Diagrama circular del motor de inducción: definición, construcción y sus partes

Diagrama circular del motor de inducción: definición, construcción y sus partes

El motor de inducción es uno de los pilares fundamentales de la industria moderna, impulsando desde electrodomésticos hasta grandes maquinarias en fábricas. Sin embargo, su funcionamiento a menudo resulta un misterio para muchos. En este artículo, desglosaremos de manera visual y concisa el diagrama circular del motor de inducción, explorando su definición, construcción y las partes que lo componen. Acompáñanos en este recorrido por los entresijos de una máquina que, aunque a menudo pasa desapercibida, es crucial para el desarrollo tecnológico y económico de nuestra sociedad. ¡Descubre cómo funciona y por qué es tan vital en nuestra vida diaria!

Las máquinas eléctricas son elementos fundamentales en nuestra vida cotidiana y uno de los dispositivos más importantes es el motor de inducción. Para comprender mejor su funcionamiento, resulta esencial conocer su estructura interna. En este artículo, profundizaremos en el diagrama circular del motor de inducción, detallando su definición, construcción y las partes que lo integran. ¡Descubre todo lo que necesitas saber sobre este impresionante invento de la ingeniería eléctrica!

El Diagrama circular de un motor de inducción es muy importante para estudiar el rendimiento del motor en todas las condiciones de funcionamiento. En otras palabras, podemos decir que el diagrama circular representa el rendimiento del motor de inducción. Es posible evaluar los parámetros de rendimiento del motor utilizando un diagrama circular, como la potencia de salida, las pérdidas y la eficiencia.

En cualquier industria, los motores de inducción se utilizan ampliamente en muchas aplicaciones, como bombeo, conducción de cargas mecánicas, en transportadores, trituradoras, etc. Por lo tanto, el análisis de sus prestaciones es necesario para que podamos determinar sus diversos parámetros como eficiencia, pérdidas, máxima poder, etc

Existe un método muy simple para representar la eficiencia general de un motor de inducción conocido como diagrama circular. Por lo tanto, en este artículo aprenderemos sobre el diagrama circular de un motor de inducción, su construcción y sus partes.

¿Qué es un diagrama circular de un motor de inducción?

A diagrama circular es un método para representar gráficamente el rendimiento general de un motor de inducción. El diagrama circular del motor de inducción proporciona información sobre varios parámetros del motor, como el par de arranque, la eficiencia, las pérdidas, la potencia máxima de salida, el deslizamiento, la corriente a plena carga, el factor de potencia del motor, el par máximo desarrollado en el motor, etc.

El método del diagrama circular se utiliza para representar y analizar el rendimiento del motor de inducción porque es bastante simple y fácil de construir. Se puede construir directamente a partir del circuito equivalente de un motor de inducción.

La prueba sin carga y la prueba de rotor bloqueado se realizan en el motor de inducción para dibujar su diagrama circular. Por lo tanto, también podemos definir el diagrama circular de un motor de inducción como “un diagrama que se dibuja tomando el lugar geométrico de la corriente tomada por un motor de inducción para diferentes condiciones se llama el diagrama circular del motor de inducción”

Construcción del diagrama circular del motor de inducción

Como hemos descrito anteriormente, el diagrama circular de inducción se puede dibujar realizando la prueba sin carga y el rotor bloqueado (prueba de carga completa). Realizamos estas dos pruebas en el motor de inducción para determinar lo siguiente:

  • Valor por fase de la corriente sin carga (I0),
  • Valor por fase de la corriente de cortocircuito (ICAROLINA DEL SUR),
  • Ángulo de fase (φ0) correspondiente a la corriente sin carga, y
  • Ángulo de fase (φCarolina del Sur) correspondiente a la corriente de cortocircuito.

En este proceso, también determinamos el valor de la corriente de cortocircuito correspondiente a la tensión de alimentación normal, sea Inúmero de serie.

El circuito equivalente del motor de inducción es útil para determinar los parámetros necesarios para dibujar el diagrama circular. El circuito equivalente del motor de inducción se muestra a continuación.

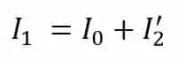
Diagrama circular del motor de inducción: definición, construcción y sus partes>Al aplicar KCL en el circuito anterior, obtenemos

Diagrama circular del motor de inducción: definición, construcción y sus partes>La corriente del rotor depende de los deslizamientos. El deslizamiento del motor cuando funciona sin carga es casi igual a cero.

Diagrama circular del motor de inducción: definición, construcción y sus partes>Por lo tanto, la corriente del rotor referida en el primario (I2‘) es casi cero. La mayoría de las corrientes sin carga tienen dos componentes de corriente, uno es un componente de magnetización y el otro es un componente activo o componente de pérdida de núcleo. En condiciones sin carga, el motor de inducción consume corriente de magnetización y el factor de potencia del motor está entre 0,1 y 0,2 retrasado. La corriente magnetizante (I0) retrasa el voltaje (V1) como se muestra en la siguiente figura.

Diagrama circular del motor de inducción: definición, construcción y sus partes>Prueba matemática del diagrama circular

Del diagrama fasorial anterior, la potencia sin carga (P0) del motor de inducción es;

Diagrama circular del motor de inducción: definición, construcción y sus partes>El ángulo de fase de la corriente sin carga es;

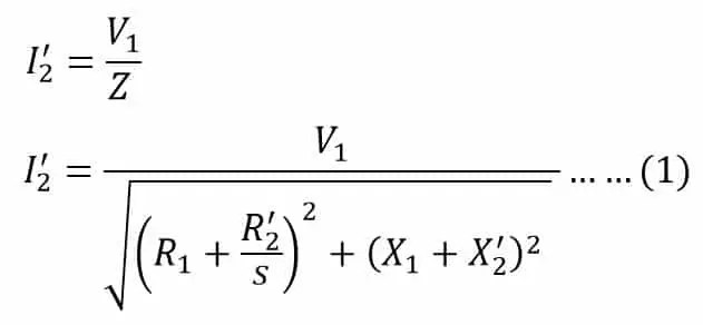
Diagrama circular del motor de inducción: definición, construcción y sus partes>Ahora, encontramos la corriente del rotor denominada estator. Del circuito equivalente del motor es;

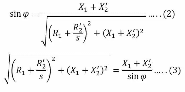
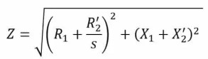
Diagrama circular del motor de inducción: definición, construcción y sus partes>Aquí, la corriente referida del rotor al estator (I’2) se retrasa con respecto al voltaje aplicado (V1). El triángulo de impedancia del motor de inducción es el siguiente.

Diagrama circular del motor de inducción: definición, construcción y sus partes>Donde Z es igual a

Diagrama circular del motor de inducción: definición, construcción y sus partes>Del triángulo de potencia del motor de inducción, el valor de sinφ es;

Diagrama circular del motor de inducción: definición, construcción y sus partes>Combinar las ecuaciones (1) y (3). obtenemos

Diagrama circular del motor de inducción: definición, construcción y sus partes>The above equation (4) represents the circle equation (r = a sin φ) in polar form, where ‘a’ is the diameter of the circle.

Diagrama circular del motor de inducción: definición, construcción y sus partes>We can conclude the following points from the above figure.

Locus of Circle

Diagrama circular del motor de inducción: definición, construcción y sus partes>Radius of Circle

Diagrama circular del motor de inducción: definición, construcción y sus partes>Coordinate of Center(C)

Diagrama circular del motor de inducción: definición, construcción y sus partes>Procedure for drawing the circle diagram

Diagrama circular del motor de inducción: definición, construcción y sus partes>Now with these data, we can draw the circle diagram as shown in the above figure of the given induction motor as described in the following steps:

  • Select a suitable scale and draw a vector OA whose length is equal to the value of no-load current I0 and the phase angle with the vertical axis is φ0.
  • Draw a horizontal straight-line AX.
  • Draw a vector OB whose length is equal to short-circuit current (ISN) corresponding to the normal supply voltage and the phase angle with the vertical axis is φsc, and join AB.
  • Draw a perpendicular bisector to line AB, it meets the horizontal line AX at point C.
  • Assume point C as the center and draw a portion of a circle passing through points A and B. This portion of the circle is the locus of input current and forms the circle diagram of the induction motor.
  • From point B, draw a vertical line BM to meet the line AX, and divide the BM at a point N such that
  • Now, for a given operating point P, draw a vertical line PQRSD, where,
  • If we draw tangents to the circle diagram parallel to the output line and the torque line respectively. Then, the points where these two tangents touch the circle diagram represent the points of maximum power and maximum torque respectively.
  • Parts of Circle Diagram of Induction Motor

    Efficiency Line

    Diagrama circular del motor de inducción: definición, construcción y sus partes>Step 1 – Extend the output line AB backward to meet X-axis at point O’.

    Step 2 – From any convenient point, say V, on the output line, draw a horizontal line UV which meets the vertical from point O’. The line UV is the efficiency line of the motor.

    Slip Line

    Diagrama circular del motor de inducción: definición, construcción y sus partes>Step 1 – Draw a line parallel to the torque line, say UK, meeting the vertical line through point A at point K.

    Step 2 – The line ‘UK’ is the slip line of the induction motor. Now, to find the slip corresponding to any operating point P, draw a line from point A through P to meet the slip line at point J. The line KJ is the slip of the motor.

    Conclusion

    Therefore, in this article, we have explained the circle diagram of the induction motor along with its construction and parts. As we can observe, the circle diagram is a simple graphical method to determine the overall performance of an induction motor.

    Error 403 The request cannot be completed because you have exceeded your quota. : quotaExceeded

    [automatic_youtube_gallery type=»search» search=»Diagrama circular del motor de inducción: definición, construcción y sus partes» limit=»1″]

    Diagrama Circular del Motor‍ de Inducción: Definición,‌ Construcción y sus Partes

    ¿Qué es el ⁤Diagrama Circular⁣ del Motor de Inducción?

    ⁢ ⁤ ⁣El diagrama circular es una representación gráfica ⁣que‍ ilustra el rendimiento general de un motor de​ inducción. Este diagrama ⁤proporciona ⁣información sobre varios parámetros fundamentales⁢ del​ motor, incluyendo:

    • Par de arranque
    • Eficiencia
    • Pérdidas
    • Potencia máxima ⁣de salida
    • Deslizamiento
    • Corriente a plena carga
    • Factor de potencia del motor
    • Par máximo desarrollado

    ⁢ La simplicidad⁤ de este método lo convierte en​ una herramienta esencial para el análisis de funcionamiento de los motores de inducción [[3]].

    Construcción ⁤del Diagrama Circular del⁢ Motor⁢ de Inducción

    ‌ ⁢ ⁢ Para construir el diagrama circular, se ‌realizan dos pruebas esenciales en el motor de inducción:

    1. Prueba sin carga: permite determinar el valor⁤ de la corriente sin⁣ carga (I0) y su ángulo de fase‌ (φ0).
    2. Prueba de rotor‌ bloqueado: utilizada para obtener ‌el‍ valor de la corriente de ⁣cortocircuito (IC) ⁤y su⁣ correspondiente⁢ ángulo de⁤ fase.

    ⁢ ⁤ ⁣ Estos‌ valores​ se pueden usar para representar gráficamente el⁢ rendimiento ‍del motor a distintas condiciones operativas [[2]].

    Partes del Diagrama Circular

    ⁤ El diagrama ⁢circular se compone ⁣de varios elementos clave ⁤que permiten el‌ análisis de la operación del motor:

    • Vector de corriente sin ⁣carga (I0): Representa ‍la corriente que consume el motor sin carga.
    • Vector‌ de cortocircuito (IC): Refleja la​ corriente cuando ⁤el ⁣rotor está bloqueado.
    • Ángulo de fase: Los⁢ ángulos⁣ que forman con⁤ el eje vertical son cruciales para⁣ comprender‍ el‍ comportamiento ⁣reactivo del ‌motor.

    Importancia del Diagrama Circular​ en la Industria

    ⁣ ⁣ Los motores de ⁢inducción​ son ampliamente utilizados en la ‍industria,⁣ desde aplicaciones simples como electrodomésticos hasta maquinaria pesada en‌ fábricas. Analizar el ​rendimiento a⁢ través del diagrama ​circular es vital⁣ para:

    • Determinar la ⁣eficiencia del ​motor.
    • Identificar las‍ pérdidas durante la operación.
    • Optimizar el rendimiento del motor en diversas aplicaciones industriales.

    Preguntas​ Frecuentes (FAQs)

    ¿Cómo se realiza un diagrama ⁤circular?

    Para realizar un diagrama circular, ​es necesario realizar pruebas sin carga y de rotor bloqueado,‍ obteniendo primero los requerimientos de corriente y ⁤luego trazando los vectores en un gráfico circular que​ represente los‍ diferentes ‌estados del motor.

    ¿Cuál es ‍la ventaja de usar un diagrama circular?

    La ventaja‌ principal⁣ del diagrama circular es​ su capacidad de resumir en un ⁤solo gráfico el comportamiento del⁣ motor bajo diferentes condiciones, ‍facilitando la evaluación de ‍su desempeño y eficiencia.

    ¿Dónde se utiliza generalmente el motor de inducción?

    ⁢ ​ ⁢⁣ Los motores de inducción se utilizan‌ en una amplia‌ gama de aplicaciones⁢ industriales,​ incluyendo ⁢sistemas de bombeo,⁢ transportadores, compresores y en casi cualquier maquinaria que ‍requiera un motor eléctrico de funcionamiento eficiente.

    Para más información‌ sobre motores de ‌inducción y el diagrama‍ circular, visita [[1]].

    7 comentarios en «Diagrama circular del motor de inducción: definición, construcción y sus partes»

    1. David ioan: ¡Qué buen debate están armando! Yo también me siento identificado con esto. Cuando trabajaba en un taller, tuvimos que reconstruir un motor de inducción y tener a la mano el diagrama circular fue clave para no perdernos. Cada vez que miraba el diagrama, me daba cuenta de cómo todo estaba interconectado. La verdad, entender estas partes no solo ayuda a reparar, también te da una idea de la magia que hay detrás de su funcionamiento. ¡Excelente contenido!

    2. ¡Excelente artículo! Me encantó cómo explicaste el diagrama circular del motor de inducción. Recuerdo cuando hice un proyecto en la universidad sobre motores eléctricos y tuve que desarmar uno para entender mejor todas sus partes; fue un verdadero desafío, pero aprender sobre su construcción fue clave para que todo tuviera sentido. La forma en que presentas la información es clara y accesible, así que gracias por compartir tus conocimientos. ¡Sigue así!

    3. Motor de inducción! Recuerdo que en la universidad tuvimos un proyecto donde teníamos que construir un modelo a escala, y entender el diagrama circular fue clave. Al principio me costó un poco, pero poco a poco todo cobró sentido. La explicación aquí es muy clara y me trae buenos recuerdos de esas clases. ¡Gracias por compartir!

    4. Elt61088ri: ¡Totalmente de acuerdo, Huayta! También me quedé enganchado con el diagrama circular, es clave para entender cómo funciona todo. En mi caso, una vez tuve que reparar un viejo motor de inducción que tenía en casa y, créeme, ese diagrama fue mi mejor amigo. Me ayudó a identificar cada parte y entender qué necesitaba arreglar. Es increíble lo útil que puede ser este tipo de información. ¡Gran artículo!

    5. Huayta. ¡Me encanta el tema del motor de inducción! La explicación del diagrama circular es súper útil. Recuerdo que cuando estaba en la universidad, tuve que hacer un proyecto donde diseñé un pequeño motor de inducción y esa parte del diagrama me salvó la vida. Siempre me pareció fascinante cómo cada parte tiene su función y encaja en el funcionamiento general. ¡Gracias por compartir!

    6. ¡Excelente post! El diagrama circular del motor de inducción es una herramienta muy útil para entender su funcionamiento y componentes. La claridad en la definición y en la construcción realmente ayuda a desglosar conceptos complejos. ¡Gracias por compartir tanta información valiosa!

    Deja un comentario