¿Alguna vez te has encontrado lidiando con circuitos eléctricos complejos y te has preguntado si existe una forma más sencilla de analizarlos? ¡No busques más! En este artículo, te presentamos el teorema de Millman, una herramienta poderosa en la teoría de circuitos que promete simplificar tus cálculos. Descubriremos su significado, cómo se aplica y, por supuesto, la fórmula que lo sostiene. Prepárate para desvelar los secretos de este teorema y llevar tu comprensión de la electricidad a un nuevo nivel. ¡Vamos a sumergirnos!
El teorema de Millman es una herramienta fundamental en el análisis de circuitos eléctricos. Conocer esta fórmula nos permite resolver de manera eficiente y rápida problemas complejos de convergencia de diferentes fuentes de voltaje. Descubre qué es esta potente ecuación y cómo aplicarla en tus diseños eléctricos.
Los teoremas de redes o circuitos son una herramienta para resolver problemas eléctricos complejos. Usamos el Teorema de Millman para resolver circuitos eléctricos complejos que tienen muchas fuentes de voltaje o corriente. De acuerdo con el enunciado del teorema de Millman, las fuentes de voltaje y corriente se pueden reemplazar con una sola fuente de corriente con su resistencia equivalente. También usamos los siguientes teoremas de circuitos para resolver problemas de red.
Todos los teoremas de circuitos son igualmente importantes. Sin embargo, necesitamos aplicar los teoremas de la red de acuerdo con el diagrama del circuito para una solución rápida.
Cuando los muchos voltajes prácticos y las fuentes de corriente con su resistencia interna se conectan en el circuito paralelo, se vuelve bastante difícil encontrar la solución a través del teorema de Norton o Thevenin. Sin embargo, podemos encontrar fácilmente la solución de un circuito eléctrico tan complejo a través del teorema de Millman.
Usamos teorema de Millman para determinar el voltaje en los extremos del circuito que tiene muchos circuitos paralelos. Con el uso del teorema de Millman, es fácil calcular el voltaje al final del circuito para los 10 números o incluso más números de generadores de voltaje conectados en paralelo. El teorema de Millman también se llama el teorema del generador paralelo. Tomemos un diagrama de circuito para una mejor comprensión del teorema de Millman.
Deje que haya tres fuentes de voltaje V1, V2y V3 conectados en paralelo y sus resistencias internas son R1, R2y R3 respectivamente.

>
Declaración del teorema de Millman
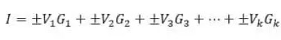
El teorema de Millman establece que es posible reemplazar un número de fuentes de voltaje con resistencia interna finita operando en paralelo con una sola fuente de voltaje con una resistencia equivalente en serie. Cuando el número de fuentes de tensión independientes (V1V2, V3, V4.—–Vnorte ) con resistencia interna (R1R2, R3, R4.—–Rnorte ) respectivamente, entonces este tipo de circuito puede ser reemplazado por una fuente de voltaje equivalente V en la serie con una resistencia en serie equivalente R. En el siguiente circuito, convertimos las fuentes de voltaje en fuentes de corriente equivalentes.

>Fórmula del teorema de Millman
Según la ley de Ohm;

>Donde I y R son la corriente total del circuito y la resistencia total del circuito respectivamente.
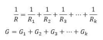
La corriente total del circuito es;

>La resistencia total del circuito es;

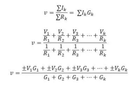
>Poniendo los valores de las ecuaciones (2) y (3) en la ecuación (1), obtenemos

>La forma generalizada de la ecuación de Millman para circuitos en paralelo «k» es;

>Pasos para resolver el teorema de Millman

> Donde- G es la conductancia del circuito.

> 2. Ahora, calcule la corriente total suministrada por el circuito siguiendo la expresión matemática.

>
> 3. Ahora, calcule la conductancia de cada fuente de corriente siguiendo una expresión matemática.

> 4. Ahora, calcule el voltaje de extremo abierto en el circuito paralelo. Según la Ley de Ohm;

>5. Ahora encuentre la corriente que fluye en el circuito de carga RL.

>Limitaciones de Teorema de Millman
Aplicaciones de Teorema de Millman
Ejemplos ilustrativos
Problemas Resueltos sobre el Teorema de Millman
Ahora intentaremos entender el concepto con la ayuda de un ejemplo.
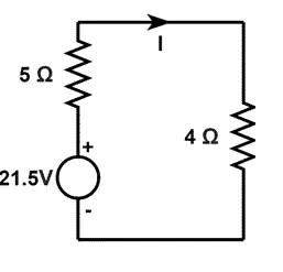
Encuentre el voltaje a través de la resistencia de 4 ohmios utilizando el teorema de Millman. Además, encuentre la corriente a través de la resistencia de 4 ohmios.

>Paso 1
Retire la resistencia de carga y mida el voltaje en el extremo de la fuente.

>
>
>El voltaje a través de la resistencia de 4 ohmios es de 21,5 voltios.

>Ahora, el circuito equivalente es

>La corriente a través de la resistencia de 4 ohmios es;

>Artículo relacionado:
[automatic_youtube_gallery type=»search» search=»¿Qué es el teorema de Millman? Fórmula del teorema de Millman» limit=»1″]
¿Qué es el Teorema de Millman?
¿Alguna vez te has encontrado lidiando con circuitos eléctricos complejos y te has preguntado si existe una forma más sencilla de analizarlos? ¡No busques más! El teorema de Millman es una herramienta poderosa en la teoría de circuitos eléctricos que promete simplificar tus cálculos.
Definición del Teorema de Millman
El teorema de Millman permite analizar circuitos en los que hay múltiples fuentes de voltaje conectadas en paralelo. Este teorema establece que es posible reemplazar varias fuentes de voltaje y sus resistencias internas por una única fuente de voltaje equivalente en serie con su resistencia equivalente. Esto reduce la complejidad del circuito y facilita los cálculos necesarios para encontrar el voltaje entre dos puntos en el circuito.
¿Cómo se aplica el Teorema de Millman?
La aplicación del teorema de Millman es útil en situaciones donde las fuentes de voltaje son numerosas y están conectadas en paralelo. Para aplicar el teorema, se deben seguir algunos pasos básicos:
- Identificar todas las fuentes de voltaje y sus resistencias internas conectadas en paralelo.
- Calcular la corriente total y la resistencia total usando las fórmulas del teorema de Millman.
- Simplificar el circuito utilizando la combinación de las fuentes y resistencias en una única fuente de voltaje equivalente.
Fórmula del Teorema de Millman
La fórmula generalizada del teorema de Millman puede expresarse como sigue:
Veq = (V1/R1 + V2/R2 + … + Vn/Rn) / (1/R1 + 1/R2 + … + 1/Rn)
donde:
- Veq: voltaje equivalente.
- Vi: voltajes de las fuentes individuales.
- Ri: resistencias internas de las fuentes.
Esta fórmula nos permite calcular el voltaje en los extremos del circuito de manera eficiente, incluso si hay varias fuentes involucradas, actuando así como un método simplificado para abordar circuitos eléctricos complejos.
Ventajas del Teorema de Millman
El teorema de Millman facilita:
- Reducir el número de cálculos necesarios en circuitos complejos.
- Mejorar la comprensión del comportamiento de circuitos con múltiples fuentes de voltaje.
- Proporcionar una metodología clara y concisa para el análisis de circuitos eléctricos.
Preguntas Frecuentes (FAQs)
¿Cuál es la diferencia entre el teorema de Millman y el teorema de Thevenin?
El teorema de Millman se utiliza principalmente para circuitos con múltiples fuentes de voltaje en paralelo, mientras que el teorema de Thevenin permite simplificar circuitos complejos a una sola fuente de voltaje y una resistencia en serie.
¿Se puede aplicar el teorema de Millman a circuitos con fuentes de corriente?
No directamente. Sin embargo, las fuentes de corriente pueden ser convertidas a fuentes de voltaje mediante el uso de sus resistencias, permitiendo así la aplicación del teorema de Millman.
¿En qué casos es más efectivo usar el teorema de Millman?
Es más efectivo cuando se enfrenta a circuitos con muchas fuentes de voltaje paralelas, ya que simplifica considerablemente el análisis y permite obtener resultados precisos de forma rápida.
Conclusión
El teorema de Millman es una herramienta fundamental en el análisis de circuitos eléctricos, especialmente cuando se enfrenta a situaciones complejas. Con una comprensión clara de su aplicación y la fórmula correspondiente, puedes resolver problemas de circuitos con mayor facilidad y rapidez. Para más información, visita Unicrom y LibreTexts.

Bauza: ¡Exacto! El teorema de Millman es una joya. A mí me pasó algo similar, al principio pensé que era un lío, pero después de practicar algunos ejercicios, fue como un click en mi cabeza. Recuerdo que gracias a él pude resolver un proyecto de clase que me tenía un poco desesperado. Desde entonces, no puedo imaginarme trabajar sin tenerlo presente. ¡Es una maravilla!
Cazon: ¡Totalmente de acuerdo! El teorema de Millman es como un salvavidas en el mundo de los circuitos. Yo también me acuerdo de esos días de sufrimiento cuando no me cuadraban las ecuaciones, pero en cuanto le agarré la onda, todo cambió. Es brutal cómo te permite simplificar esas conexiones complicadas y hacer que todo fluya. Sin duda, es un must para cualquiera que se meta en electrónica.
Neutralurjy. ¡Me encanta el teorema de Millman! La forma en que simplifica el análisis de circuitos es increíble. Recuerdo cuando lo estudié por primera vez, me costó un poco asimilarlo, pero una vez que lo entendí, me ayudó a resolver problemas de una manera mucho más rápida. Definitivamente es una herramienta esencial para todos los que estamos en el mundo de la electrónica.