeño puede tener un impacto tan grande en los resultados. Definitivamente, es un tema que nunca deja de sorprender.

    3. ¡Totalmente de acuerdo, del carmen! La derivación del factor de galgas extensométricas es un tema fascinante. Recuerdo la primera vez que trabajé con ellas en la uni, fue un gran reto, pero al final ver cómo respondían a las deformaciones fue alucinante. La manera en que convierten los cambios en tensión a señales eléctricas es impresionante. Sin duda, un tema que siempre vale la pena explorar más a fondo.

    Deja un comentario