¿Qué bombilla brilla más cuando se conecta en serie y por qué?

¿Qué bombilla brilla más cuando se conecta en serie y por qué?

Cuando se trata de iluminar espacios, las bombillas son protagonistas indiscutibles. Pero, ¿alguna vez te has preguntado qué sucede cuando conectamos varias de ellas en serie? En este fascinante experimento eléctrico, no solo exploraremos cuál de las bombillas brilla más, sino que también desentrañaremos los secretos detrás de este fenómeno. Desde la resistencia hasta la potencia, cada bombilla tiene su propio carácter y comportamiento. Te invitamos a sumergirte en el mundo de la electricidad y descubrir la sorprendente interacción entre las bombillas. ¡Prepárate para iluminar tu conocimiento!

«Descubre el fascinante mundo de la conexión en serie de bombillas y desvela el misterio detrás de cuál de ellas brilla más. En este artículo te mostraremos los principios de la física que determinan este fenómeno y te explicaremos por qué una bombilla destaca sobre las demás. ¡Prepárate para adentrarte en el increíble funcionamiento de la electricidad y descubrir la respuesta a esta intrigante pregunta!»

Podemos conectar las bombillas en serie o en paralelo según la aplicación deseada. El lumen de la bombilla depende de la corriente que fluye a través del elemento de la bombilla. El efecto de calentamiento depende de la actual y la resistencia de la bombilla. El calor producido por la bombilla es proporcional al producto del cuadrado de la corriente y la resistencia.

¿Qué bombilla brilla más cuando se conecta en serie y por qué?

>Así, el calor producido depende de la corriente y la resistencia de la bombilla. Teniendo en cuenta estos dos parámetros podemos saber la luminosidad de las bombillas cuando están conectadas en serie o en paralelo. Para entender, tomaremos dos casos diferentes de bombillas conectadas en series y combinaciones paralelas.

Caso 1: Cuando se conectan bombillas de clasificación idéntica en serie

Deje que el voltaje y la potencia nominal de la bombilla sean los mismos. El voltaje, la potencia de las bombillas son V y P respectivamente. El diagrama de circuito de bombillas idénticas conectadas en serie es el siguiente.

¿Qué bombilla brilla más cuando se conecta en serie y por qué?

>Deje que el voltaje y la potencia nominal de la bombilla sean los mismos. El voltaje, la potencia de las bombillas son V y P respectivamente. La resistencia de ambas bombillas se suma y, por lo tanto, la corriente a través de las bombillas es la mitad de su corriente nominal. En este caso, ambas bombillas brillarán con la mitad de su intensidad nominal.

Caso 2- Cuando se conectan bombillas de clasificación idéntica en serie y el doble de la clasificación de la bombilla se aplica voltaje a un circuito en serie

¿Qué bombilla brilla más cuando se conecta en serie y por qué?

>La corriente a través de las bombillas en serie es;

Yo = 2V/(R+R) = 2V/2R = V/R

Por lo tanto, la corriente a través de cada bombilla es igual a la corriente nominal de la bombilla, y ambas bombillas brillarán con el mismo brillo.

Este tipo de conexión de lámpara en serie se utiliza para medir voltaje de línea a línea de 440 voltios.

¿Qué bombilla brilla más cuando se conecta en serie y por qué?

>Precaución:

Ambas bombillas deben ser del mismo voltaje de 220 voltios y la potencia de la bombilla debe ser la misma. En el caso de diferentes clasificaciones de potencia, la bombilla de menor vataje explotará debido a que se calienta más que su capacidad nominal y puede causar accidentes.

Caso 3- Cuando no identicos Las bombillas nominales están conectadas en serie.

¿Qué bombilla brilla más cuando se conecta en serie y por qué?

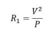
>La resistencia de la bombilla 1 es ;

¿Qué bombilla brilla más cuando se conecta en serie y por qué?

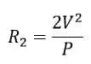
>Resistencia de la bombilla 2

¿Qué bombilla brilla más cuando se conecta en serie y por qué?

>Desde arriba, es claro que R2 >R1

El flujo de corriente a través de ambas bombillas conectadas en serie es el mismo.

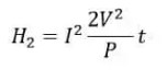
El calor generado en el bulbo-1 es;

¿Qué bombilla brilla más cuando se conecta en serie y por qué?

>El calor generado en el bulbo-2 es;

¿Qué bombilla brilla más cuando se conecta en serie y por qué?

>Desde arriba H2>H1, por lo tanto, la bombilla 2 brillará más que la bombilla 1.

Regla general

Cuando conectamos dos bombillas o más de dos bombillas en serie, la bombilla que tiene menor potencia nominal tiene más resistencia y brillará más.

Ejemplo:

Dos focos de potencia nominal de 50 watts y 100 watts, 220 volts están conectados en serie y alimentados con 220 volts. ¿Qué bombilla brillará más?

Resistencia de una bombilla de 50 vatios

¿Qué bombilla brilla más cuando se conecta en serie y por qué?

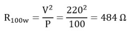
>Resistencia de una bombilla de 100 vatios

¿Qué bombilla brilla más cuando se conecta en serie y por qué?

>La resistencia total del circuito en serie (R)

¿Qué bombilla brilla más cuando se conecta en serie y por qué?

>La corriente total en el circuito (I)

¿Qué bombilla brilla más cuando se conecta en serie y por qué?

>La corriente que fluye a través de ambas bombillas conectadas en serie será la misma.

La potencia disipada por una bombilla de 50 vatios

¿Qué bombilla brilla más cuando se conecta en serie y por qué?

>La potencia disipada por una bombilla de 50 vatios

¿Qué bombilla brilla más cuando se conecta en serie y por qué?

>Desde arriba, está claro que una bombilla de 50 vatios consume más energía que una bombilla de 100 vatios.

¿Qué bombilla brilla más cuando se conecta en serie y por qué?

>Por lo tanto, una bombilla de 50 vatios brillará más que una bombilla de 100 vatios cuando se conecta en serie.

Artículos relacionados

  • Corriente Eléctrica y Teoría de la Electricidad
  • Efecto de la temperatura sobre la resistencia
  • Ley de Ohm
  • Variación de resistencia con Diámetro
  • Error 403 The request cannot be completed because you have exceeded your quota. : quotaExceeded

    [automatic_youtube_gallery type=»search» search=»¿Qué bombilla brilla más cuando se conecta en serie y por qué?» limit=»1″]

    ¿Qué bombilla brilla más cuando⁢ se conecta⁤ en⁤ serie ‌y⁢ por qué?

    Introducción a la ⁣conexión en serie

    Cuando se trata de iluminar espacios, las ‍bombillas⁤ son protagonistas indiscutibles. ⁤Pero, ¿alguna vez te has preguntado qué sucede⁤ cuando conectamos varias de ellas en serie? En este artículo, desentrañaremos los secretos detrás ​de este‍ fenómeno, explorando la resistencia ⁣y la ⁤potencia de las bombillas.

    Principios de funcionamiento de ⁤las bombillas en serie

    La conexión de bombillas ‍en serie implica que todas comparten ​el mismo flujo de corriente. Esto significa⁤ que la resistencia total del circuito es la suma ⁢de las resistencias ⁤de cada bombilla. Al aumentar la resistencia total, la corriente que fluye a través⁣ del circuito disminuye, lo⁣ que a su vez afecta la luminosidad⁤ de las bombillas.

    ¿Cuál ‍bombilla brilla más?

    Casos a considerar

    1. Bombillas de igual potencia: ⁣Si ⁣conectas dos‌ bombillas ⁢de igual potencia (por ejemplo, 10W y 10W) en serie, cada una brillará a la mitad de su luminiscencia nominal, ya que la corriente total se divide entre ambas.
    2. Bombillas de diferente potencia: ⁢ Si conectas‍ una bombilla de 10W y otra de 6W en serie,‌ la bombilla de menor potencia (6W) brillará más que la de 10W. Esto se debe a​ que⁤ la resistencia ⁢de ​la bombilla de 6W es mayor, lo que resulta en‍ una mayor caída⁢ de voltaje‌ en ella⁢ y, por lo tanto, más luz emitida en comparación con la bombilla de ⁣10W [[1]].

    La⁣ ley‌ de Ohm y su impacto en⁣ la luminosidad

    La ley de Ohm ⁢(V = I × R) ​nos ayuda a ⁤comprender la relación entre la tensión (V), la corriente (I) y⁣ la resistencia (R). ‍En ‍un circuito con ⁤bombillas en serie, la caída de tensión en cada bombilla afectará su brillo. Esto ⁣significa que una bombilla con mayor resistencia podría llevar a mayor brillo en comparación con otra, dependiendo⁣ de⁤ las características del circuito y ⁤la configuración de las bombillas [[3]].

    FAQs sobre bombillas en serie

    ¿Qué ⁢sucede ⁤si conecto bombillas de diferentes potencias en serie?

    Al conectar bombillas⁣ de diferentes potencias en serie, la de menor ‌potencia brillará más intensamente, ya ⁤que tendrá una resistencia mayor y, por ende, una mayor caída de tensión.

    ¿Las bombillas en ⁢serie consumen más energía que las conectadas en paralelo?

    En general, las bombillas conectadas‌ en ‍serie pueden​ consumir ⁤menos energía que en paralelo, ya que la corriente es menor en un​ circuito serie. Sin embargo, la luminosidad total ⁢se ve afectada negativamente, ya que cada bombilla recibe menos energía.

    Para más información sobre electricidad y ciencia, visita ‍fuentes acreditadas y sigue explorando. La comprensión de estos‍ principios te⁣ permitirá elegir las bombillas adecuadas para tus necesidades⁢ de iluminación.

    3 comentarios en «¿Qué bombilla brilla más cuando se conecta en serie y por qué?»

    1. Rafael arturo: ¡Hola, victoria! Estoy totalmente de acuerdo, el artículo es muy didáctico. También me pasó algo similar cuando era pequeño; mi hermano y yo conectamos varias bombillas en serie y al final solo una brillaba, ¡y ni siquiera tanto! Fue un desastre total, pero aprendí a la fuerza cómo funcionaban los circuitos. Es curioso cómo experiencias sencillas pueden enseñarnos tanto sobre la electricidad. ¡Gracias por el post!

    2. ¡Hola, victoria! La verdad es que el artículo me pareció súper interesante. Nunca me había puesto a pensar en cómo afectan las conexiones en serie a la luminosidad de las bombillas. Recuerdo que cuando era niño, jugué un poco con un circuito en casa y noté que algunas bombillas se apagaban si ponía más de una en serie. Fue una experiencia reveladora, ¡mejor tener cuidado con eso! Creo que el artículo hace un gran trabajo al explicarlo, así que gracias por compartirlo.

    3. Jelsnr: ¡Hola a todos! La verdad es que el artículo me trajo muchos recuerdos. Cuando tenía unos 10 años, también hice un experimento con bombillas en serie y me quedé sorprendido al ver que no todas brillaban igual. A veces, parecía que una bombilla competía con otra por la energía, ¡como si estuvieran en una carrera! Fue un buen aprendizaje, y ahora entiendo mucho mejor por qué pasa eso. ¡Gracias por compartir este tema tan interesante!

    Deja un comentario