Ley de Coulomb: enunciado, fórmula, limitaciones y aplicaciones
En el fascinante mundo de la electrostática, donde las fuerzas invisibles moldean el comportamiento de la materia, la Ley de Coulomb se erige como uno de los pilares fundamentales de la física. Formulada por el científico francés Charles-Augustin de Coulomb en el siglo XVIII, esta ley describe la interacción entre cargas eléctricas y nos permite entender fenómenos que van desde la atracción entre pequeños objetos cargados hasta la estructura de los átomos. En este artículo, exploraremos su enunciado y fórmula, así como las limitaciones que presenta en ciertos contextos y las diversas aplicaciones que tienen un impacto en nuestro día a día, desde la tecnología moderna hasta la comprensión del universo. ¡Adéntrate con nosotros en este viaje por el fascinante universo de la electricidad!
Descubre el fascinante mundo de la Ley de Coulomb, una de las bases fundamentales de la física eléctrica. En este artículo, exploraremos su enunciado, fórmula, limitaciones y aplicaciones en diversos campos. Prepárate para adentrarte en los misterios del electromagnetismo y desvelar los secretos de las cargas eléctricas.
En este artículo, aprenderemos sobre la ley de Coulomb en electrostática. Aquí aprenderemos sobre el enunciado, la fórmula, la limitación y las aplicaciones de la ley de Coulomb.
En electrostática, la ley de Coulomb es el concepto más fundamental que proporciona información sobre la fuerza electrostática que actúa entre dos o más cuerpos cargados. La ley de Coulomb fue dada por el físico francés Charles Augustin de Coulomb en 1785. La ley de Coulomb también se conoce como Ley del cuadrado inverso de Coulomb.
Declaración de la Ley de Coulomb
La ley de Coulomb establece que si hay dos cuerpos colocados en un medio (vacío o dieléctrico), entonces la fuerza electrostática que actúa entre los dos cuerpos es directamente proporcional al producto de las cargas sobre los cuerpos e inversamente proporcional al cuadrado de la distancia. entre los cuerpos cargados.
Dado que la ley de Coulomb da la relación del cuadrado inverso entre la fuerza y la distancia entre dos cuerpos cargados. Esta es la razón por la cual la ley también se conoce como ley del cuadrado inverso de Coulomb.
Fórmula de la ley de Coulomb
Considere dos cuerpos cargados que tienen cargas q1 y q2 respectivamente, separados por una distancia de d metros uno del otro como se muestra en la siguiente figura.
>Según la ley de Coulombtenemos,
- La fuerza electrostática que actúa entre los dos cuerpos cargados es directamente proporcional al producto de las cargas sobre ellos, es decir
>
- La fuerza electrostática es inversamente proporcional al cuadrado de la distancia entre los centros de los cuerpos cargados, es decir
>
Por lo tanto, al combinar estas dos ecuaciones, obtenemos,
>
Dónde k es una constante de proporcionalidad cuyo valor depende del medio en el que se colocan los cuerpos.
En el sistema SI, el valor de k es dado por,
>
donde ε0 es el permitividad absoluta del vacío o espacio libre y εr es el permitividad relativa del medio en que se colocan los cuerpos.
El valor de es ε0 igual a 8,85 × 10-12 C2/Nuevo Méjico2.
Por lo tanto, la fórmula de la fuerza electrostática se convierte en,
>
Cuando los cuerpos se separan entre sí en el vacío, entonces εr=1, por lo tanto,
>
Nota-
- Si los cargos q1 y q2 son cargas iguales, es decir, ambas tienen la misma polaridad (ya sea positiva-positiva o negativa-negativa), entonces la fuerza F que actúa entre ellas es repulsiva.
- Si los cargos q1 y q2 son a diferencia de los cargoses decir, ambos son de polaridad opuesta (positivo-negativo o viceversa), entonces la fuerza F que actúa entre ellos es atractiva.
>Limitaciones de la Ley de Coulomb
Las siguientes son las tres limitaciones principales en las que no se puede aplicar la ley de Coulomb:
- La ley de Coulomb se aplica solo cuando las cargas puntuales están en reposo.
- La ley de Coulomb puede no ser aplicable cuando la forma de los cuerpos cargados es arbitraria. Es porque, para un cuerpo de forma arbitraria, no podemos determinar la distancia entre los centros de los cuerpos.
- No podemos calcular la fuerza entre las cargas de los grandes planetas utilizando la ley de Coulomb.
Aplicaciones de la Ley de Coulomb
La ley de Coulomb es la ley más fundamental de la física electrostática, las siguientes son algunas de las principales aplicaciones en las que se utiliza la ley de Coulomb para los cálculos:
- La ley de Coulomb calcula la fuerza electrostática que actúa entre las cargas puntuales.
- La ley de Coulomb también determina la distancia entre dos cuerpos cargados puntualmente.
- La ley de Coulomb también se usa para determinar la fuerza electrostática que actúa sobre una carga puntual debido a varias cargas.
Ejemplos numéricos de la ley de Coulomb
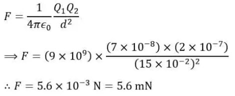
Ejemplo numérico 1 – Calcular la fuerza electrostática entre dos cargas 7 × 10-8 C y 2 × 10-7 C. Estas dos cargas están separadas por una distancia de 15 cm en el espacio libre.
Solución – Datos dados,
>De acuerdo con la ley de Coulomb, tenemos,
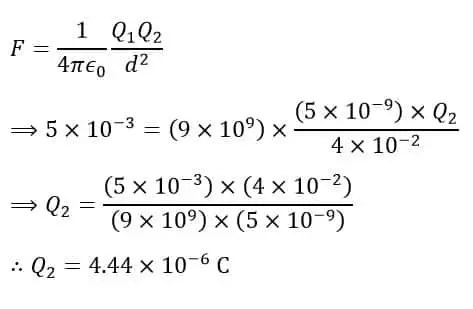
>Ejemplo numérico 2 – Dos esferas están separadas por una distancia de 4 cm en el aire. La carga electrostática en una esfera es 5 × 10-9 C y la fuerza de atracción eléctrica de 5 mN actúa entre las esferas. Determine la carga eléctrica en la segunda esfera.
Solución – Datos dados,
>De acuerdo con la ley de Coulomb, tenemos,
>
[automatic_youtube_gallery type=»search» search=»Ley de Coulomb: enunciado, fórmula, limitaciones y aplicaciones» limit=»1″]
Ley de Coulomb: Enunciado, Fórmula, Limitaciones y Aplicaciones
En el fascinante mundo de la electrostática, donde las fuerzas invisibles moldean el comportamiento de la materia, la Ley de Coulomb se erige como uno de los pilares fundamentales de la física. Formulada por el científico francés Charles-Augustin de Coulomb en el siglo XVIII, esta ley describe la interacción entre cargas eléctricas y nos permite entender fenómenos que van desde la atracción entre pequeños objetos cargados hasta la estructura de los átomos.
Enunciado de la Ley de Coulomb
La Ley de Coulomb establece que la fuerza electrostática que actúa entre dos cuerpos cargados es directamente proporcional al producto de las cargas e inversamente proporcional al cuadrado de la distancia que las separa. Este principio se puede expresar de la siguiente manera:
Si tenemos dos cargas ( q_1 ) y ( q_2 ), la fuerza ( F ) entre ellas es:
F = k cdot frac{|q_1 cdot q_2|}{d^2}
donde:
- F es la fuerza entre las cargas.
- q1 y q2 son las magnitudes de las cargas.
- d es la distancia entre las cargas.
- k es la constante de Coulomb, cuyo valor depende del medio en que se encuentran las cargas.
Fórmula de la Ley de Coulomb
La fórmula general de la Ley de Coulomb en el vacío se puede expresar como:
F = frac{k cdot |q_1 cdot q_2|}{d^2}
Donde la constante ( k ) en el sistema internacional de unidades (SI) está dada por:
k = frac{1}{4piepsilon_0},
siendo ( epsilon_0 ) la permitividad del vacío y teniendo un valor aproximado de 8.85 x 10^{-12} C^2/N cdot m^2.
Limitaciones de la Ley de Coulomb
A pesar de su importancia, la Ley de Coulomb tiene algunas limitaciones:
- No es aplicable cuando las cargas están en movimiento, ya que las interacciones electrostáticas en ese caso están sujetas a la influencia de los campos magnéticos.
- La ley se basa en la suposición de que las cargas son puntuales, lo que limita su aplicabilidad a situaciones donde las dimensiones de las cargas son comparables a la distancia entre ellas.
- En medios dieléctricos, el comportamiento de las cargas puede ser diferente debido a la polarización del medio, lo que puede requerir un ajuste de la constante de Coulomb.
Aplicaciones de la Ley de Coulomb
La Ley de Coulomb tiene numerosas aplicaciones prácticas en diversos campos, tales como:
- Electrónica: Se utiliza para modelar interacciones entre componentes eléctricos.
- Física Atómica: Proporciona la base para comprender cómo las cargas electrostáticas afectan la estructura y estabilidad de los átomos.
- Nanotecnología: Permite el diseño y análisis de nanomateriales y dispositivos a escala molecular.
- Ingeniería de Materiales: Ayuda a entender la interacción entre partículas en la materia y a desarrollar nuevos materiales con propiedades específicas.
Preguntas Frecuentes (FAQs)
¿Qué es la constante de Coulomb?
La constante de Coulomb es un factor que se utiliza en la Ley de Coulomb para cuantificar la fuerza electrostática entre dos cargas. Su valor depende del medio en el que se encuentran las cargas; en el vacío, su valor es aproximadamente 8.99 x 10^9 N cdot m^2/C^2.
¿Cómo se aplica la Ley de Coulomb en la vida cotidiana?
La Ley de Coulomb se aplica en la vida diaria en muchos aspectos, incluidos el funcionamiento de dispositivos electrónicos, como teléfonos y computadoras, donde se producen interacciones electrostáticas en los circuitos eléctricos y las conexiones entre componentes.
¿Qué pasa cuando las cargas son de igual signo?
Cuando las cargas son del mismo signo (ambas positivas o ambas negativas), la fuerza que actúa entre ellas es de repulsión, lo que significa que las cargas tienden a separarse una de la otra.
¿Y si las cargas son de signos opuestos?
Si las cargas tienen signos opuestos (una positiva y una negativa), la fuerza que actúa entre ellas es de atracción, lo que significa que las cargas se atraen mutuamente.
Para profundizar más en la Ley de Coulomb y sus aplicaciones, puedes consultar fuentes como Academia 5C [[1]] y recursos educativos en Slideshare [[2]].
2 comentarios en «Ley de Coulomb: enunciado, fórmula, limitaciones y aplicaciones»
Deja un comentario
Lo siento, debes estar conectado para publicar un comentario.
Wenqing: ¡Totalmente de acuerdo, sheridan! La Ley de Coulomb es realmente interesante. Recuerdo que en mi clase de física nos hicieron un experimento parecido y fue todo un reto entender cómo las fuerzas interactúan entre los objetos cargados. A veces, me sentía perdido, pero al final fue increíble ver cómo esos principios teóricos tienen aplicaciones prácticas, como en dispositivos electrónicos que usamos todos los días. Y sí, las limitaciones son importantes de tener en cuenta, pero eso también hace que la física sea más emocionante y desafiante. ¡Gran artículo!
¡Buen artículo, la verdad! La Ley de Coulomb siempre me ha parecido fascinante, sobre todo cuando tuve que hacer un experimento en la universidad sobre fuerzas electrostáticas. Me costó un poco al principio, pero cuando entendí cómo se aplicaba la fórmula, todo cobró sentido. Es impresionante cómo esos conceptos se aplican en la vida real, desde la tecnología hasta la física de partículas. Aunque, como mencionan, hay sus limitaciones, todavía es un pilar fundamental en la electrostática. ¡Gracias por compartir!