Inductancia mutua: definición, explicación, fórmula

Inductancia Mutua: Definición, Explicación, Fórmula

En el fascinante mundo de la electricidad y el magnetismo, la inductancia mutua se erige como un concepto fundamental que revela cómo las corrientes eléctricas interactúan entre sí de maneras sorprendentes. Este fenómeno, que puede parecer abstracto a primera vista, tiene aplicaciones prácticas en dispositivos como transformadores y filtros eléctricos, vitales en nuestra vida diaria. En este artículo, desglosaremos la inductancia mutua: desde su definición y los principios que la rigen, hasta la fórmula que nos permite cuantificarla. Prepárate para adentrarte en un tema que combina teoría y práctica de una manera cautivadora, iluminando el camino hacia una comprensión más profunda de los fenómenos eléctricos que nos rodean. ¡Comencemos!

«La inductancia mutua es uno de los conceptos clave en el fascinante mundo de la electrónica. Si alguna vez te has preguntado cómo funciona la transferencia de energía entre dos circuitos, estás en el lugar correcto. En este artículo, vamos a explorar a fondo la definición, explicación y fórmula de la inductancia mutua. ¡Prepárate para descubrir cómo dos bobinas pueden interactuar y generar cargas eléctricas de forma sorprendente!»

Definición: El fenómeno de la inductancia mutua ocurre entre dos bobinas vecinas. La primera bobina, cuando se alimenta con voltaje de CA, toma corriente y genera flujo. El mismo flujo se une a la segunda bobina e induce una fem en ella. La dirección de la fem inducida es tal que se opone a la razón de su producción. La fem generada en la segunda bobina se denomina fem mutuamente inducida y el fenómeno se denomina como inductancia mutua. su unidad es Enrique (H).

Tomemos un ejemplo para entender el fenómeno de la inductancia mutua.

Inductancia mutua: definición, explicación, fórmula>Dos bobinas A y B se colocan una al lado de la otra. Cuando cerramos el interruptor S, el circuito se completa y la bobina A consume corriente. La corriente consumida por la bobina A establece el flujo magnético en el núcleo. El mismo flujo se une a la bobina B e induce un voltaje en ella. La tasa de cambio de corriente se realiza variando la resistencia R. Con el cambio en la corriente de la bobina A, el flujo magnético que se une a la bobina B cambia. El voltaje inducido en la bobina B cambia con un cambio en el flujo magnético.

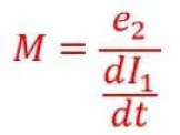
Así, el voltaje inducido en la bobina B depende de ;

  • Inductancia mutua (M) de las bobinas
  • Tasa de cambio de corriente en la bobina A

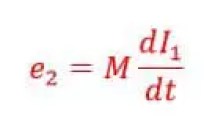
La expresión matemática para la fem inducida en la bobina B es;

Inductancia mutua: definición, explicación, fórmulaLa>

Fórmula de inductancia mutua

Inductancia mutua: definición, explicación, fórmula>

La inductancia mutua de dos bobinas es 1 Henry si la fem inducida en la bobina B es de 1 voltio cuando la tasa de cambio de corriente en la bobina A es de 1 amperio/segundo.

También podemos expresar la inductancia mutua de otra manera como se muestra a continuación.

Inductancia mutua: definición, explicación, fórmula>Igualando las ecuaciones (2) y (3), obtenemos,

Inductancia mutua: definición, explicación, fórmula>Los siguientes factores afectan la inductancia mutua (M).

  • Número de vueltas en la bobina secundaria (En el caso anterior bobina B)
  • área de la sección transversal
  • Distancia entre las bobinas

Acoplamiento mutuo en el circuito magnético

El acoplamiento mutuo existe cuando dos o más bobinas están enrolladas en el mismo núcleo magnético. Se dice que las bobinas están acopladas entre sí. Cuando cambia la corriente en una bobina, se produce un flujo magnético que se vincula con la propia bobina y con la otra bobina vecina. Por lo tanto, existen autoinductancias e inductancias mutuas en cada bobina. Por ejemplo, los devanados primario y secundario del transformador están mutuamente acoplados.

Error 403 The request cannot be completed because you have exceeded your quota. : quotaExceeded

[automatic_youtube_gallery type=»search» search=»Inductancia mutua: definición, explicación, fórmula» limit=»1″]

Inductancia Mutua: Definición, Explicación, Fórmula

¿Qué es la Inductancia Mutua?

La inductancia mutua es un fenómeno que ocurre entre dos bobinas cercanas, donde un​ cambio en la corriente​ a ⁣través de una bobina induce una fuerza electromotriz ⁣(fem) en la otra.

Explicación del Fenómeno

Cuando una‍ bobina se⁤ alimenta con‌ corriente alterna (CA), ​genera un campo magnético a⁣ su alrededor. Este ⁤campo magnético ⁤interfiere con una bobina‌ cercana, provocando que se induzca una corriente en⁢ ella. Esto ‍se debe a la variación del flujo⁤ magnético, el cual es‍ proporcional‍ a la intensidad de la‌ corriente en‍ la primera bobina.

La⁢ dirección de la‌ fem inducida se opone⁤ a la variación que la produce, según la ley‌ de Lenz.‌ Este‍ fenómeno se ⁤denomina ‌ fem mutuamente inducida, y ‍la medida de esta ⁤capacidad de inducir ⁢fem se llama inductancia mutua.

Fórmula de la Inductancia Mutua

La inductancia mutua se cuantifica usando la siguiente fórmula:

M = Φ / I

donde:

  • M = Coeficiente de inductancia mutua (en ⁤Henrios, ⁤H)
  • Φ = Flujo magnético a través de la bobina secundaria (en ​Webers, Wb)
  • I = Intensidad ‍de corriente en ‌la bobina primaria (en Amperios, A)

Ejemplo ⁢Práctico

Imaginemos dos bobinas, A y B, colocadas una al lado de la otra:

  1. Cuando se cierra el interruptor S, la‍ bobina A consume corriente.
  2. La corriente que fluye por la‌ bobina A establece un⁣ campo magnético que atraviesa la bobina B.
  3. Este cambio en el flujo magnético ⁤induzca‌ una corriente en la bobina​ B.

Este ejemplo⁢ ilustra cómo‌ la inductancia mutua permite la transferencia de energía entre circuitos a través de​ campos magnéticos.

Aplicaciones de‍ la Inductancia Mutua

La inductancia mutua es esencial en varios dispositivos eléctricos‌ y tecnológicos, incluyendo:

  • Transformadores: ⁢Utilizan la inductancia mutua para transferir energía eléctrica entre circuitos de diferente voltaje.
  • Filtroseléctricos: Aprovechan la⁢ inductancia mutua para ‌eliminar ruido no deseado en señales eléctricas.
  • Bobinas de‍ inducción: Comunes en ⁢sistemas de carga inalámbrica.

Preguntas Frecuentes (FAQs)

¿Cuál es la ⁢unidad de​ la inductancia mutua?

La ‍unidad‍ de inductancia mutua ​es el Henrio (H), que mide la cantidad de flujo magnético que se induce por una corriente dada ​en ⁢una bobina.

¿Cómo se mide la inductancia mutua?

La ​inductancia​ mutua ⁢se mide típicamente usando ​equipos de laboratorio ⁢específicos que analizan el voltaje inducido y la corriente en las bobinas⁣ involucradas.

¿Qué es ⁣la ley de Lenz?

La ley de Lenz establece que la dirección de la corriente inducida ⁢siempre será tal que se oponga al‍ cambio en el flujo magnético​ que la produce, lo que es una manifestación de la conservación de energía.

Para más información sobre inductancia mutua⁢ y fenómenos eléctricos,⁤ visita​ OpenStax o consulta⁢ otros⁣ recursos ​de Física ⁤Universitaria.

4 comentarios en «Inductancia mutua: definición, explicación, fórmula»

  1. Arroliga: ¡Totalmente de acuerdo! A mí también me pasó lo mismo en la uni, pensé que nunca lo entendería. Pero al hacer prácticas con circuitos, ¡puff! todo se volvió más claro. La inductancia mutua es un tema que parece complicado, pero cuando comienzas a verlo en acción, es fascinante. Gracias por refrescarme la memoria con este artículo, definitivamente me trajo buenos recuerdos.

  2. ¡Genial artículo! Me hizo recordar cuando estaba en la uni y tuvimos que hacer un proyecto sobre inductancia mutua. La explicación que diste es clara y creo que ayuda mucho a entender cómo funciona en la práctica. Recuerdo que al principio me costó un montón, pero una vez que logramos aplicar la fórmula, todo empezó a tener sentido. ¡Gracias por compartir esto!

  3. It seems like your request got cut off. Could you please provide more details about what you’d like the «si» to be about? For example, are you looking for a short story, a poem, a summary, or something else? Let me know how I can assist you!

  4. Accesecarseel: ¡Qué buena onda que les haya servido! A mí me pasó algo similar. En mi caso, lo que más me ayudó fue hacer un par de experimentos con bobinas. La primera vez que vi la teoría en acción, ¡me quedé boquiabierto! Nunca pensé que podría apreciar algo tan técnico. La inductancia mutua es como un juego entre los circuitos. Así que sí, ese «puff» que mencionas es totalmente real, ¡me encanta!

Deja un comentario