Puerta lógica universal: puerta NAND y puerta NOR como puerta universal

Puerta lógica universal: puerta NAND y puerta NOR como puerta universal

En el fascinante mundo de la electrónica digital, las puertas lógicas son los cimientos sobre los cuales se construyen dispositivos y sistemas complejos. Entre ellas, dos protagonistas se destacan por su versatilidad y poder: la puerta NAND y la puerta NOR. Pero, ¿qué hace a estas puertas tan especiales? ¿Por qué se les considera universales? En este artículo, exploraremos cómo estas puertas simples pueden combinarse para crear cualquier función lógica, formando la base de todo, desde computadoras hasta sistemas de comunicación. Acompáñanos en este viaje a través de la lógica digital y descubre el impacto transformador de las puertas NAND y NOR en la tecnología moderna.

¿Sabías que existen puertas lógicas capaces de realizar todas las funciones de otras puertas? En el fascinante mundo de la electrónica, nos encontramos con las puertas NAND y NOR, dos componentes capaces de realizar cualquier operación lógica. Descubre en este artículo cómo estas humildes puertas se convierten en auténticas «puertas universales» y revolucionan la industria tecnológica. ¡No te lo pierdas!

La puerta Nand y la puerta NOR son puertas lógicas universales. En este artículo, analizaremos las puertas lógicas universales en la electrónica digital y la implementación de puertas lógicas básicas (Y, O y NO) utilizando puertas lógicas universales. Entonces, comencemos con la definición básica de la puerta lógica universal.

En electrónica digital, las puertas lógicas se clasifican en dos categorías principales, a saber, puertas logicas basicas y puertas lógicas universales. Hay tres puertas lógicas básicas, a saber, puerta AND, puerta OR y puerta NOT.

¿Qué es una puerta universal?

En electrónica digital, un puerta lógica universal es uno que se puede usar para implementar cualquier tipo de función lógica sin usar ningún otro tipo de puerta lógica.

En la electrónica digital, hay dos tipos de puertas lógicas universales, a saber, puerta NAND y puerta NOR. Estas se denominan puertas lógicas universales porque pueden realizar las tres operaciones lógicas básicas, es decir, Y, O y NO. Por lo tanto, podemos realizar cualquier función lógica usando solo puertas NAND o solo puertas NOR.

Analicemos ahora la puerta NAND y la puerta NOR en detalle.

¿Qué es la puerta NAND universal?

A puerta NAND es un puerta lógica universal Se utiliza en sistemas electrónicos digitales para implementar funciones lógicas.

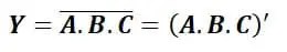
La puerta NAND puede tener dos o más entradas y solo una salida. Es básicamente una combinación de dos funciones lógicas básicas, a saber, Y y NO, es decir

Puerta NAND = Puerta AND + Puerta NOT

De ahí que también se le llame NOTed Y puerta.

Los símbolos del circuito lógico de dos puertas NAND de entrada y tres de entrada se muestran en la siguiente figura.

Puerta lógica universal: puerta NAND y puerta NOR como puerta universal>Tabla de verdad de NAND Gate

La tabla que describe la relación entre las variables de entrada y las variables de salida de una puerta lógica se denomina tabla de verdad.

La siguiente es la tabla de verdad de una puerta NAND de dos entradas.

Puerta lógica universal: puerta NAND y puerta NOR como puerta universal>

La siguiente es la tabla de verdad de una puerta NAND de tres entradas.

Puerta lógica universal: puerta NAND y puerta NOR como puerta universal>De las tablas de verdad anteriores, está claro que si alguna de las entradas de la compuerta NAND es baja (0 lógico), la salida será alta (1 lógico), y si todas las entradas de la compuerta NAND son altas (1 lógico ), la salida será baja (0 lógico).

Expresión booleana de puerta NAND

La expresión booleana es una función lógica que describe el comportamiento de una puerta lógica para diferentes combinaciones de entrada.

La expresión booleana de una puerta NAND de dos entradas se muestra a continuación.

Puerta lógica universal: puerta NAND y puerta NOR como puerta universal>La expresión booleana de una puerta NAND de tres entradas se muestra a continuación,

Puerta lógica universal: puerta NAND y puerta NOR como puerta universal>¿Qué es la puerta NOR universal?

Una puerta NOR es una puerta lógica universal utilizada en sistemas electrónicos digitales para implementar funciones lógicas.

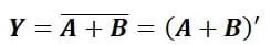
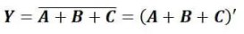
La puerta NOR puede tener dos o más entradas y solo una salida. Es básicamente una combinación de dos funciones lógicas básicas, a saber, O y NO, es decir

Puerta NOR = Puerta OR + Puerta NOT

Por lo tanto, también se le llama el NOTEDOR puerta.

Los símbolos del circuito lógico de las puertas NOR de dos y tres entradas se muestran en la siguiente figura.

Puerta lógica universal: puerta NAND y puerta NOR como puerta universal>Tabla de verdad de la puerta NOR de lógica universal

La siguiente es la tabla de verdad de una puerta NOR de dos entradas:

Puerta lógica universal: puerta NAND y puerta NOR como puerta universal>

La siguiente es la tabla de verdad de una puerta NOR de tres entradas:

Puerta lógica universal: puerta NAND y puerta NOR como puerta universal>De las tablas de verdad anteriores, está claro que si alguna de las entradas de la compuerta NOR es alta (1 lógico), la salida será baja (0 lógico), y si todas las entradas de la compuerta NOR son bajas (0 lógico ), la salida será alta (lógica 1).

Expresión booleana de puerta NOR

La expresión booleana de una puerta NOR de dos entradas se muestra a continuación.

Puerta lógica universal: puerta NAND y puerta NOR como puerta universal>La expresión booleana de una puerta NOR de tres entradas se muestra a continuación.

Puerta lógica universal: puerta NAND y puerta NOR como puerta universal>Después de discutir las compuertas NAND y NOR individualmente, analicemos ahora la implementación de las compuertas lógicas básicas (AND, OR y NOT) usando las compuertas NAND y NOR.

Implementación de Puertas Lógicas Básicas usando Puertas Lógicas Universales

1. Puerta NO usando puerta NAND

La siguiente figura muestra una puerta NOT usando una puerta NAND.

Puerta lógica universal: puerta NAND y puerta NOR como puerta universal>2. NOT Gate usando NOR Gate

Puerta lógica universal: puerta NAND y puerta NOR como puerta universal>3. Puerta AND usando puerta NAND

La siguiente figura muestra una puerta AND usando una puerta NAND universal.

Puerta lógica universal: puerta NAND y puerta NOR como puerta universal>4. Puerta AND usando puerta NOR

La siguiente figura muestra una puerta AND usando una puerta NOR universal.

Puerta lógica universal: puerta NAND y puerta NOR como puerta universal>5. Puerta OR usando puerta NAND

La siguiente figura muestra una puerta OR usando una puerta NAND universal.

Puerta lógica universal: puerta NAND y puerta NOR como puerta universal>6. O Compuerta usando NOR Compuerta

La siguiente figura muestra una puerta OR usando una puerta NOR.

Puerta lógica universal: puerta NAND y puerta NOR como puerta universal>Conclusión

Por lo tanto, se trata de puertas lógicas universales en electrónica digital. De la discusión anterior, está claro que podemos implementar las tres funciones lógicas básicas, es decir, AND, OR y NOT usando solo puertas NAND o solo puertas NOR. Es por eso que las puertas NAND y NOR se conocen como puertas lógicas universales.

Error 403 The request cannot be completed because you have exceeded your quota. : quotaExceeded

[automatic_youtube_gallery type=»search» search=»Puerta lógica universal: puerta NAND y puerta NOR como puerta universal» limit=»1″]

Puerta⁢ Lógica Universal: Puerta NAND y NOR

Introducción

En el ⁣fascinante mundo de‍ la electrónica ⁣digital, las puertas lógicas son⁢ los cimientos sobre los cuales⁢ se construyen dispositivos y sistemas ⁢complejos. Entre ellas, ⁤dos protagonistas ⁤se destacan por su versatilidad y poder: la‌ puerta NAND y la puerta NOR. Estas puertas ⁤lógicas son clasificadas como universales, lo ⁣que significa ⁣que pueden combinarse para generar cualquier función lógica, formando la base de todo, desde computadoras hasta sistemas de comunicación.

Definición de Puerta Lógica Universal

En electrónica digital, una puerta lógica universal es aquella que puede ser utilizada para implementar cualquier tipo ⁢de función lógica sin⁤ el uso de otros tipos de puertas. Las dos ⁣puertas‌ que cumplen con esta característica son la ⁤ puerta NAND y la⁢ puerta NOR[[2]](https://savonius.iesbinefar.es/CIRCUITOS%20LOGICOS/2/contenido/6_implementacin_de_circuitos_con_puertas_nand_y_nor.html).

¿Qué es⁤ la Puerta NAND?

La puerta NAND es una ‌de las puertas‌ lógicas universales fundamentales en ‌la​ electrónica ‍digital. Su funcionamiento es el siguiente:

  • La puerta NAND tiene dos o más⁢ entradas y solo una ‍salida.
  • Su operación puede ⁣ser descrita como la combinación de una puerta AND seguidos de una NOT, es decir, Puerta ‌NAND = Puerta⁢ AND + Puerta NOT[[3]](https://es.wikipedia.org/wiki/Puerta_NAND).

Tabla de Verdad ‌de la Puerta NAND

La tabla de ‍verdad de una puerta NAND con dos entradas es‍ la⁤ siguiente:

  • Entradas: 0, 0 ⁢→ Salida: 1
  • Entradas: 0, 1 → Salida: ⁣1
  • Entradas: 1, 0 → Salida: 1
  • Entradas: 1, ⁢1 → ‍Salida: 0

¿Qué es la Puerta‍ NOR?

La puerta NOR, al ​igual que la NAND, es ⁤otra puerta lógica universal. Su operación es:

  • También​ tiene ⁢dos⁢ o ⁢más ⁤entradas y solo una salida.
  • Se describe como la combinación de una puerta OR seguida‌ de ⁣una NOT, es decir, Puerta NOR = ‌Puerta OR + Puerta NOT.

Tabla de Verdad de la Puerta NOR

La tabla de verdad de una puerta NOR con dos entradas⁢ es la siguiente:

  • Entradas: ​0, 0 → ‍Salida: 1
  • Entradas: 0,‌ 1 → Salida: 0
  • Entradas: 1, 0 → Salida: 0
  • Entradas: 1, 1 → ⁤Salida: 0

Importancia de las ⁣Puertas Universales en la Electrónica Digital

Las puertas NAND y NOR son ⁣fundamentales en el‌ ámbito​ de la⁣ electrónica ‌digital debido ⁤a su capacidad para ‍implementar cualquier función lógica. Esto no solo simplifica los circuitos ⁣electrónicos, sino que también reduce el ⁢costo ‌y el tamaño de los⁤ dispositivos, permitiendo un diseño‌ más ‍eficiente de sistemas complejos[[1]](https://www.cartagena99.com/recursos/alumnos/apuntes/Tema%203%20-%20Puertas%20Universales.pdf).

FAQs sobre Puertas Lógicas Universales

¿Por ⁣qué se consideran ⁣las puertas NAND y NOR universales?

Las puertas NAND y NOR son​ consideradas universales porque pueden ser‌ utilizadas para crear cualquier‍ otro tipo ⁤de puerta lógica (AND, OR, NOT) ​mediante combinaciones adecuadas de ellas. Esto ‌las hace extremadamente versátiles en el diseño de circuitos electrónicos.

¿Se puede ⁣construir un circuito completo⁢ solo con puertas​ NAND?

Sí, es posible construir⁢ un circuito completo utilizando⁣ únicamente puertas NAND. Por ejemplo, se puede crear ⁣una​ puerta AND combinando puertas NAND ‍en una‌ configuración específica.

¿Cuál es la diferencia principal entre las puertas NAND y NOR?

La principal ‍diferencia⁤ entre las ⁢puertas NAND y NOR radica en su lógica‌ de operación. ‌La puerta NAND produce ⁢una salida baja solo cuando todas sus entradas son ​altas,⁢ mientras que ​la ⁣puerta NOR produce una‌ salida alta solo cuando ⁤todas sus entradas son⁢ bajas.

© 2024 – Artículo sobre puertas lógicas universales. Para más información, consulta aquí.

6 comentarios en «Puerta lógica universal: puerta NAND y puerta NOR como puerta universal»

  1. ¡Qué interesante artículo! Siempre me ha fascinado cómo esas puertas lógicas, como la NAND y la NOR, pueden hacer casi cualquier cosa en el mundo digital. Recuerdo cuando empecé a aprender sobre electrónica en la universidad y me pasé horas lidiando con circuitos. ¡Nunca pensé que entender estas puertas sería tan esencial! Me parece alucinante que, con solo unas cuantas combinaciones, se pueda lograr tanto. Sin duda, son como el Swiss Army knife del mundo de la lógica. ¡Gracias por compartir esta info!

  2. ¡Claro que sí, stefan! A mí también me impresionó mucho aprender sobre estas puertas. Recuerdo que en mi primera clase de electrónica, el profesor nos dijo que con solo un par de NAND podíamos construir cualquier circuito lógico. Me parecía imposible al principio, pero una vez que lo probé en la práctica, ¡todo cobró sentido! Es increíble cómo algo tan simple puede tener tantas aplicaciones. ¡La lógica digital es otro mundo!

  3. ¡Excelente explicación sobre las puertas NAND y NOR! Es impresionante cómo estos componentes básicos pueden utilizarse para construir cualquier circuito lógico. Sin duda, son la base fundamental de la electrónica digital moderna. ¿Podrías incluir ejemplos de circuitos prácticos que demuestren su versatilidad?

  4. ¡Totalmente de acuerdo, harnek! A mí me parece fascinante cómo la puerta NAND y la NOR se consideran puertas universales. Recuerdo cuando estaba en la universidad y tuvimos que hacer un proyecto solo usando puertas NAND. Fue todo un reto, pero al final entendí lo poderosas que son. Sin ellas, estaríamos perdidos en el mundo de la lógica digital.

  5. Ilannart: ¡Exacto, Ilannart! Yo también quedé alucinado cuando entendí que solo con NAND y NOR podías hacer lo que quisieras. En una práctica de laboratorio una vez, armamos un circuito completo solo con esas puertas y fue todo un viaje. Al principio pensé que nunca lograríamos hacerlo funcionar, pero cuando se encendió la luz, fue como si hubiera caído un rayo de inspiración. ¡Es impresionante cómo los básicos pueden dar lugar a todo un universo de posibilidades en la lógica digital!

Deja un comentario