¿Por qué se utiliza un transformador elevador para transmitir energía eléctrica?

¿Por qué se utiliza un transformador elevador para transmitir energía eléctrica?

La transmisión de energía eléctrica es un proceso fundamental en nuestra vida diaria, pero ¿alguna vez te has preguntado cómo se garantiza que la energía llegue a nuestros hogares y empresas de manera eficiente? En este vasto entramado de cables y conexiones, los transformadores elevadores juegan un papel crucial. Estos ingeniosos dispositivos no solo permiten que la energía se transmita a largas distancias, sino que también aseguran que el proceso sea seguro y económico. En este artículo, exploraremos cómo funcionan los transformadores elevadores, por qué son esenciales en la transmisión de energía y qué beneficios aportan a nuestra sociedad moderna. ¡Prepárate para descubrir el fascinante mundo de la electricidad!

«Descubre el secreto detrás de la eficiente transmisión de energía eléctrica: el transformador elevador. En este artículo, te explicaremos por qué este dispositivo es crucial en la distribución de electricidad, garantizando un suministro constante y seguro en nuestras vidas. ¡No te lo pierdas!»

En este artículo, discutiremos por qué se usa un transformador elevador para transmitir energía eléctrica. Un transformador elevador aumenta el voltaje en su secundario cuando se alimenta voltaje a su primario sin cambiar la frecuencia y la potencia. La potencia en primaria y secundaria sigue siendo la misma. El transformador elevador aumenta el voltaje secundario y en la misma proporción al aumento de voltaje, disminuye la corriente secundaria. Por lo tanto, el poder sigue siendo el mismo.

¿Por qué se utiliza un transformador elevador para transmitir energía eléctrica?>El voltaje inducido en el primario y secundario depende del número de vueltas utilizadas en el primario y secundario. El voltaje inducido es directamente proporcional al número de vueltas.

¿Por qué se utiliza un transformador elevador para transmitir energía eléctrica?>

En un transformador elevador, el voltaje secundario es mayor que el voltaje primario. (E2>E1). Es posible cuando el número de vueltas en el secundario es mayor que el número de vueltas en el primario. Así en un transformador elevador;

N2 > N1

Aplicaciones de un transformador elevador

Un transformador elevador se utiliza para aumentar el voltaje al final de la generación para transmitir energía eléctrica a larga distancia. Las siguientes ventajas se logran cuando la energía se transfiere a un alto voltaje a través de la línea de transmisión.

a. Pérdidas de línea reducidas

La corriente se reduce en la misma proporción que el aumento de voltaje. Por ejemplo, para entregar la misma potencia si el voltaje aumenta 3 veces, la corriente será 1/3 veces la corriente a un voltaje más bajo. La pérdida de línea es proporcional al cuadrado de la corriente. En este caso, la pérdida de línea será 1/9 de las pérdidas de línea con transmisión de menor voltaje. Si la potencia de generación de 5MW se va a entregar a un voltaje de 11 kV con un factor de potencia unitario, entonces la corriente es igual a;

¿Por qué se utiliza un transformador elevador para transmitir energía eléctrica?>Si se va a entregar la misma potencia a 33 kV, entonces, la corriente es igual a

¿Por qué se utiliza un transformador elevador para transmitir energía eléctrica?>Así, la corriente a 33 kV es 1/3 de la corriente a 11 kV.

La pérdida de líneas es igual a;

¿Por qué se utiliza un transformador elevador para transmitir energía eléctrica?>Por lo tanto, al aumentar el voltaje de transmisión 3 veces, las pérdidas de línea se vuelven 1/9.

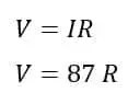
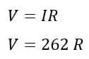
b. Caída de tensión reducida

La caída de tensión en la línea de transmisión a 11 kV, 262 amperios es;

¿Por qué se utiliza un transformador elevador para transmitir energía eléctrica?>La caída de tensión en la línea de transmisión a 33 kV, 87 amperios es;

¿Por qué se utiliza un transformador elevador para transmitir energía eléctrica?>

Reducción de la caída de tensión

¿Por qué se utiliza un transformador elevador para transmitir energía eléctrica?>C. Regulación de voltaje mejorada

La disminución de la caída de voltaje a un voltaje más alto provoca una menor diferencia entre el extremo de envío y el voltaje del extremo de recepción, por lo que la regulación de voltaje a un voltaje más alto es mejor.

Un transformador elevador también se utiliza en máquinas de rayos X y precipitadores electrostáticos (ESP).

Transformador reductor

Un transformador elevador disminuye el voltaje en su secundario cuando se alimenta voltaje a su primario sin cambiar la frecuencia y la potencia. La potencia en primaria y secundaria sigue siendo la misma. El transformador reductor disminuye el voltaje secundario y en la misma proporción al voltaje disminuido, aumenta la corriente secundaria. Por lo tanto, el poder sigue siendo el mismo.

¿Por qué se utiliza un transformador elevador para transmitir energía eléctrica?>En un transformador reductor, el voltaje secundario es menor que el voltaje primario (E2

N2 < N1

Un transformador reductor se utiliza para utilizar la potencia a un nivel de tensión nominal del equipo. Se utiliza con fines de distribución y aislamiento.

Error 403 The request cannot be completed because you have exceeded your quota. : quotaExceeded

[automatic_youtube_gallery type=»search» search=»¿Por qué se utiliza un transformador elevador para transmitir energía eléctrica?» limit=»1″]

¿Por qué se utiliza un transformador elevador ‌para transmitir energía eléctrica?

La ⁢ transmisión de energía eléctrica es esencial en nuestra vida diaria, desde el funcionamiento de nuestros hogares hasta el impulso de diversas industrias. Para ​garantizar que la energía llegue eficientemente, se emplean dispositivos ingeniosos como los transformadores elevadores. En este artículo, exploraremos el funcionamiento y la importancia de estos transformadores ⁤en el sistema ‌eléctrico moderno.

¿Qué es un transformador⁤ elevador?

Un transformador elevador es⁤ un dispositivo eléctrico que aumenta‍ el voltaje de la energía que se transmite. Cuando se ⁢suministra voltaje al lado primario del transformador, el voltaje ​en el lado secundario⁤ se incrementa, sin cambiar ⁤la frecuencia ni la potencia, manteniendo la potencia constante en ambos lados.​ Este fenómeno se da gracias a la‌ relación entre el número ​de vueltas de alambre en el primario y el secundario.

¿Cómo funciona ⁤un transformador elevador?

  • La tensión en el primario se induce‌ en el secundario​ mediante el principio de electromagnetismo.
  • El⁤ voltaje inducido es proporcional al número de vueltas de alambre en el primario (N1) ⁤y en el secundario (N2).
  • En‌ un transformador elevador, el número ⁢de vueltas⁢ en​ el secundario es ‌mayor que en ​el primario (N2 ⁤> N1), lo que resulta en un ‍ aumento del⁣ voltaje.

Beneficios de utilizar transformadores⁢ elevadores

La utilización de transformadores elevadores en la transmisión de energía eléctrica aporta ​numerosas ventajas:

  1. Pérdidas de línea reducidas: A medida que se incrementa el voltaje,​ la corriente ‍disminuye, ⁢lo que reduce las pérdidas de energía en la línea de transmisión. Estas pérdidas son​ proporcionales al cuadrado de ⁤la corriente, lo que significa que una reducción en la corriente puede ⁣traducirse en una disminución significativa ⁢de las pérdidas energéticas.
  2. Transmisión a largas distancias: El alto‍ voltaje permite que la energía eléctrica viaje⁢ largas distancias sin ⁣degradarse, lo que es fundamental para un sistema eléctrico que abarque grandes áreas geográficas.
  3. Mejoras‌ en la eficiencia: Incrementar el voltaje minimiza la necesidad de ⁤líneas de transmisión robustas y costosas, así como de transformadores intermedios, lo que resulta en una red más ‍eficiente y menos costosa.

FAQs sobre transformadores elevadores

¿Cuáles son las aplicaciones de los ‍transformadores elevadores?

Los transformadores elevadores son ‍esenciales en la transmisión de energía desde las‍ plantas generadoras hasta los centros ​de consumo. ‍Se utilizan ‍en ‍sistemas de transmisión de alta tensión para reducir‍ las ⁣pérdidas​ de energía y asegurar que‌ los​ hogares y empresas reciban electricidad de manera fiable.

¿Qué es la relación de transformación en un transformador elevador?

La ​relación de transformación es la proporción entre el número de vueltas en el primario y el secundario de un transformador. ‍En un transformador elevador, la relación es tal que el voltaje en el secundario es mayor que​ en el ‍primario, permitiendo así la conversión de voltajes para su transmisión eficiente.

¿Los transformadores elevadores ⁢son seguros?

Sí, los transformadores elevadores están diseñados para operar de manera segura, siempre que⁤ se sigan las ‌normativas y estándares pertinentes en su instalación⁢ y mantenimiento. Sin embargo, su uso requiere precauciones debido a​ las altas tensiones involucradas.

Conclusión

Los transformadores elevadores juegan un papel vital en ⁤la‍ infraestructura eléctrica moderna, permitiendo una transmisión eficiente de la energía‍ a largas‌ distancias. Comprender su funcionamiento ‌y beneficios es fundamental para​ apreciar la complejidad​ del sistema eléctrico que utilizamos diariamente.​ Si deseas ‌aprender más sobre los⁣ tipos de transformadores, puedes ⁤consultarlo en ⁣ Wikipedia.

1 comentario en «¿Por qué se utiliza un transformador elevador para transmitir energía eléctrica?»

  1. ¡Totalmente de acuerdo, Milkenub! La explicación sobre el transformador elevador me pareció muy clara. Yo recuerdo que cuando hice un proyecto sobre energía en la escuela, aprendí que elevar la tensión reduce las pérdidas de energía durante la transmisión. Fue impresionante ver cómo funciona todo eso en la práctica, ¡es como magia! Sin esos transformadores, no podríamos tener electricidad a tantas distancias.

Deja un comentario