Puerta lógica NAND: símbolo, tabla de verdad, diagrama de circuito, trabajo
En el fascinante mundo de la electrónica digital, las puertas lógicas son fundamentales para la construcción de circuitos y sistemas complejos. Entre ellas, la puerta lógica NAND se destaca no solo por su versatilidad, sino también por su capacidad para simplificar el diseño de circuitos. Pero, ¿qué la hace tan especial? Desde su símbolo intuitivo hasta su tabla de verdad única, cada aspecto de la puerta NAND revela secretos del funcionamiento interno de los dispositivos que usamos a diario. En este artículo, exploraremos a fondo la puerta NAND, desentrañaremos su diagrama de circuito y analizaremos su papel crucial en el ámbito de la lógica digital. ¡Acompáñanos en este viaje técnico y descubre cómo esta pequeña pero poderosa puerta puede transformar el mundo de la electrónica!
La puerta lógica NAND es una de las más utilizadas en electrónica. Su símbolo, tabla de verdad y diagrama de circuito son fundamentales para comprender su funcionamiento. En este artículo exploraremos detalladamente esta puerta y su importante papel en los circuitos lógicos. Además, conoceremos cómo se utiliza y su relevancia en diversos ámbitos de trabajo. ¡Sigue leyendo para descubrir todo lo que necesitas saber sobre la puerta lógica NAND!
En este artículo, discutiremos la puerta lógica NAND, su definición, tabla de verdad, expresión booleana, circuito eléctrico equivalente y más. Entonces, comencemos con la definición básica de puerta lógica NAND.
¿Qué es la puerta NAND?
En electrónica digital, una puerta NAND es un tipo de puerta lógica universal mediante la cual se puede implementar cualquier función lógica básica. La compuerta NAND es básicamente una combinación de dos compuertas lógicas básicas, es decir, AND y NOT, por lo que también se denomina compuerta AND notada.
La puerta NAND realiza la misma operación que una puerta AND seguida de una puerta NOT, es decir
>La puerta NAND produce una salida baja o 0 lógico, cuando todas sus entradas son altas o 1 lógico, y produce una salida alta o 1 lógico cuando cualquiera de sus entradas es baja o 0 lógico. Por lo tanto, la puerta NAND es una inversión. de la puerta AND en términos de operación.
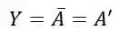
Símbolo de la puerta NAND
El símbolo lógico básico de la puerta NAND se muestra en la siguiente figura.
>Expresión booleana de puerta NAND
El Expresión booleana de una puerta NAND de dos entradas se da a continuación.
>Donde A y B son las variables de entrada e Y es la variable de salida de la puerta NAND dada.
El Expresión booleana de una puerta NAND de tres entradas se da de la siguiente manera:
>Donde A, B y C son las variables de entrada e Y es la variable de salida de la puerta NAND dada.
Funcionamiento de la puerta NAND
El funcionamiento de dos entradas La puerta NAND para diferentes combinaciones posibles de entradas es la siguiente:
Puerta NAND de 2 entradas
- Cuando A = 0 y B = 0, la salida Y es 1.
- Cuando A = 0 y B = 1, la salida Y es 1.
- Cuando A = 1 y B = 0, la salida Y es 1.
- Cuando A = 1 y B = 1, la salida Y es 0.
Puerta NAND de 3 entradas
El funcionamiento de una puerta NAND de tres entradas para las diferentes combinaciones posibles de entradas se describe a continuación:
- Cuando A = 0, B = 0 y C = 0, la salida Y es 1.
- Cuando A = 0, B = 0 y C = 1, la salida Y es 1.
- Cuando A = 0, B = 1 y C = 0, la salida Y es 1.
- Cuando A = 0, B = 1 y C = 1, la salida Y es 1.
- Cuando A = 1, B = 0 y C = 0, la salida Y es 1.
- Cuando A = 1, B = 0 y C = 1, la salida Y es 1.
- Cuando A = 1, B = 1 y C = 0, la salida Y es 1.
- Cuando A = 1, B = 1 y C = 1, la salida Y es 0.
Por lo tanto, a partir de esta discusión, está claro que la salida de la compuerta NAND es baja solo cuando todas sus entradas son altas, para el resto de combinaciones de entradas, la salida es alta.
Tabla de verdad de NAND Gate
Puerta NAND de 2 entradas
El siguiente es el tabla de verdad de una puerta NAND de dos entradas:
Aporte
Producción
A
B
Y = (AB)’
0
0
1
0
1
1
1
0
1
1
1
0
Puerta NAND de 3 entradas
Aporte
Producción
A
B
C
Y = (AB)’
0
0
0
1
0
0
1
1
0
1
0
1
0
1
1
1
1
0
0
1
1
0
1
1
1
1
0
1
1
1
1
0
Realización de NAND Gate usando Basic Logic Gates
Como se mencionó en la sección introductoria, la puerta NAND es una combinación de puertas lógicas básicas, a saber, puerta AND y puerta NOT.
Por lo tanto, podemos realizar o implementar una puerta NAND conectando una puerta AND y una puerta NOT como se muestra en la siguiente figura.
>Puerta NAND de múltiples entradas
Podemos implementar una puerta NAND de orden superior, es decir, una puerta NAND que tenga más entradas mediante el uso de puertas NAND de dos entradas.
Por ejemplo, en la siguiente figura se muestra la realización de una puerta NAND de seis entradas utilizando seis puertas NAND de dos entradas y una puerta NAND de tres entradas.
>La salida de este circuito lógico se da de la siguiente manera:
>Realización de Puertas Lógicas Básicas usando NAND Gate
Como mencionamos anteriormente, la puerta NAND es una puerta lógica universal, por lo tanto, podemos implementar cualquier lógica básica usando esta puerta NAND.
1. Puerta AND usando puerta NAND
La implementación de una puerta AND usando una puerta NAND se muestra en la siguiente figura.
>La salida de este circuito lógico es equivalente a la salida de la puerta AND, es decir
>2. Puerta OR usando puerta NAND
La implementación de una puerta OR usando NAND se muestra en la siguiente figura.
>La salida de este circuito lógico NAND es equivalente a una salida de puerta OR, es decir
>3. Puerta NO usando puerta NAND
La implementación de una puerta NOT usando una puerta NAND se muestra en la siguiente figura.
>La salida de este circuito lógico NAND es equivalente a la salida de puerta NOT, es decir
>Puerta NAND en lógica RTL
Podemos construir una puerta NAND usando RTL o Lógica de transistor de resistencia. La implementación de una puerta NAND de dos entradas en la lógica del transistor de resistencia se muestra en la siguiente figura.
>Cuando tanto el transistor T1 como el T2 conducen, obtenemos una salida baja (A = 1, B = 1, luego Y = 0). Si alguno de los transistores no conduce, obtendremos una salida alta (A = 1, B = 0, luego Y = 1)
Circuitos integrados de puerta NAND
Las puertas NAND también vienen en forma de circuitos integrados (IC). Los circuitos integrados de puerta NAND comúnmente utilizados se enumeran en la siguiente tabla.
Familia lógica
Nombre y entrada de IC
Lógica TTL (Lógica transistor-transistor)
74LS00 (cuádruple 2 entradas)
Lógica TTL
74LS10 (triple 3 entradas)
Lógica TTL
74LS20 (4 entradas dobles)
Lógica TTL
74LS30 (8 entradas únicas)
Lógica CMOS (semiconductor de óxido de metal complementario)
CD4011 (Cuádruple 2 entradas)
Lógica CMOS
CD4023 (triple 3 entradas)
Lógica CMOS
CD4012 (4 entradas dobles)
Esto es todo sobre la puerta NAND, su definición, tabla de verdad, operación, expresión booleana, etc.
[automatic_youtube_gallery type=»search» search=»Puerta lógica NAND: símbolo, tabla de verdad, diagrama de circuito, trabajo» limit=»1″]
Puerta Lógica NAND: Símbolo, Tabla de Verdad, Diagrama de Circuito y Trabajo
En el fascinante mundo de la electrónica digital, las puertas lógicas son fundamentales para la construcción de circuitos y sistemas complejos. Entre ellas, la puerta lógica NAND se destaca no solo por su versatilidad, sino también por su capacidad para simplificar el diseño de circuitos. En este artículo, exploraremos a fondo la puerta NAND, desentrañaremos su diagrama de circuito y analizaremos su papel crucial en el ámbito de la lógica digital. ¡Acompáñanos en este viaje técnico!
¿Qué es la puerta NAND?
La puerta NAND es un tipo de puerta lógica universal mediante la cual se puede implementar cualquier función lógica básica. Es una combinación de dos compuertas lógicas básicas, es decir, AND y NOT, por lo que también se denomina compuerta AND negada.
Función de la puerta NAND
La puerta NAND produce una salida baja (0 lógico) solo cuando todas sus entradas son altas (1 lógico). En todos los demás casos, la salida es alta (1 lógico).
Diagrama de la puerta NAND
A continuación, se muestra el símbolo lógico básico de la compuerta NAND:

Tabla de Verdad de la Puerta NAND
Puerta NAND de 2 entradas
| A | B | Y = (AB)’ |
|---|---|---|
| 0 | 0 | 1 |
| 0 | 1 | 1 |
| 1 | 0 | 1 |
| 1 | 1 | 0 |
Puerta NAND de 3 entradas
| A | B | C | Y = (ABC)’ |
|---|---|---|---|
| 0 | 0 | 0 | 1 |
| 0 | 0 | 1 | 1 |
| 0 | 1 | 0 | 1 |
| 0 | 1 | 1 | 1 |
| 1 | 0 | 0 | 1 |
| 1 | 0 | 1 | 1 |
| 1 | 1 | 0 | 1 |
| 1 | 1 | 1 | 0 |
Implementación de la Puerta NAND
La puerta NAND se puede implementar utilizando una combinación de puertas AND y NOT. Esta propiedad la convierte en una de las bases fundamentales en el diseño de circuitos digitales, ya que es posible crear cualquier otra puerta lógica utilizando solo puertas NAND.
Ejemplo de Circuito con Puerta NAND
Se puede observar que un circuito simple se puede crear utilizando puertas NAND para generar puertas lógicas como AND y OR. A continuación, se muestra un ejemplo de implementar una puerta AND utilizando NAND:

FAQs sobre la Puerta Lógica NAND
¿Cuál es la diferencia entre una puerta AND y una puerta NAND?
La diferencia principal radica en la salida. La puerta AND solo produce una salida alta (1) cuando todas sus entradas son altas (1), mientras que la puerta NAND produce una salida baja (0) solo cuando todas sus entradas son altas. En todos los demás casos, la salida de la puerta NAND es alta (1).
¿Dónde se utilizan las puertas NAND en la práctica?
Las puertas NAND son extremadamente versátiles y se utilizan en una amplia gama de aplicaciones, desde circuitos integrados hasta sistemas de computación. Su capacidad para formar cualquier tipo de función lógica las convierte en un componente esencial en el diseño de microprocesadores y sistemas digitales.
¿Por qué se considera que la puerta NAND es una puerta lógica universal?
Es considerada universal porque se puede utilizar para crear cualquier otra puerta lógica. Esto significa que, con suficientes puertas NAND, es posible implementar circuitos complejos necesarios para realizar cualquier operación lógica imaginable.
Si deseas profundizar más en el tema, te recomendamos visitar estos enlaces externos: Itztli y IElectel.
¡Excelente explicación sobre la puerta lógica NAND! Me encanta cómo desglosas su símbolo, tabla de verdad y diagrama de circuito. Es fundamental entender su funcionamiento, ya que es clave en el diseño de circuitos digitales. ¡Sigue compartiendo este tipo de contenido!
E ayudó mucho a entender conceptos más complejos después. La prácita con los diagramas de circuito también fue clave, ¡ahora siempre supe cómo conectarlo todo! Sin duda, la puerta NAND es una de esas cosas que parece sencilla pero tiene un impacto enorme. ¡Genial el artículo!
Satizabal: ¡Totalmente de acuerdo, damas! Ese artículo me trajo buenos recuerdos de mis clases de electrónica. También me sorprendía cómo un simple componente podía lograr tanto. La primera vez que hice un proyecto con puertas NAND, me sentí como un genio, aunque en realidad solo estaba siguiendo unas guías. Pero esa emoción al ver el circuito funcionar, ¡no tiene comparación! Sin duda, aprender sobre estos temas nos abre una ventana a la forma en que funciona el mundo. ¡Muy bien hecho!
Integrar una puerta NAND en un circuito y me costó un buen rato hacer que funcionara correctamente. Pero una vez que lo logré, fue como si hubiera desbloqueado un nuevo nivel en mi aprendizaje. ¡Es impresionante pensar en todas las aplicaciones que tienen! Estoy de acuerdo con damas, la tabla de verdad es un clásico y te hace comprender mejor cómo operan. ¡Realmente aprecio que compartan este tipo de contenido!
Davey: ¡Hola, damas y satizabal! Totalmente resonando con lo que dicen. El artículo me pareció genial, sobre todo la parte de la tabla de verdad, que siempre me pareció un desafío. Recuerdo cuando hice mi primer circuito con una puerta NAND; fue un desastre al principio, pero una vez que todo encajó, no podía creer que algo tan pequeño pudiera encender una luz. Fue un momento de «¡Eureka!» para mí. Así que gracias por compartir este tema, definitivamente trae buenos recuerdos y refuerza lo útil que son estos componentes en la electrónica. ¡Gran curro con el post!
¡Qué buen artículo sobre la puerta lógica NAND! La verdad es que cuando empecé a estudiar electrónica, me volvió loco entender cómo funcionan estas puertas. Recuerdo que en mi primer proyecto intenté hacer un circuito básico con NAND y fue todo un reto, pero al final sentir esa satisfacción al ver que funcionaba fue increíble. Definitivamente, estas cositas son la base de todo lo que somos capaces de armar hoy en día. ¡Gracias por compartir información tan chévere!
¡Hola damas! La verdad es que el artículo sobre la puerta lógica NAND está súper completo. Recuerdo cuando estaba en la universidad y aprendí sobre estos circuitos, ¡me voló la cabeza cómo algo tan simple puede hacer tantas cosas en el mundo de la electrónica! La tabla de verdad siempre fue mi parte favorita, me parecía un rompecabezas hacer coincidir las entradas y salidas. Definitivamente, me hizo apreciar más la tecnología que usamos a diario. ¡Gran trabajo con el post!