Inductor de núcleo de hierro: construcción, fórmula, trabajo y aplicaciones

Inductor de núcleo de hierro: construcción, fórmula, trabajo y aplicaciones

En el fascinante mundo de la electrónica, los inductores juegan un papel crucial en el funcionamiento de numerosos dispositivos que utilizamos a diario. Entre ellos, el inductor de núcleo de hierro destaca por su eficiencia y versatilidad, permitiendo el almacenamiento y la gestión de energía de formas que a menudo pasan desapercibidas. Pero, ¿qué lo hace tan especial? En este artículo, exploraremos su construcción y fórmula, cómo trabaja este componente esencial y las diversas aplicaciones que lo convierten en un aliado inigualable en la tecnología moderna. Prepárate para adentrarte en el intrigante universo de los inductores de núcleo de hierro y descubrir sus secretos. ¡No te lo pierdas!

¿Sabías que el inductor de núcleo de hierro es una pieza esencial en la creación de circuitos eléctricos y electrónicos? En este artículo te contaremos todo sobre su construcción, fórmula, funcionamiento y las múltiples aplicaciones que tiene en nuestra vida diaria. ¡No te lo pierdas!

En este artículo, discutiremos el inductor con núcleo de hierro, su construcción, fórmula de inductancia, funcionamiento, ventajas y aplicaciones. Pero antes de eso, echemos un vistazo a los conceptos básicos de los inductores.

¿Qué es un inductor y sus tipos?

Un inductor es un componente del circuito eléctrico que almacena energía eléctrica en forma de campo magnético. Un inductor simple se forma al torcer un alambre de longitud finita en una bobina. Por lo tanto, un inductor se compone de un alambre conductor.

La propiedad del inductor por la cual almacena energía eléctrica en forma de campo magnético se conoce como inductancia del inductor La inductancia generalmente se denota con el símbolo L y se mide en Enrique (H).

El símbolo del circuito de un inductor típico se muestra en la Figura 1. Un inductor tiene una estructura en forma de bobina y tiene un número finito de vueltas.

Inductor de núcleo de hierro: construcción, fórmula, trabajo y aplicaciones>Según el núcleo utilizado en el centro del inductor, existen varios tipos de inductores, como inductores con núcleo de aire, inductores con núcleo de hierro, etc. En este artículo, limitaremos nuestra atención a los inductor de núcleo de hierro solo.

¿Qué es un inductor de núcleo de hierro?

Un inductor de núcleo de hierro es un tipo de inductor que utiliza hierro o material ferromagnético como núcleo en el centro de su bobina. El uso de un núcleo de hierro en un inductor permite un mayor valor de inductancia, ya que el núcleo de hierro proporciona un campo magnético mayor que otros materiales como el aire o un núcleo de ferrita. Los inductores de núcleo de hierro se usan comúnmente en circuitos de suministro de energía, filtros y transformadores. También se pueden usar en aplicaciones donde se requiere un inductor que tenga un alto valor de inductancia, por ejemplo, en circuitos de radiofrecuencia (RF).

Inductor de núcleo de hierro: construcción, fórmula, trabajo y aplicaciones>El núcleo de hierro del inductor tiene la propiedad de reforzar el campo magnético. Al introducir un núcleo de hierro en la bobina del inductor, podemos aumentar el valor de inductancia del inductor. El símbolo del circuito del inductor con núcleo de hierro se muestra en la Figura 2.

Construcción de inductor de núcleo de hierro

Un inductor con núcleo de hierro se construye enrollando una bobina de alambre conductor alrededor de un núcleo de hierro o ferromagnético, como se muestra en la figura 3.

Inductor de núcleo de hierro: construcción, fórmula, trabajo y aplicaciones>El material del núcleo, es decir, el hierro, se elige por su alta permeabilidad que le permite soportar un campo magnético más fuerte en comparación con otros materiales. La bobina está hecha de un cable conductor que tiene baja resistencia eléctrica, como cobre o aluminio, y se enrolla alrededor del núcleo de hierro en un patrón específico para aumentar la inductancia del inductor. La inductancia del inductor con núcleo de hierro se ve muy afectada por los parámetros físicos del inductor, como el número de vueltas en la bobina, el tamaño y la forma del núcleo y el tipo de cable utilizado.

Una vez que la bobina se enrolla alrededor del núcleo de hierro, se encierra en una carcasa protectora para protegerla de daños mecánicos y evitar que las interferencias afecten su funcionamiento y rendimiento.

Funcionamiento del inductor de núcleo de hierro

El funcionamiento de un inductor con núcleo de hierro es similar al de un inductor ordinario, es decir, almacena energía eléctrica en el campo magnético. Pero, el núcleo de hierro del inductor aumenta su inductancia proporcionando un material de alta permeabilidad por el que pasa el campo magnético. La bobina de alambre que forma el inductor se enrolla alrededor del núcleo de hierro y el campo magnético generado por la corriente que fluye a través de la bobina se concentra en el núcleo. Por lo tanto, el núcleo de hierro aumenta la fuerza del campo magnético, lo que a su vez aumenta la inductancia del inductor.

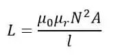
Fórmula de inductancia para inductor de núcleo de hierro

Dejar,

Inductor de núcleo de hierro: construcción, fórmula, trabajo y aplicaciones>Entonces, la inductancia del inductor con núcleo de hierro se puede determinar usando la siguiente fórmula,

Inductor de núcleo de hierro: construcción, fórmula, trabajo y aplicaciones>Esta inductancia se mide en Henry (H).

Ventajas de los inductores de núcleo de hierro

Los inductores con núcleo de hierro tienen muchas ventajas, algunas de las cuales se enumeran a continuación:

  • Pérdidas bajas: Los inductores de núcleo de hierro tienen bajas pérdidas debido a la baja resistencia y la histéresis.
  • Inductancia estable: Los inductores con núcleo de hierro tienen una inductancia relativamente estable en un amplio rango de temperaturas y frecuencias.
  • Alta permeabilidad: El hierro tiene una alta permeabilidad, lo que significa que puede soportar un fuerte campo magnético.
  • Bajo costo: El hierro es un material relativamente económico, lo que hace que los inductores con núcleo de hierro sean menos costosos de fabricar.
  • Alto punto de saturación: El hierro tiene un alto punto de saturación, lo que significa que puede soportar un fuerte campo magnético sin saturarse. Esto permite que los inductores con núcleo de hierro manejen corrientes altas sin saturarse.

Desventajas de los inductores de núcleo de hierro

También hay algunas desventajas de los inductores de núcleo de hierro:

  • Tamaño: Los inductores con núcleo de hierro tienden a ser más grandes y pesados ​​que los inductores con otros tipos de núcleos.
  • No linealidad: Los inductores con núcleo de hierro pueden exhibir un comportamiento no lineal a altos niveles de magnetización, lo que puede causar que su inductancia cambie con el nivel de corriente que fluye a través de ellos.
  • Susceptibilidad a la corrosión: El hierro es susceptible a la corrosión, lo que puede afectar el rendimiento de los inductores con núcleo de hierro.
  • Sensibilidad a la temperatura: Los inductores con núcleo de hierro pueden ser sensibles a los cambios de temperatura, lo que puede hacer que cambie su inductancia.
  • Resistencia de CA: Los inductores con núcleo de hierro tienen una mayor resistencia de CA que los inductores con otros tipos de núcleos, lo que puede causar pérdidas a altas frecuencias.

Aplicaciones de los inductores de núcleo de hierro

Las siguientes son algunas aplicaciones de los inductores con núcleo de hierro:

  • Los inductores de núcleo de hierro se utilizan en convertidores de potencia para almacenar energía en su campo magnético y reducir las fluctuaciones de tensión.
  • Los inductores de núcleo de hierro se utilizan en circuitos de control de motores para reducir los picos de corriente y proteger los motores de daños.
  • Los inductores con núcleo de hierro se utilizan en los sistemas de transmisión de energía eléctrica para mejorar el flujo de corriente y proteger el equipo de fluctuaciones de voltaje
  • Los inductores de núcleo de hierro se utilizan en Circuitos RF (Radiofrecuencia) como antenas, amplificadores y osciladores.
  • Los inductores de núcleo de hierro se utilizan en circuitos de filtro para bloquear o pasar ciertas frecuencias para la reducción de ruido y la separación de señales.
  • Los inductores de núcleo de hierro se utilizan en diferentes tipos de dispositivos electrónicos, como radios, televisores y computadoras.
Error 403 The request cannot be completed because you have exceeded your quota. : quotaExceeded

[automatic_youtube_gallery type=»search» search=»Inductor de núcleo de hierro: construcción, fórmula, trabajo y aplicaciones» limit=»1″]

Inductor de Núcleo de Hierro: Construcción,⁢ Fórmula, Trabajo y Aplicaciones

En el fascinante mundo de la ‌electrónica, los inductores juegan un‍ papel crucial ‍en⁢ el funcionamiento de numerosos dispositivos que utilizamos a diario. Entre ellos, el inductor de⁤ núcleo⁢ de hierro destaca por su⁢ eficiencia y versatilidad.

¿Qué es un inductor de núcleo de hierro?

Un inductor ‌de núcleo ‍de hierro es un ‌tipo⁣ de inductor que‌ utiliza hierro o material ferromagnético como núcleo‌ en el centro de su bobina. ‍El uso de un ⁤núcleo de hierro permite un ⁤mayor valor de inductancia, ya que proporciona un campo ⁣magnético más⁢ fuerte, ideal para ‌aplicaciones‍ en circuitos ⁣de suministro de energía y transformadores.

Construcción​ de un inductor de núcleo de hierro

La construcción de un inductor ​con núcleo de⁣ hierro implica ⁣los ⁤siguientes pasos:

  1. Bobina: Se enrolla un alambre conductor alrededor de un núcleo de hierro.
  2. Núcleo: El núcleo está ​hecho de hierro, seleccionando materiales de alta permeabilidad.
  3. Protección: La bobina se encierra en⁢ una carcasa para evitar daños mecánicos y reducir interferencias.

Los parámetros como el número de⁣ vueltas, el tamaño‍ y la forma del núcleo y el‍ tipo de cable ‌utilizado⁢ afectan la inductancia del inductor.

Funcionamiento del inductor‍ de núcleo de ⁢hierro

El‌ inductor‍ de núcleo de‌ hierro almacena energía eléctrica en un campo magnético, y su núcleo de ‌hierro permite concentrar el⁤ campo magnético generado por la corriente, ‍aumentando así su⁤ inductancia.

Fórmula de inductancia

La inductancia de un inductor de núcleo de hierro se ‍puede ⁢calcular mediante⁢ la ‍fórmula:

L = (µ × N² × A) / l, donde:

  • L: Inductancia (Henries)
  • µ: Permeabilidad del núcleo
  • N: Número​ de vueltas de la bobina
  • A: ⁣Área de la sección transversal del núcleo
  • l: Longitud del núcleo

Ventajas y desventajas

Ventajas

  • Pérdidas bajas y alta eficiencia.
  • Inductancia estable en un ⁣amplio rango de temperaturas.
  • Bajo​ costo de fabricación.
  • Capacidad⁢ de manejar corrientes elevadas.

Desventajas

  • Tamaño y peso mayores en comparación con inductores ‍de‍ otros núcleos.
  • Comportamiento no lineal a‌ altos niveles de magnetización.

Aplicaciones del inductor de núcleo⁤ de hierro

Estos inductores son comunes en:

  • Transformadores.
  • Filtros‌ eléctricos.
  • Convertidores de potencia.
  • Circuitos de radiofrecuencia ⁤(RF).

Preguntas Frecuentes (FAQs)

¿Cuál es la función principal de un inductor de ‌núcleo de hierro?

Su función principal es almacenar‍ energía en forma de campo⁤ magnético, lo que lo⁣ convierte ⁢en un componente esencial en diversos circuitos electrónicos.

¿Cómo afecta el núcleo de hierro a la inductancia?

El núcleo de hierro aumenta la inductancia al concentrar el campo magnético, lo que ‍permite almacenar más energía magnética en un volumen reducido.

¿En qué situaciones se⁣ debería usar un ⁤inductor de núcleo de hierro?

Se deberían‍ usar en aplicaciones que ‌requieran alta inductancia y manejo de corrientes elevadas, como⁤ en transformadores y convertidores de potencia.

Para más información sobre inductores y sus aplicaciones, puedes visitar Itztli o ⁢ Maykolrey.

2 comentarios en «Inductor de núcleo de hierro: construcción, fórmula, trabajo y aplicaciones»

  1. ¡Qué interesante me parece el tema de los inductores de núcleo de hierro! La verdad es que nunca me había puesto a pensar en cómo su construcción afecta tanto su rendimiento. Recuerdo que cuando estaba en la universidad, un profesor nos mostró cómo funcionan en un circuito, y fue toda una revelación ver la teoría en acción. Me encanta que el artículo aborde las aplicaciones prácticas, porque a menudo nos quedamos solo con lo académico. ¡Gran trabajo!

  2. Ferreiro.: ¡Totalmente de acuerdo contigo! A mí también me sorprendió lo mucho que influye el núcleo en el rendimiento de un inductor. Hasta me atrevería a decir que cambiar un material en la construcción puede marcar una gran diferencia. Una vez hice un proyecto en el que utilicé un inductor de núcleo de hierro para un amplificador de audio, y la calidad del sonido mejoró un montón. Este artículo me ha traído muy buenos recuerdos y me parece genial que se hable de estas cosas. ¡Sigue así!

Deja un comentario