¿Por qué se requiere un condensador para un motor monofásico?

¿Por qué se requiere un condensador para un motor monofásico?

En el fascinante mundo de la electrónica y la maquinaria eléctrica, el motor monofásico se destaca por su simplicidad y eficiencia. Sin embargo, ¿sabías que su funcionamiento óptimo depende de un pequeño pero poderoso componente: el condensador? Si alguna vez te has preguntado por qué este dispositivo es esencial para el arranque y operación de estos motores, estás a punto de descubrirlo. En este artículo, desglosaremos la función del condensador, su importancia en el rendimiento del motor y cómo su presencia marca la diferencia entre un arranque exitoso y uno fallido. ¡Acompáñanos en este viaje al corazón de la ingeniería eléctrica!

En el mundo de los motores eléctricos, los condensadores desempeñan un papel fundamental en los motores monofásicos. Pero, ¿por qué exactamente se requiere este componente? En este artículo, descubriremos la importancia del condensador en el funcionamiento de estos motores y cómo su ausencia puede afectar su rendimiento. Así que prepárate para adentrarte en el fascinante mundo de la ingeniería eléctrica y descubrir por qué un condensador es imprescindible en un motor monofásico.

Un motor de inducción monofásico necesita un condensador en su circuito en el momento del arranque para producir el par de arranque. Sin un condensador, un motor de inducción de arranque por condensador monofásico no puede funcionar. Los demás motores de inducción monofásicos, como los de polo sombreado y los de tipo reticente, no requieren capacitor para su arranque. En este artículo, discutiremos cómo el capacitor ayuda a producir el par de arranque en un motor monofásico de arranque por capacitor.

El motor monofásico no arranca automáticamente

El motor monofásico no es un motor de arranque automático. El motor puede girar si genera un par giratorio. La generación de torque giratorio ocurre cuando el motor genera un campo magnético giratorio. Principalmente, un motor de inducción trifásico es capaz de generar un campo magnético giratorio. Contrariamente a esto, el motor monofásico no es capaz de generar un campo magnético giratorio y no puede iniciarse por sí mismo. El motor monofásico genera un campo giratorio y no puede producir el par giratorio.

¿Cómo producir par giratorio en un motor monofásico?

El eje de un motor monofásico, si se gira una vez manualmente después de encender su fuente de alimentación, puede generar el par y el motor comienza a girar continuamente. Sin embargo, en cada arranque del motor, la patada manual en el eje es imprescindible para la rotación del motor.

Un método de fase dividida divide el suministro de fase. Por lo tanto, esta división de fases crea un desplazamiento de fase entre las dos fases de 90 grados eléctricos. en el espacio. Para lograr un desplazamiento de fase de 90 grados, los dos devanados están físicamente a 90 grados en el espacio.

El condensador utilizado en serie con el otro devanado auxiliar proporciona principalmente estos 90 grados de desplazamiento de fase. El devanado auxiliar también se llama devanado de arranque porque ayuda a arrancar el motor cuando lo conectamos en serie con el capacitor. El siguiente diagrama muestra el devanado de arranque y funcionamiento del motor monofásico.

¿Por qué se requiere un condensador para un motor monofásico?>El voltaje de devanado de arranque y funcionamiento tiene 90 grados de desplazamiento de fase. El siguiente diagrama muestra el desplazamiento de fase entre estos dos devanados.

¿Por qué se requiere un condensador para un motor monofásico?>Cálculo del valor del condensador para motores monofásicos

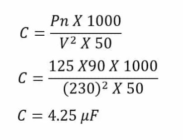
El valor de la capacitancia para un motor de inducción monofásico es proporcional a la potencia nominal del motor. La fórmula para calcular el tamaño del capacitor es la siguiente.

¿Por qué se requiere un condensador para un motor monofásico?>Ejemplo

Calcule el valor de la capacitancia para un motor de inducción monofásico. Los datos del motor de inducción son: Potencia 125 Watts, tensión de alimentación 230 V, 50 Hz y eficiencia del 90%.

¿Por qué se requiere un condensador para un motor monofásico?>Tenga en cuenta que la tensión nominal del condensador debe ser de 440 voltios para una fuente de alimentación de 230 voltios de un motor de inducción monofásico.

La siguiente tabla muestra el valor de capacitancia para diferentes motores monofásicos (230 voltios) de potencia nominal,

Potencia nominal del motor (vatios)
Valor del condensador (μF)
Clasificación de voltaje del condensador (V)

90
2.5
440

125
4.5
440

185
6.0
440

250
8.0
440

370
12.0
440

550
16.0
440

735
20
440

¿POR QUÉ SE NECESITA UN CONDENSADOR EN UN MOTOR ELÉCTRICO?

Vídeo para el cálculo del condensador para el motor: https://youtu.be/F2H2AL8q4zA Sois muchos los suscriptores que me seguís …

[automatic_youtube_gallery type=»search» search=»¿Por qué se requiere un condensador para un motor monofásico?» limit=»1″]

¿Por qué se requiere un condensador para ‌un motor monofásico?

En el fascinante‌ mundo de la ⁤electrónica ​y ​la maquinaria ‍eléctrica, el motor⁣ monofásico se destaca por su​ simplicidad y eficiencia. Sin embargo, ¿sabías que su funcionamiento‍ óptimo depende de un pequeño pero poderoso componente: el condensador?‌ En ‍este artículo, desglosaremos su función, importancia en el rendimiento del motor y cómo su presencia marca la diferencia entre un arranque‍ exitoso y uno fallido.

Función del condensador en motores monofásicos

Un motor de inducción monofásico​ necesita un condensador en ⁣su circuito ⁣al ‍momento ⁣del arranque para ​generar el par de arranque. Sin este componente, el motor no ⁣podrá funcionar ‍correctamente. Los motores de inducción monofásicos, como los de polo sombreado o los ⁢de tipo reticente,⁤ no requieren condensador para ⁤su arranque, pero los ‌que utilizan el arranque por condensador ⁣sí lo necesitan [[1]].

¿Cómo funciona el condensador?

El condensador en‍ un​ motor ⁣monofásico ayuda a crear un desplazamiento de ⁢fase, esencial para que el motor‍ arranque. ⁤Este desplazamiento de fase es crucial ​para que se genere un ‍campo magnético giratorio, que es lo necesario para el funcionamiento del motor. A diferencia del ‍motor ‍trifásico, que genera un⁤ campo magnético giratorio de manera natural,⁣ el motor ⁤monofásico depende de este desplazamiento proporcionado por el condensador.

Importancia del condensador en el rendimiento

Sin⁢ la intervención del condensador, el ⁣motor no podría generar el par giratorio necesario para⁤ iniciar su movimiento. Esto ⁤significa que, en cada arranque, el motor monofásico requerirá asistencia manual para comenzar a ⁣girar, ‍a menos que esté equipado ⁢con un condensador apropiado [[2]].

Ventajas⁤ de utilizar un ⁤condensador

  1. Facilita ⁢el arranque del motor.
  2. Proporciona estabilidad al funcionamiento del motor.
  3. Mejora la eficiencia energética al ⁢optimizar el uso de​ la energía eléctrica.

Conclusiones

el⁢ condensador juega un papel fundamental en el funcionamiento‍ de los motores monofásicos. Sin este componente, el motor ⁣no podría alcanzar el ‍par de arranque necesario para⁤ comenzar su operación, lo que subraya su ⁤importancia ​dentro ‍del diseño y ‌funcionamiento de estos sistemas eléctricos.

Preguntas frecuentes (FAQs)

¿Qué tipo de motores monofásicos ‍requieren ⁣un ‍condensador?

Los motores de‌ inducción⁣ monofásicos que utilizan‍ un arranque⁣ por condensador ⁤son los que requieren este componente. Otros tipos, como ​los motores de polo sombreado,‌ pueden operar sin él.

¿Qué función ​específica cumple ​el condensador en ⁢el arranque?

El condensador ayuda a producir el desplazamiento ‌de fase ​necesario para generar un campo magnético giratorio,‍ lo que permite que el motor alcance⁣ el par de arranque necesario para iniciar su funcionamiento.

¿Cómo afecta la ausencia del condensador⁤ al motor?

Sin‌ el condensador, el motor monofásico ⁤no puede ⁣iniciar su movimiento automáticamente, ⁣lo que puede llevar a ‍un funcionamiento ineficiente e incluso al​ fallo‌ del‌ motor en el proceso⁢ de arranque [[3]].

© 2024‍ Blog de Ingeniería Eléctrica. Todos los derechos reservados.

Deja un comentario