Escalado de entradas analógicas de PLC | Conversión de PLC

Escalado de entradas analógicas de PLC | Conversión de PLC

En un mundo donde la automatización industrial avanza a pasos agigantados, la correcta interpretación de las señales analógicas se vuelve crucial para optimizar procesos y garantizar la eficiencia en las operaciones. Los Controladores Lógicos Programables (PLC) son el corazón de muchas instalaciones industriales, y entender el escalado de sus entradas analógicas puede marcar la diferencia entre una gestión eficiente y complicaciones operativas. En este artículo, exploraremos cómo realizar la conversión de PLC de manera efectiva, transformando datos crudos en información valiosa que impulse tu producción. Prepárate para desentrañar los secretos que te permitirán maximizar el rendimiento de tus sistemas de control. ¡Sigue leyendo!

«Descubre cómo el escalado de entradas analógicas de tu PLC puede mejorar el rendimiento y eficiencia de tus procesos industriales. En este artículo te mostraremos todo lo que necesitas saber sobre la conversión de PLC y cómo esta tecnología puede revolucionar tu negocio. ¡No te lo pierdas!»

En este artículo, discutiremos el escalado de entrada analógica del PLC y su importancia. La tarjeta de entrada analógica de un controlador lógico programable (PLC) Allen-Bradley SLC500 utiliza un convertidor de analógico a digital de 16 bits (en su modelo 1746-NI4). La tarjeta de entrada analógica convierte una señal de 4-20 mA en un número digital cuyo rango es de 3277 (correspondiente a 4 mA) a 16384 (correspondiente a 20 mA).

El controlador lógico programable (PLC) tiene 4 tipos de entrada y salida. Entrada y salida analógica, así como entrada y salida digital. La Entrada Digital, así como la Salida digital, tienen solo 2 valores definidos en el PLC; ya sea un valor bajo o un valor alto. Por lo tanto, las señales digitales no necesitan escalado.

Pero en el caso de la entrada analógica y la salida analógica, el valor debe escalarse debido a los valores infinitos entre los valores de rango inferior y superior. La entrada analógica es muy importante porque los dispositivos de campo como los transmisores de presión, los transmisores de flujo, los transmisores de nivel y los transmisores de temperatura transfieren valores analógicos a la tarjeta de entrada analógica del PLC. Los valores analógicos están en forma de mA cuyo rango es de 4 mA a 20 mA.

Escalado de entradas analógicas de PLC | Conversión de PLC>Consideremos un caso en el que nuestro parámetro real de interés es la temperatura cuyo rango es de 0 grados centígrados a 1000 grados centígrados.

Escalado de entradas analógicas de PLC

El instrumento de campo (transmisor de temperatura en nuestro caso) recibe información del detector de temperatura de resistencia (RTD) o termopar u otro elemento de detección de temperatura principal. El valor de la temperatura está en el rango de 0 grados centígrados a 1000 grados centígrados. El valor de la temperatura se convierte a una escala de 4 mA a 20 mA usando la electrónica del transmisor o el microprocesador y se envía al PLC. El convertidor analógico a digital (ADC) de PLC convierte este valor de 4 mA a 20 mA en valores adecuados para su posterior procesamiento.

La siguiente tabla muestra varios valores correspondientes para valores de temperatura de campo de 0 grados centígrados a 1000 grados centígrados convertidos a una escala de 4 mA a 20 mA. También hay una columna que muestra los valores escalados analógicos de 3277 a 16384 conteos.

Temperatura Value
Valor mA
Escalado analógico

0
4
3277

250
8
6553.75

500
12
9830.5

750
dieciséis
13107.25

1000
20
16384

Escalado de entradas analógicas de PLC | Conversión de PLC>Aquí podemos calcular la pendiente de la línea usando la fórmula estándar:

y = mx + b

dónde
x = valor de rango inferior de escala analógica
m= pendiente de la recta
b es la intersección de la línea en el eje Y o simplemente la intersección en y de la línea

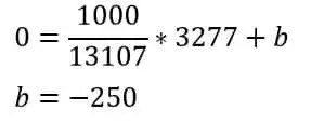
Resolvamos este ejemplo

Escalado de entradas analógicas de PLC | Conversión de PLC>Resolviendo para el intercepto en y

Escalado de entradas analógicas de PLC | Conversión de PLC>Por lo tanto, la ecuación de la recta es;

Escalado de entradas analógicas de PLC | Conversión de PLC>El escalado es muy común en todos los tipos de PLC. En Allen Bradley PLC, se proporciona un bloque especial para escalar. El bloque para escalar es SCL. El bloque solicita la tasa y las compensaciones para escalar en lugar de la pendiente (m) y la intersección (b) que calculamos en el ejemplo anterior. Por lo tanto, el programador debe tener el valor de la tasa y la compensación.

Una cosa importante a tener en cuenta es que la tasa en el bloque SCL se multiplicó por 10000 como se menciona claramente en el bloque. Esto se hace para convertir el número en fracciones en un número entero. El programa interno del bloque SCL hace que el valor sea normal al dividir el valor por 10000 y luego usarlo en los cálculos.

Para calcular el valor de la tasa para nuestro ejemplo, necesitamos la pendiente, es decir (1000/13107). Luego, debemos multiplicar el valor por 10000 para usar el valor directamente en el bloque de escala SCL.

Escalado de entradas analógicas de PLC | Conversión de PLC>

También necesitamos poner el valor de compensación que es «-250» en nuestro caso, es decir, b de nuestros cálculos anteriores. El bloque SCL también tiene un campo de Origen y Destino. La fuente es el número de canal de entrada analógica o cualquier otra dirección de donde necesitamos el valor. En la dirección de destino, el valor se almacenará.

Diferentes tarjetas de entradas analógicas de PLC tienen diferentes valores de escalado analógico o conteos sin procesar. El cálculo de la tasa, así como la compensación, juega un papel muy importante. Cualquier pequeño error también puede conducir a grandes problemas.

Un punto importante a considerar al cambiar el valor del bloque de escala es que nunca cambie el valor del bloque de escala cuando el programa está en línea. Si se cambia el valor cuando el programa está en línea, los cambios afectarán el funcionamiento de la planta.

Error 403 The request cannot be completed because you have exceeded your quota. : quotaExceeded

[automatic_youtube_gallery type=»search» search=»Escalado de entradas analógicas de PLC | Conversión de PLC» limit=»1″]

Escalado ‌de Entradas Analógicas de PLC ⁤| Conversión de PLC

En un mundo donde la automatización industrial avanza a ⁣pasos agigantados, la correcta interpretación de las señales analógicas es crucial para optimizar procesos y garantizar la eficiencia en las operaciones. Los Controladores Lógicos ‍Programables (PLC) ⁤son el ‍corazón de muchas instalaciones industriales, y entender el escalado de sus entradas analógicas puede marcar la diferencia entre una gestión eficiente y complicaciones operativas. Este ⁣artículo explora cómo realizar la‍ conversión de PLC de manera ‍efectiva, transformando datos crudos⁢ en información valiosa que impulse tu producción.

¿Qué es el Escalado de Entradas‍ Analógicas?

El escalado es el proceso de convertir ​una señal analógica,⁤ como la que se recibe ​de sensores y transmisores, en un formato⁣ que los PLC puedan interpretar y utilizar. Para los PLC, las señales analógicas son generalmente de 4-20⁢ mA ‌y deben⁢ ser convertidas a un rango digital, por ejemplo, entre 3277‍ y 16384 ‍en un PLC Allen-Bradley SLC500 utilizando un convertidor A/D de 16 bits.

Importancia del Escalado

  1. Optimización⁣ de Procesos: Mejora ⁤el rendimiento y ​la precisión de los sistemas de ‌control.
  2. Facilitación de Decisiones: Proporciona datos estimados y precisos que son esenciales para la ​toma de decisiones informadas.
  3. Integración de Sistemas: ⁤ Permite la compatibilidad entre‌ diferentes‌ dispositivos y‌ estándares de señal.

Cómo⁣ Realizar el Escalado de Entradas Analógicas

Para llevar a cabo el escalado de entradas analógicas en un⁣ PLC, sigue estos pasos:

  1. Obtener el rango de salida del sensor utilizado (p.ej., 4-20 ‌mA).
  2. Definir el rango‌ de escalado, que es el rango digital (p.ej., 3277 a‍ 16384).
  3. Utilizar la fórmula de escalado:

Escalado = ((Valor_mA – Mínimo_mA) / (Máximo_mA – Mínimo_mA)) * (Máximo_Digital -⁤ Mínimo_Digital) + ⁢Mínimo_Digital

Ejemplo Práctico

Consideremos un sensor de temperatura que envía ‍una señal de 4-20 mA, y queremos ‌escalar esto a un rango de ⁣0-1000 grados Celsius. La relación se puede​ establecer mediante la siguiente tabla:

Temperatura (°C) Valor mA Escalado analógico
0 4 3277
250 8 6553.75
500 12 9830.5
750 16 13107.25
1000 20 16384

Herramientas para el Escalado en PLCs

En PLCs como ‌Allen-Bradley, ⁢existe un bloque especial llamado SCL (Scale) que facilita⁢ el escalado. Este bloque permite establecer ⁢las​ tasas y compensaciones necesarias para realizar el escalado, eliminando la necesidad de cálculos manuales complejos.

Preguntas Frecuentes (FAQs)

¿Cuál es la diferencia entre señales analógicas ⁢y digitales en un PLC?

Las señales analógicas tienen⁤ valores continuos ⁣que ⁢pueden variar en un rango, mientras‍ que las señales digitales solo tienen dos estados: alto o bajo.‌ Esto⁣ significa que las señales analógicas requieren un proceso de escalado, mientras que las digitales no.

¿Por qué es​ importante escalar las entradas analógicas?

Escalar las entradas analógicas es fundamental para⁢ obtener mediciones precisas y utilizables⁤ por el sistema de control. Sin el escalado adecuado, los ⁤datos crudos no pueden ser interpretados correctamente, ⁣lo que puede llevar a errores en la operación del sistema.

¿Cómo afecta el escalado a la precisión del PLC?

Un correcto escalado ​mejora la precisión al asegurar que las señales analógicas se traducen correctamente en ‍valores digitales. Esto ‍permite una mejor representación de los procesos industriales, optimizando la ​respuesta en situaciones críticas.

¿Qué ⁣tipo de sensores se utilizan comúnmente en aplicaciones de escalado?

Los sensores más comunes son‌ los transmisores de temperatura, presión, flujo y nivel. Estos dispositivos envían señales analógicas hacia el‍ PLC, que necesitan ser escaladas para un adecuado análisis y operación.

Conclusión

El escalado de entradas analógicas en PLCs no solo es una función técnica, sino ​un componente clave en la ⁤modernización y optimización de procesos industriales. Al entender y aplicar correctamente el escalado, puedes maximizar la eficacia de tus sistemas de automatización. Para más información ⁣sobre el escalado​ de entradas analógicas y la conversión en PLC, consulta ‍recursos adicionales como Infoplc ⁢y Itztli.

3 comentarios en «Escalado de entradas analógicas de PLC | Conversión de PLC»

  1. Butragueño. ¡Qué interesante el artículo! Me gustaría compartir que cuando estuve trabajando en un proyecto de automatización, tuve que hacer una conversión de señales analógicas de un PLC a digital y, la verdad, fue un reto. Pero al final, logramos optimizar mucho el proceso. Siempre es fascinante ver cómo estas técnicas pueden transformar la eficiencia en nuestras operaciones.

  2. Maneu: ¡Hola Butragueño! Totalmente de acuerdo, la conversión de señales puede ser un verdadero juego de ajedrez a veces. Recuerdo cuando me topé con un problema similar en una planta donde trabajaba; las entradas analógicas de los sensores estaban causando muchas interfases raras. Pasamos semanas ajustando y calibrando hasta que conseguimos la estabilidad que necesitábamos. Al final, ver cómo todo funcionaba a la perfección fue una satisfacción enorme. Este tipo de soluciones inteligentes realmente hacen la diferencia, ¿no crees?

  3. Mhellhauo: ¡Totalmente, Butragueño! Me encanta cómo este tipo de conversiones pueden ser un dolor de cabeza al principio, pero luego se convierten en verdaderos aliados. Una vez, me enfrenté a un desafío similar y después de ajustar varias veces las configuraciones, logró genialidad al final. Me acuerdo que me sentí como un héroe de la automatización cuando todo se alineó y empezamos a ver resultados. Esas victorias son las que realmente hacen que valga la pena, ¿verdad?

Deja un comentario