Puente de Wien: construcción de circuitos, derivación y aplicaciones

Puente de Wien: construcción de circuitos, derivación y aplicaciones

¿Te has preguntado alguna vez cómo se transforman las señales eléctricas en datos medibles? En el fascinante mundo de la electrónica, el Puente de Wien se alza como una herramienta esencial para la precisión y la versatilidad en el análisis de circuitos. Desde su invención, este ingenioso dispositivo ha sido fundamental en la creación de circuitos osciladores y en la medición de resistencias. En este artículo, exploraremos su construcción, los principios que lo sustentan, y las múltiples aplicaciones que lo convierten en un aliado indispensable para ingenieros y aficionados a la electrónica. ¡Sumérgete con nosotros en este viaje a través de la ciencia que impulsa la tecnología moderna!

El Puente de Wien es un circuito muy versátil y ampliamente utilizado en electrónica. Su diseño es simple pero efectivo, permitiendo la construcción de circuitos que ofrecen una amplia gama de aplicaciones. En este artículo, exploraremos la estructura y el funcionamiento de este puente, así como sus derivaciones y algunas de las aplicaciones más comunes en las que se utiliza. ¡Sigue leyendo para descubrir cómo esta construcción de circuitos puede mejorar tus proyectos electrónicos!

En este artículo, discutiremos el puente de Wien, su construcción, derivación de la frecuencia del circuito, funcionamiento, ventajas y aplicaciones. Pero antes de eso, echemos un vistazo a los conceptos básicos de un puente de corriente alterna (CA).

¿Qué es un puente de corriente alterna (CA) y sus tipos?

Un puente de corriente alterna es un circuito eléctrico alimentado por una fuente de voltaje de CA y se usa ampliamente para determinar valores desconocidos de componentes electrónicos presentes en el circuito, como resistencia, capacitancia e inductancia. Un puente de CA convencional se compone de cuatro brazos con valores variables de impedancias en cada brazo, un detector nulo y una fuente de voltaje de CA. El diagrama de circuito de un puente de CA típico se muestra en la Figura 1.

Puente de Wien: construcción de circuitos, derivación y aplicaciones>Según la cantidad a medir por el puente de CA, existen varios tipos de puentes de corriente alterna como el puente de Maxwell, el puente de Hay, el puente de Anderson, etc. En este artículo, nos centraremos en Puente de Wien solamente.

¿Qué es un puente de Wien?

Acuñado después del científico Max Karl Werner Vienael Puente de Wien es un tipo de puente de corriente alterna, compuesto por cuatro cables conductores conectados entre sí para formar un puente. El objetivo principal de un Puente de Wien es estimar la frecuencia que va de 100 Hz a 100 kHz, con una precisión que oscila entre 0,1% y 0,5%. El frecuencia generalmente se denota con el símbolo F y se mide en Hercios (Hz).

Además, el puente también podría utilizarse para medir la valor desconocido de la capacitancia en el puente Se dice que el Puente de Viena está equilibrado cuando el indicador nulo muestra una desviación cero. Puede manejar energía de alto voltaje pero es susceptible a valores de frecuencia elevados.

Construcción del Puente de Wien

El puente se construye conectando los cuatro brazos del puente entre sí, donde hay una disposición en serie de condensador y resistencia en un brazo, y una disposición en paralelo de condensador y resistencia en el otro. Mientras que una resistencia está presente en cada uno de los dos brazos restantes. La representación del circuito del puente de Wien se muestra en la Figura 2.

Un indicador nulo representado por D está conectado a través de los puntos de intersección de B y D, y una fuente de voltaje de CA está conectada a través de la unión de CA como se muestra en la Figura 2 a continuación. El deflector se utiliza para mantener el puente en condiciones de equilibrio al garantizar que los valores de voltaje en los puntos B y D sean iguales.

Puente de Wien: construcción de circuitos, derivación y aplicaciones>Derivación de la frecuencia del circuito del puente de Wien

Dejar,

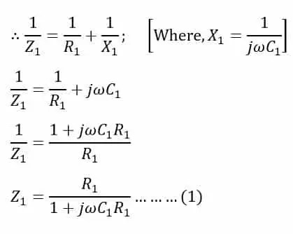
Puente de Wien: construcción de circuitos, derivación y aplicaciones>Impedancia Z1 del brazo AB se determina de la siguiente manera:

El brazo AB está compuesto por la resistencia R1 conectado en paralelo con el condensador C1 como se muestra en la Figura 2 anterior.

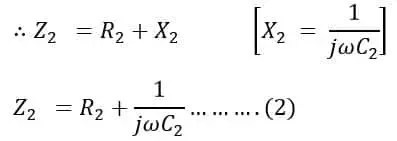
Puente de Wien: construcción de circuitos, derivación y aplicaciones>Impedancia Z2 del brazo AD se determina de la siguiente manera:

El brazo AD está compuesto por la resistencia R2 conectado en serie con el condensador C2 como se muestra en la Figura 2 anterior.

Puente de Wien: construcción de circuitos, derivación y aplicaciones>Impedancia Z3 del brazo AB se determina de la siguiente manera:‘

Puente de Wien: construcción de circuitos, derivación y aplicaciones>Impedancia Z4 del brazo AB se determina de la siguiente manera:

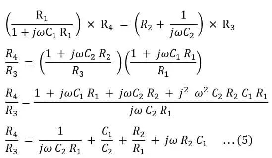
Puente de Wien: construcción de circuitos, derivación y aplicaciones>Condición de puente equilibrado

Matemáticamente, la condición equilibrada del puente se obtiene igualando los productos de los pares de impedancias Z1Z4, y Z2, Z3 como sigue:

Puente de Wien: construcción de circuitos, derivación y aplicaciones>Sustituyendo los valores de las impedancias Z1Z2Z3, y Z4 de las ecuaciones (1), (2), (3) y (4):

Puente de Wien: construcción de circuitos, derivación y aplicaciones>El siguiente paso es igualar las partes real e imaginaria de la ecuación (5):

Igualando partes reales de la ecuación (5) en ambos lados:

Puente de Wien: construcción de circuitos, derivación y aplicaciones>La ecuación (6) muestra la relación entre las resistencias R4 y R3.

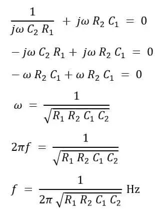
Igualando partes imaginarias de la ecuación (5) en ambos lados:

Puente de Wien: construcción de circuitos, derivación y aplicaciones>Si los componentes se seleccionan de tal manera que las resistencias y capacidades en los brazos AB y AD sean iguales acoplando las resistencias R1 y R2 mecánicamente de la siguiente manera

Puente de Wien: construcción de circuitos, derivación y aplicaciones>Ventajas del Puente de Viena

El puente de Wien tiene varias ventajas, algunas de las cuales se enumeran a continuación:

  • Circuito simple: El puente de Wien se forma utilizando componentes electrónicos fácilmente disponibles, a saber, resistencias y condensadores.
  • Económico: Dado que todos los componentes utilizados para diseñar el puente de Wien son económicos, el costo de crear el circuito es exiguo para los fabricantes.
  • Medidas cuantitativas: El puente de Wien tiene la capacidad de medir la frecuencia y la capacitancia del circuito con gran precisión.

Desventajas del Puente de Viena

También hay algunas desventajas del Puente de Viena:

  • Generación de frecuencia limitada: Como el puente de Wien es muy sensible a valores de frecuencia elevados y el circuito puede destruirse a valores de alta frecuencia, la frecuencia generada por el puente está limitada entre 100 Hz y 100 kHz.
  • Alta distorsión de salida: Debido a la susceptibilidad del circuito del puente de Wien a valores de frecuencia elevados, la señal de salida resultante está muy distorsionada.
  • Voltaje de entrada de CA no puramente sinusoidal: Debido a la presencia de distorsiones armónicas en la fuente de voltaje de CA de entrada, se interrumpe la condición de equilibrio del puente.

Aplicaciones del Puente de Viena

Las siguientes son algunas aplicaciones del circuito puente de Wien:

  • El puente de Wien se usa para medir la frecuencia del voltaje de entrada y la capacitancia del circuito.
  • Se utiliza para analizar la distorsión debida a perturbaciones armónicas.
  • El puente de Wien también encuentra su aplicación como oscilador de alta frecuencia.
  • También se utiliza para estimar los valores de frecuencia en osciladores de audio y radio.

Conclusión

Por lo tanto, todo esto se trata del circuito del puente de Wien. De la discusión anterior, podemos concluir que el puente de Wien se usa principalmente para la determinación de la frecuencia del voltaje aplicado en el lado de entrada del circuito, además de la medición de los valores de capacitancia presentes en los brazos del puente. A pesar de algunas de las desventajas de usar el puente de Wien, su amplia gama de aplicaciones y ventajas supera los inconvenientes que presenta el circuito electrónico.

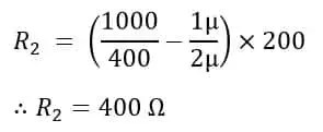
Ejemplo numérico en el puente de Wien

Los cuatro brazos del puente de Viena ABCD son suministrado con el Tensión de entrada sinusoidal, con los siguientes valores:

Brazo AB: Una resistencia, R1 = 200Ω en paralelo con una capacitancia (C1) valorado en 1 µF.
Brazo BC: R3 = 400Ω
Armar CD: R4 = 1000Ω
Brazo DA: Resistencia R2 está en serie con la capacitancia (C2) valorado en 2µF

Determine el valor de la resistencia R2 y la frecuencia a la que el puente estará en la condición equilibrada.

Solución-

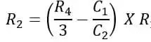
Usando la ecuación (6) que establece la relación entre las resistencias R3 y R4tenemos,

Puente de Wien: construcción de circuitos, derivación y aplicaciones>Al reorganizar la ecuación anterior, obtenemos,

Puente de Wien: construcción de circuitos, derivación y aplicaciones>Sustituyendo los valores de R1 = 200Ω; R3 = 400Ω; R4 = 1000Ω; C1 = 1 µF; C2 = 2 µF en la ecuación anterior, obtenemos,

Puente de Wien: construcción de circuitos, derivación y aplicaciones>A continuación, para determinar la frecuencia del voltaje aplicado, use la fórmula que se proporciona a continuación:

Puente de Wien: construcción de circuitos, derivación y aplicaciones>

Error 403 The request cannot be completed because you have exceeded your quota. : quotaExceeded

[automatic_youtube_gallery type=»search» search=»Puente de Wien: construcción de circuitos, derivación y aplicaciones» limit=»1″]

Puente de Wien: Construcción de Circuitos, Derivación y Aplicaciones

¿Te has preguntado alguna vez cómo se transforman las señales eléctricas ⁢en datos medibles? En el fascinante mundo de la electrónica, el Puente de Wien se alza como una herramienta esencial para la precisión ⁤y la versatilidad en ⁣el análisis de circuitos. Desde ‍su invención, este ingenioso dispositivo ha sido fundamental ​en la creación de circuitos osciladores ‍y en la medición ‍de resistencias. En este artículo, exploraremos su construcción, los principios que lo sustentan, y ⁢las múltiples aplicaciones que lo convierten en un aliado indispensable para ingenieros y aficionados a la electrónica. ¡Sumérgete con nosotros en este viaje a través de la ciencia que impulsa la tecnología⁢ moderna!

¿Qué ⁢es ⁢un Puente de Wien?

El Puente de Wien, ‍acuñado en‌ honor al científico Max Wien, es un ⁢tipo de puente de corriente alterna (CA) que se utiliza⁣ principalmente para medir frecuencias y capacitancias en circuitos. Este dispositivo se compone de cuatro brazos interconectados, donde se puede estimar la⁤ frecuencia dentro de ‍un ​rango que va ⁤de 100⁤ Hz a 100 kHz, con una⁢ precisión que puede alcanzar entre 0,1% ⁣y 0,5%.

Construcción del Puente de Wien

La construcción del Puente de Wien implica la conexión de cuatro brazos, donde dos de ellos presentan ⁣combinaciones en serie de resistencias y condensadores, y los otros dos están formados por resistencias simplemente. El esquema básico del circuito incluye:

  1. Combinación en serie de resistencia y capacitancia.
  2. Combinación en paralelo ⁣de resistencia⁣ y capacitancia.
  3. Un detector ​de nulo⁣ que asegura el equilibrio ‍del puente.

Un indicador nulo se utiliza para mantener el puente en equilibrio, asegurando que‍ las​ tensiones en los puntos de intersección sean iguales.

Derivación de la Frecuencia del Circuito del⁣ Puente de Wien

Para analizar el funcionamiento del Puente de Wien, es ⁣necesario derivar la frecuencia del circuito mediante las impedancias de cada brazo:

  1. Impedancia‍ Z1: Compuesta por‌ la⁤ resistencia R1 y ⁣el condensador C1 en paralelo.
  2. Impedancia Z2: Formada por ‍la resistencia R2 y el condensador C2 en serie.
  3. Condición de equilibrio: ⁤ Se establece cuando los productos de pares de impedancias son iguales.

La fórmula resultante ofrece una relación entre las resistencias y capacitancias seleccionadas, permitiendo el ajuste del puente para lograr mediciones precisas.

Ventajas y⁢ Desventajas⁤ del Puente de Wien

Ventajas

  • Simplicidad: Utiliza componentes electrónicos fácilmente disponibles.
  • Económico: Bajo costo en comparación con otras soluciones electrónicas.
  • Precisión: Ofrece mediciones confiables de frecuencias y capacitancias.

Desventajas

  • Limitación de Frecuencia: Eficaz solo hasta 100 kHz.
  • Distorsión de⁢ Salida: Puede producir señales distorsionadas a frecuencias elevadas.
  • Dependencia de la Pureza de ⁢la Señal: Requiere una entrada de voltaje CA libre de ​distorsiones.

Aplicaciones del Puente de Wien

El Puente de Wien es ampliamente utilizado en:

  • Mediciones⁣ de frecuencia en laboratorios de‍ electrónica.
  • Calibración de instrumentos de medición.
  • Diseño de circuitos osciladores y‌ filtros.

Preguntas Frecuentes (FAQs)

¿Cuál‍ es la diferencia entre el Puente de Wien y otros puentes eléctricos?

El Puente de Wien es específico para aplicaciones de frecuencia y capacitancia, mientras que ‌otros puentes, como el Puente de Maxwell, están diseñados para medir ‍inductancias y resistencias.

¿Qué tipo⁤ de componentes se utilizan para construir un Puente de Wien?

Los componentes básicos ‌son resistencias y condensadores, que son fáciles de adquirir y⁤ de bajo costo.

¿Cómo se ajusta el Puente ⁣de Wien⁢ para obtener lecturas precisas?

El ajuste se realiza ⁤seleccionando componentes con valores adecuados ⁤que cumplan la condición de equilibrio del puente, que ​equilibra las impedancias de los brazos.

¿Es el Puente de Wien⁢ adecuado para frecuencias muy altas?

No, el Puente de Wien es ‍susceptible a la distorsión a frecuencias superiores a 100 ‍kHz, por lo ‌que su uso en altas frecuencias puede no ser efectivo.

Conclusión

El Puente de Wien se establece ​como una herramienta fundamental en la electrónica ​moderna, facilitando la medición precisa‍ de frecuencias y capacitancias. Su diseño simple y ⁢su economía lo convierten ⁤en un recurso⁤ valioso tanto para profesionales⁢ como para aficionados. Para profundizar más en la teoría y aplicaciones del Puente de Wien, puedes consultar recursos adicionales como ElectroAgenda y Wikipedia.

3 comentarios en «Puente de Wien: construcción de circuitos, derivación y aplicaciones»

  1. Me parece súper interesante el artículo sobre el Puente de Wien y la forma en que explican la construcción de circuitos. Recuerdo que cuando estaba en la uni, me tocó hacer un proyecto de electrónica donde tuvimos que usar este tipo de circuitos y, aunque al principio me costó un poco, al final ¡me enamoré de la teoría detrás de ellos! Es increíble cómo algo tan técnico puede tener aplicaciones tan prácticas.

  2. Tazon: ¡Qué buena onda que compartan sus experiencias! A mí también me pasó algo parecido en un proyecto de audio, donde utilicé un circuito derivado del Puente de Wien para filtrar ruidos en una grabación. Al principio me sentía perdido entre tanto componente, pero al final fue súper gratificante ver cómo todo funcionaba. Es impresionante cómo estas teorías tienen tanto impacto en el mundo real, ¡definitivamente me motivan a seguir aprendiendo más!

  3. Trapfietsit: ¡Totalmente de acuerdo! La parte de las aplicaciones me voló la cabeza. A mí también me pasó algo similar en un curso de robótica, donde utilizamos circuitos derivados del Puente de Wien para ajustar frecuencias. Al principio me parecía un lío, pero una vez que lo entendí, ¡fue como encender una bombilla! Es genial ver cómo la teoría se convierte en algo tangible en proyectos reales.

Deja un comentario