Factor de límite de precisión del transformador de corriente: Descubriendo su importancia en la medición eléctrica
En el fascinante mundo de la medición eléctrica, los transformadores de corriente (TC) juegan un papel crucial al garantizar que las grandes corrientes sean transformadas a valores más manejables para su análisis. Sin embargo, un aspecto a menudo pasado por alto es el "factor de límite de precisión", un término que puede parecer técnico, pero que es fundamental para asegurar la exactitud en nuestras mediciones. En este artículo, exploraremos qué es este factor, cómo influye en el rendimiento de los transformadores de corriente y por qué su comprensión es clave para ingenieros, técnicos y apasionados de la electricidad. ¡Acompáñanos en esta exploración para desentrañar uno de los secretos mejor guardados de la medición eléctrica!
Si estás interesado en los transformadores de corriente y en cómo afectan a la precisión de tus mediciones eléctricas, este artículo es para ti. En él, exploraremos en detalle el factor de límite de precisión del transformador de corriente, un concepto clave para comprender su funcionamiento y sus posibles limitaciones. Descubre cómo este factor puede influir en la exactitud de tus mediciones y cómo mitigar sus efectos. ¡No te lo pierdas!
¿Qué es el factor límite de precisión (ALF) de CT?
Primero comprendamos cuál es el factor límite de precisión del transformador de corriente. Hay tres tipos de transformadores de corriente ampliamente utilizados en una red eléctrica con fines de protección y medición.
La clase de medición CT se utiliza para la medición de parámetros eléctricos. El transformador de corriente de clase de protección “TC clase P” se utiliza para la protección de la red eléctrica.
La clase de protección CT “Clase PS CT” se utiliza para la protección diferencial de transformadores, motores y generadores. La clase de medición CT está diseñada para mantener su precisión de medición durante el funcionamiento normal de la red eléctrica, la precisión durante la condición de falla no importa para la clase de medición CT.
Sin embargo, la clase de medición CT debe tener un factor de seguridad del instrumento (ISF) adecuado para que el equipo conectado a él permanezca seguro durante condiciones de falla. La clase de medición CT se satura durante la falla y, por lo tanto, protege los instrumentos de medición conectados a ella. Sin embargo, en el caso de una falla en una red eléctrica, el factor límite de precisión para la clase de protección CT es de suma importancia.
Por lo tanto, antes de seleccionar la clase de protección, se debe calcular la corriente de falla de la red y, en consecuencia, se debe seleccionar la clase de protección CT. La clase de protección CT debe mantener la precisión de la medición durante las condiciones de falla para proteger la red eléctrica.
Definición del factor LÍMITE de precisión (ALF)

En>
Si la corriente en el primario de CT excede más de 20 veces la corriente nominal primaria, la corriente secundaria será distorsionado y la protección no está garantizada. Por lo tanto, es muy importante seleccionar correctamente el ALF de CT para una protección confiable de las redes eléctricas.
El factor límite de precisión real (ALF) de CT puede diferir del ALF nominal. El factor límite de precisión (ALF) depende de;
- Carga interna de bobina secundaria CT
- Carga real de TC
¿Cómo calcular el ALF real de CT?
El factor límite de precisión real de CT se puede calcular utilizando la siguiente fórmula matemática.
Fórmula de CT ALF

>
Problema Resuelto de Factor Límite de Precisión de TC
Una clase de protección CT tiene una clasificación de 200/5,5P20,15 VA. La resistencia secundaria interna del TC es de 0,08 Ω, la carga secundaria (incluidos los cables y el relé) es 0,118 Ω. Calcule el factor límite de precisión real de CT.

>Efecto de una mayor carga de TC en ALF de TC
El ALF real de CT es 68. El ALF de CT cambia con un cambio en la carga. Tomemos el mismo ejemplo con las diferentes cargas. Deje que la carga de CT sea 0.335 Ω. El ALF real se puede calcular de la siguiente manera.
>El ALF real se reduce con el aumento de la carga de CT. La carga de TC más pequeña conducirá a un factor límite de precisión más alto y el TC puede dar una lectura confiable incluso con un ALF más alto.
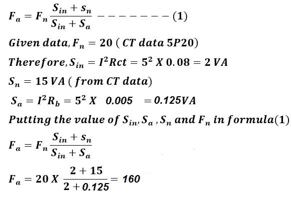
Efecto de una menor carga de TC en ALF de TC
Ahora, deje que la carga de CT sea 0.005 Ω. El ALF real de CT se puede calcular de la siguiente manera.

>Por lo tanto, CT ALF aumenta con una disminución en la carga de CT. El gráfico entre la carga de CT y el ALF de CT real se muestra a continuación.

>Por lo tanto, la carga de CT debe ser lo más baja posible para obtener el mejor factor límite de precisión de CT.
Artículos Relacionados
-
- Voltaje de punto de inflexión de CT
- Carga de TC
- Clase de precisión de CT
- Factor de seguridad del instrumento (ISF) de CT
[automatic_youtube_gallery type=»search» search=»Factor de límite de precisión del transformador de corriente» limit=»1″]
Factor de Límite de Precisión del Transformador de Corriente
En el fascinante mundo de la medición eléctrica, los transformadores de corriente (TC) juegan un papel crucial al garantizar que las grandes corrientes sean transformadas a valores más manejables para su análisis. Uno de los aspectos más técnicos, pero fundamentales, es el factor de límite de precisión (ALF), que asegura la exactitud en las mediciones. En este artículo, exploraremos qué es este factor, cómo influye en el rendimiento de los transformadores de corriente y por qué es clave para ingenieros y técnicos.
¿Qué es el Factor Límite de Precisión (ALF)?
El factor límite de precisión del transformador de corriente se define como la relación entre la corriente primaria del límite de precisión nominal y la corriente primaria nominal. Este factor indica hasta qué punto un transformador puede operar en condiciones de alta carga sin perder precisión.
Clasificación de los Transformadores de Corriente
Existen tres tipos de transformadores de corriente ampliamente utilizados en la red eléctrica:
- Clase de Medición: Utilizado para la medición de parámetros eléctricos.
- Clase de Protección: Se utiliza para la protección de la red eléctrica.
- Clase PS: Protección diferencial de transformadores, motores y generadores.
Importancia del ALF en las Mediciones Eléctricas
El ALF es crucial durante condiciones de falla en la red eléctrica. Permite que los transformadores de corriente mantengan la precisión necesaria para proteger los sistemas eléctricos.
La clase de protección debe ser seleccionada cuidadosamente para asegurar que el ALF se mantenga dentro de los límites adecuados durante condiciones anormales de operación.
Definición Específica de ALF
Por ejemplo, un transformador de corriente que se clasifica como 5P10 indica que esta clase tiene un error máximo de 5 al operar con una corriente primaria de hasta 10 veces la nominal. Esto implica que el transformador no debe saturarse y debe mantener su precisión durante eventos de sobrecarga.
¿Cómo Afecta el ALF a las Instalaciones Eléctricas?
Un ALF bajo puede resultar en inexactitudes de medición que, a su vez, pueden generar problemas serios en la protección y control de las redes eléctricas. Por ende, es esencial calcular adecuadamente las corrientes de falla antes de seleccionar un transformador de corriente adecuado.
FAQ – Preguntas Frecuentes
¿Qué ocurre si el transformador de corriente se satura?
Si un transformador de corriente se satura, perderá su capacidad para medir con precisión, lo que puede resultar en lecturas erróneas. Esto es particularmente crítico en situaciones de falla, donde la protección del sistema es vital.
¿Cómo se determina la clase de protección adecuada para un transformador?
La clase de protección apropiada se determina al analizar la corriente de falla en la red y asegurándose de que el transformador de corriente seleccionado pueda manejar estas corrientes sin saturarse y manteniendo la precisión requerida.
¿Cuáles son las implicaciones de un ALF inapropiado?
Un ALF inapropiado puede resultar en daños al equipo, fallos en la protección del sistema, y mayores costos operacionales debido a ineficiencias en la medición y gestión de energía.
Conclusión
El factor de límite de precisión del transformador de corriente es un elemento fundamental para garantizar mediciones precisas y confiables. Entender y elegir el ALF adecuado no solo puede optimizar las instalaciones eléctricas, sino también proteger la infraestructura de riesgos potenciales. Para una lectura más profunda sobre transformadores de corriente, consulta más en ingenieriadesubestaciones.com y lescop.com.
