Diferencia entre condensador e inductor: descubre los secretos de los componentes eléctricos
Cuando se trata de comprender el fascinante mundo de la electricidad, es esencial dominar los conceptos básicos que marcan la diferencia entre los componentes que lo componen. Entre ellos, el condensador y el inductor son dos elementos fundamentales que, aunque pueden parecer similares a primera vista, desempeñan funciones completamente distintas en un circuito eléctrico. En este artículo, te invitamos a desentrañar las características únicas de cada uno, su funcionamiento y aplicaciones, proporcionando un viaje que promete aclarar tus dudas y enriquecer tu conocimiento sobre la electricidad. ¡Acompáñanos y descubre cómo estos componentes dan vida a la tecnología que utilizamos a diario!
¿Estás confundido acerca de los componentes electrónicos? En este artículo, vamos a despejar todas tus dudas sobre cual es la diferencia entre un condensador y un inductor. Si quieres entender cómo funcionan, para qué se utilizan y cómo se diferencian, ¡sigue leyendo!
Este artículo describe las diferencias prominentes entre un capacitor y un inductor que los distinguen en función de varios factores.
Condensador e Inductor son dos componentes eléctricos utilizados en circuitos eléctricos y electrónicos. Difieren en funcionalidad, flujo de corriente y capacidad de almacenamiento de energía, y tienen diferentes rendimientos bajo circuitos de flujo de corriente alterna (CA) y corriente continua (CC).
>¿Qué es un condensador?
A condensador se define como un dispositivo electrónico pasivo que se encarga de almacenar carga eléctrica en el campo electrostático. Debido a su incapacidad para producir y amplificar la energía eléctrica y la corriente en el circuito, se denomina elemento pasivo del circuito. Un condensador está compuesto por un par de placas metálicas paralelas. El espacio entre las dos placas metálicas se llena con un medio dieléctrico, generalmente aire o cualquier otro fluido. El capacitor almacena la energía potencial adquirida en el campo electrostático, el cual es generado por el par de placas del capacitor.
La representación simbólica de un capacitor se muestra a continuación en la Figura-1.
>
El término capacitancia en relación con el condensador se define como la capacidad del dispositivo capacitivo para almacenar la energía potencial como un campo electrostático. La unidad SI de capacitancia es Farad (F) La expresión para determinar la capacitancia del capacitor se da a continuación.
>Donde C es la capacitancia del capacitor, εr es la permitividad relativa del medio dieléctrico, ε0 es la permitividad del aire, A es el área de la sección transversal y d es la distancia entre las placas del capacitor.
¿Qué es un inductor?
Un inductor se define como un dispositivo electrónico pasivo que se encarga de almacenar energía eléctrica en un campo magnético. Debido a su incapacidad para producir y amplificar la energía eléctrica y la corriente en el circuito, como un capacitor, el inductor también es un elemento pasivo del circuito. Un inductor se construye simplemente enrollando una bobina de alambre.
La representación simbólica de un inductor se da en la Figura-2 a continuación.
>El término inductancia en relación con un inductor se define como la capacidad del dispositivo inductivo para almacenar la energía potencial en forma de campo magnético. La unidad SI de inductancia es Henry (H) La expresión para determinar la inductancia del inductor se da a continuación.
>Donde L es la inductancia del inductor, µ es la permeabilidad del núcleo, N es el número de vueltas en la bobina del inductor, l es la longitud media del núcleo magnético y A es el área de la sección transversal.
Diferencia entre condensador e inductor.
La siguiente tabla enumera las diferencias importantes entre un capacitor y un inductor.
Parámetro
Condensador
Inductor
Definición
Un capacitor es un dispositivo pasivo que solo almacena y disipa energía eléctrica en el campo eléctrico.
Un inductor es un dispositivo pasivo que solo almacena y disipa energía magnética en el campo magnético.
Construcción
Un condensador está formado por dos placas metálicas colocadas paralelas entre sí con un material aislante entre ellas llamado material dieléctrico.
Un inductor es un alambre enrollado simple.
Principio de funcionamiento
El capacitor opera sobre la base del mecanismo electrostático, según el cual, el capacitor comienza a almacenar carga eléctrica en su campo eléctrico cuando se carga con voltaje.
El inductor funciona sobre la base de un mecanismo electromagnético, según el cual la bobina del inductor genera un campo magnético cuando la corriente pasa a través de la bobina.
Dispositivo activo/pasivo
Un capacitor es un dispositivo pasivo ya que solo puede almacenar energía en su campo electrostático pero no puede producir o generar energía o corriente eléctrica en el circuito.
Un inductor también es un dispositivo pasivo, ya que solo puede almacenar energía en su campo magnético, pero no puede producir ni generar energía o corriente eléctrica en el circuito.
La alimentación de CA y CC afecta
Un condensador tiene la capacidad de permitir el flujo de corriente alterna (CA), pero prohíbe el flujo de corriente continua (CC) a través de él.
Un inductor tiene la capacidad de permitir el flujo de corriente continua (CC), pero prohíbe el flujo de corriente alterna (CA) a través de él.
Tipos
Los condensadores pueden ser de diferentes tipos, como supercondensadores, condensadores híbridos, condensadores de mica, condensadores cerámicos, etc.
Los inductores pueden ser de diferentes tipos según el material del núcleo, a saber: inductor de núcleo de aire, inductor de hierro, inductor de núcleo cerámico, conductor de núcleo de acero, etc.
Relación de voltaje y corriente
El voltaje se atrasa con la corriente por una diferencia de fase de 90 grados.
El voltaje se adelanta a la corriente en un ángulo de fase de 90 grados en un inductor.
flujo de corriente
No hay flujo de corriente entre las placas paralelas del capacitor.
Hay un flujo de corriente a través de la bobina de alambre en un inductor.
Unidad de medida
La unidad SI de medida de la capacitancia es Farad (F).
La unidad SI de medida de la inductancia es Henry (H).
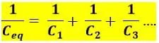
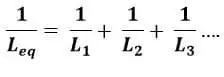
Combinación de series
La expresión para la disposición en paralelo de capacitores en un circuito es la siguiente.
>
>
>
>
>
>Conclusión
En conclusión, tanto los capacitores como los inductores son componentes pasivos que almacenan energía en diferentes formas. Pero además de esto, existen varias diferencias entre estos dos dispositivos, como su principio de funcionamiento, construcción, almacenamiento de energía, comportamiento en circuitos de CA y CC y aplicaciones que los diferencian.
La diferencia más destacada entre ellos es que un condensador almacena carga eléctrica en forma de campo electrostático, mientras que un inductor almacena energía magnética en forma de campo electromagnético. Por lo tanto, según la aplicación específica, podemos elegir entre un inductor y un capacitor según los factores y las diferencias resaltadas en este artículo.
[automatic_youtube_gallery type=»search» search=»Diferencia entre condensador e inductor.» limit=»1″]
Diferencia entre Condensador e Inductor
Cuando se trata de comprender el fascinante mundo de la electricidad, es esencial dominar los conceptos básicos que marcan la diferencia entre los componentes eléctricos. Entre ellos, el condensador y el inductor son dos elementos fundamentales que desempeñan funciones completamente distintas en un circuito eléctrico. En este artículo, exploraremos las características únicas de cada uno, su funcionamiento y aplicaciones.
¿Qué es un Condensador?
Un condensador es un dispositivo electrónico pasivo que almacena carga eléctrica en forma de un campo electrostático. Se compone de dos placas conductoras separadas por un material dieléctrico. Al aplicar una tensión, el condensador acumula energía en forma de carga eléctrica.
La unidad de medida de la capacitancia es el Farad (F). La capacitancia se define como:
C = εr * ε0 * (A/d),
donde:
- C = Capacitancia
- εr = Permitividad relativa del dieléctrico
- ε0 = Permitividad del vacío
- A = Área de la sección transversal
- d = Distancia entre las placas
¿Qué es un Inductor?
Un inductor es un dispositivo electrónico pasivo que almacena energía en forma de un campo magnético. Se construye enrollando un hilo conductor en una bobina. Cuando la corriente pasa a través de esta bobina, se genera un campo magnético que almacena energía.
La unidad de medida de la inductancia es el Henry (H). La inductancia se define como:
L = (µ * N² * A) / l,
donde:
- L = Inductancia
- µ = Permeabilidad del núcleo
- N = Número de vueltas en la bobina
- A = Área de la sección transversal
- l = Longitud media del núcleo
Diferencias Clave
| Parámetro | Condensador | Inductor |
|---|---|---|
| Definición | Almacena energía en un campo eléctrico | Almacena energía en un campo magnético |
| Construcción | Placas conductoras con dieléctrico | Bobina de hilo conductor |
| Funcionamiento | Funciona bajo principios electrostáticos | Funciona bajo principios electromagnéticos |
| Tipo de corriente | Permite corriente alterna (CA) y bloquea corriente continua (CC) | Permite corriente continua (CC) y bloquea corriente alterna (CA) |
Aplicaciones
Tanto los condensadores como los inductores tienen aplicaciones cruciales en la electrónica. Los condensadores se utilizan en circuitos de filtrado, acoplamientos y desacoplamientos, mientras que los inductores se emplean en transformadores, filtros y en la regulación de potencia.
Preguntas Frecuentes
1. ¿Cómo se utilizan los condensadores en la vida diaria?
Los condensadores se utilizan en casi todos los dispositivos electrónicos, como computadoras, radios y electrodomésticos, para estabilizar y almacenar energía eléctrica.
2. ¿Pueden los inductores perder su energía?
Sí, los inductores pueden perder energía debido a la resistencia en el conductor, lo que genera calor. Esto puede reducir su efectividad en aplicaciones de alto rendimiento.
3. ¿Qué pasa si se coloca un condensador en un circuito de corriente continua?
En un circuito de corriente continua, un condensador se cargará hasta alcanzar el voltaje de la fuente y luego no permitirá el flujo de corriente, actuando como un circuito abierto.
¡Buen artículo! La verdad es que siempre me costó entender la diferencia entre un condensador y un inductor, pero después de leer esto, todo tiene más sentido. Recuerdo cuando estaba en la uni, me hicieron un proyecto con circuitos y estaba perdido entre los dos. Al final, viendo cómo funcionan en la práctica, se aclaró mucho la cosa. ¡Gracias por compartirlo!
Pumariño: ¡Totalmente de acuerdo! A mí también me pasó lo mismo en la uni, trataba de memorizar las diferencias y al final lo entendí mejor cuando empecé a hacer prácticas con ellos. Recuerdo que una vez traté de armar un circuito con un condensador y un inductor y fue un verdadero lío hasta que vi cómo interactuaban. Me alegra que el artículo haya aclarado las cosas para muchos. ¡Gracias por compartir!