Resistencia del devanado del transformador: fórmula y explicación

Resistencia del devanado del transformador: fórmula y explicación

En el mundo de la ingeniería eléctrica, los transformadores juegan un papel fundamental en la transmisión y transformación de energía. Pero, ¿te has preguntado alguna vez cuál es el secreto detrás de su eficiencia y rendimiento? Uno de los aspectos clave que determina la efectividad de un transformador es la resistencia de su devanado. En este artículo, te invitamos a descubrir la fórmula que la rige y a desentrañar su importancia en el funcionamiento de estos dispositivos. Prepárate para sumergirte en un viaje educativo que te revelará los conceptos esenciales que todo ingeniero y técnico debe conocer sobre la resistencia del devanado del transformador. ¡No te lo pierdas!

¿Sabías que la resistencia del devanado es un factor crucial en el funcionamiento eficiente de un transformador? En este artículo, te daremos una fórmula simple y clara para calcular la resistencia del devanado y te explicaremos su importancia en el rendimiento de este dispositivo fundamental en la distribución de energía eléctrica. ¿Estás listo para sumergirte en el fascinante mundo de los transformadores? ¡Vamos a ello!

Un transformador ideal tiene cero resistencia de devanado, pero el devanado primario y secundario del transformador tiene cierta resistencia. En este artículo, discutiremos la resistencia del devanado del transformador y su cálculo.

El devanado del transformador está hecho de cobre o aluminio, y la resistividad del cobre y el aluminio es de 1,68 x 10-8 Ω-m y 2,65 x 10-8 Ω-m respectivamente. El devanado del transformador está hecho de muchas vueltas, por lo que se usa cobre o aluminio en metros.

La resistencia del conductor es proporcional a la longitud del cable y la resistividad, e inversamente proporcional al área de la sección transversal. Por lo tanto, los devanados primario y secundario del transformador tienen una resistencia finita. En un transformador ideal, la resistencia del devanado se considera cero, lo cual es totalmente hipotético.

La caída de voltaje en el transformador es causada por la caída de voltaje en la resistencia y la reactancia del transformador. En esta sección, estamos considerando solo el cálculo de la resistencia del transformador. La resistencia del devanado primario y secundario se muestra a continuación;

Resistencia del devanado del transformador: fórmula y explicación>La resistencia del devanado se puede transferir de primario a secundario o viceversa. La caída de voltaje permanece igual, ya sea que la resistencia primaria se transfiera al lado secundario o la resistencia del lado secundario se transfiera al lado primario. Cuando la resistencia del transformador se refiere a un lado del transformador, el cálculo de la resistencia y la reactancia del transformador se vuelve muy fácil.

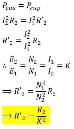
Antes de saber cómo transferir la resistencia de primario a secundario o viceversa, es fundamental comprender la relación de transformación de tensión del transformador. La relación de transformación de voltaje del transformador se indica con la letra «K».

Resistencia del devanado del transformador: fórmula y explicación>Caso 1:

Resistencia equivalente del transformador cuando la resistencia secundaria se transfiere al lado primario

Resistencia del devanado del transformador: fórmula y explicación>Deja que la R1 y R2 ser la resistencia de los devanados primario y secundario del transformador, y yo1 y yo2 ser las corrientes primaria y secundaria. R’2 es la resistencia equivalente del secundario referida al lado primario.

Cuando la resistencia secundaria se denomina primaria, los parámetros de rendimiento del transformador, como la regulación de tensión y las pérdidas, siguen siendo los mismos. La pérdida de cobre en el devanado secundario cuando2 la corriente que fluye a través de él se da como;

Resistencia del devanado del transformador: fórmula y explicación>Ahora, si la resistencia secundaria se refiere al lado primario, la pérdida de cobre en el primario debido a R2‘ es;

Resistencia del devanado del transformador: fórmula y explicación>La pérdida de cobre calculada en la ecuación (1) y (2) es igual, por lo que

Resistencia del devanado del transformador: fórmula y explicación>Así, la resistencia total referida al lado primario es;

Resistencia del devanado del transformador: fórmula y explicación>Caso2:

Resistencia equivalente del transformador cuando la resistencia primaria se transfiere al lado secundario

Resistencia del devanado del transformador: fórmula y explicación>Deja que la R1 y R2 Sea la resistencia de los devanados primario y secundario del transformador. I1 y yo2 son las corrientes primaria y secundaria. R’2 es la resistencia equivalente del secundario referida al lado primario.

Cuando la resistencia secundaria se refiere al lado primario, el parámetro de rendimiento del transformador, como la regulación de voltaje y las pérdidas, siguen siendo los mismos. La pérdida de cobre en el devanado secundario cuando2 la corriente que fluye a través de él se da como;

Resistencia del devanado del transformador: fórmula y explicación>Ahora, si la resistencia primaria se refiere al lado secundario, la pérdida de cobre en el secundario debido a R1‘ es

Resistencia del devanado del transformador: fórmula y explicación>La pérdida de cobre calculada en la ecuación (4) y (5) es igual,

Resistencia del devanado del transformador: fórmula y explicación>Así, la resistencia total referida al lado secundario es;

Resistencia del devanado del transformador: fórmula y explicación>

Error 403 The request cannot be completed because you have exceeded your quota. : quotaExceeded

[automatic_youtube_gallery type=»search» search=»Resistencia del devanado del transformador: fórmula y explicación» limit=»1″]

Resistencia del Devanado del⁢ Transformador: Fórmula y Explicación

En ⁢el mundo de⁤ la ingeniería eléctrica, los⁣ transformadores juegan un papel fundamental en la⁤ transmisión y transformación de energía. Pero, ¿te has preguntado alguna vez cuál es el secreto detrás de su eficiencia y rendimiento? Uno de los aspectos clave que determina la efectividad de un ‍transformador es la resistencia‌ de su‍ devanado.

¿Qué es la ​Resistencia​ del Devanado?

La resistencia del devanado en un transformador se refiere a la oposición ⁤que presentan los devanados (primario y secundario) al paso de la corriente eléctrica. Aunque un transformador ideal tendría cero resistencia, en la práctica, siempre existe cierta ‌resistencia que afecta su​ rendimiento.

Cálculo de la Resistencia del ​Devanado

La ⁣resistencia de un conductor se puede calcular usando la⁢ siguiente fórmula:

R = ρ⁢ × (L / ​A)

  • R – Resistencia‍ (Ohmios)
  • ρ – Resistividad del material (Ω·m)
  • L – Longitud del conductor ⁢(m)
  • A ‍ – Área de la sección transversal del conductor (m²)

Por ejemplo, la resistividad del cobre es de 1,68 ×​ 10-8 Ω·m y del aluminio es de ⁣ 2,65 × 10-8 Ω·m. Al considerar un devanado de cobre con un área de sección transversal conocido, podemos calcular su resistencia ‍para diferentes longitudes.

Importancia de la Resistencia del Devanado

La resistencia del devanado⁤ es crucial ​para el funcionamiento eficiente de un transformador, ya que influye directamente en la caída de voltaje ⁣y en la ‌cantidad ⁤de energía perdida en forma de​ calor. ​Una⁣ resistencia demasiado alta puede resultar en un exceso de calor y, potencialmente, en daños al transformador.

Transferencia de Resistencia entre Devanados

La resistencia del devanado se puede transferir de un lado ⁤(primario o secundario) a otro. Esto es importante ⁢al analizar el comportamiento del transformador bajo diferentes condiciones operativas. La relación⁣ de transformación de tensión se denota como K, y es fundamental para comprender cómo ‍se distribuye la resistencia e impedancia entre los devanados.

Preguntas Frecuentes (FAQs)

¿Por qué es importante‌ medir la​ resistencia de los devanados en un transformador?

Medir la resistencia de los devanados permite verificar conexiones adecuadas y detectar condiciones que‍ puedan afectar el rendimiento y la seguridad del transformador, tales⁢ como cortocircuitos o⁣ devanados⁤ dañados. Esto es parte del mantenimiento preventivo ​necesario para asegurar una operación confiable del transformador.[[2]]

¿Cómo ⁣afecta la resistencia la eficiencia del transformador?

La resistencia en los devanados provoca una caída de voltaje que puede disminuir ‌la eficiencia de un transformador. A mayor resistencia, mayor‌ será la pérdida⁢ de energía en forma de calor, lo que a su vez puede llevar a un aumento en la temperatura de ⁢operación del transformador y afectar su vida útil.

Para más información sobre el mantenimiento y medición de resistencias en transformadores, te invitamos a consultar este ⁢artículo adicional [[1]].

5 comentarios en «Resistencia del devanado del transformador: fórmula y explicación»

  1. ¡Hola zemizoboA! La verdad es que el artículo me pareció súper interesante y útil. Nunca había pensado en la resistencia del devanado del transformador de esa manera. Recuerdo que en una ocasión, cuando trabajé en una instalación eléctrica, tuvimos que medir la resistencia en un transformador viejo y la diferencia en el rendimiento fue notable. Ahora entiendo un poco más por qué es tan importante. ¡Gracias por compartirlo!

  2. It looks like your request was cut off. Could you please provide more details on what you would like me to write? For example, are you asking for a short story, a summary, a poem, or something else? Let me know how I can help!

  3. Georgy.: ¡Hola a todos! Estoy de acuerdo con zemizoboA, este artículo me abrió los ojos sobre la resistencia de los devanados. Yo también tuve una experiencia similar cuando revisábamos un transformador en mi trabajo. La verdad es que no tenía idea de cuánta diferencia podía hacer la resistencia. Después de leer esto, entiendo que cuidar esos detalles es clave para que todo funcione bien. ¡Excelente tema!

  4. Urdaniz: ¡Hola a todos! La verdad es que el artículo me resonó bastante. Yo también he tenido que lidiar con resistencias en transformadores y, sorprendentemente, hasta un pequeño cambio puede afectar todo el sistema. Recuerdo que un día un compañero se dio cuenta de que había una resistencia más alta de lo normal y, tras ajustar eso, el rendimiento mejoró muchísimo. ¡Es increíble lo que se puede aprender sobre estos detalles! ¡Gracias por compartir esta información!

  5. I found the article on transformer winding resistance incredibly insightful! It’s fascinating how the formula presented can greatly affect transformer efficiency. A few years ago, I worked on a project where we had to calculate the winding resistance to ensure optimal performance. Understanding the importance of this parameter helped us avoid potential overheating issues, ultimately saving us in repair costs. This piece does a great job of breaking down a complex topic for those looking to deepen their knowledge!

Deja un comentario