¿Qué es la unidad de energía? – Unidad SI, CGS, MKS, Tabla de conversión

¿Te has preguntado alguna vez cómo medimos el esfuerzo que se requiere para mover un objeto, calentar un líquido o generar electricidad? La energía es un concepto fundamental en la ciencia y la vida cotidiana, pero ¿qué significa realmente y cómo podemos cuantificarla? En este artículo, desglosaremos la unidad de energía, explorando las distintas escalas de medición como el Sistema Internacional (SI), el Sistema CGS y el MKS. Además, te ofreceremos una tabla de conversión sencilla para que puedas navegar entre estas unidades con facilidad. Prepárate para descubrir el fascinante mundo de la energía y su unidad, ¡un viaje que iluminará tu comprensión física!

«Descubre todo lo que necesitas saber sobre la unidad de energía en este completo artículo. Aprende sobre las distintas unidades de medida utilizadas en el Sistema Internacional, CGS y MKS, y encuentra una práctica tabla de conversión para facilitar tus cálculos. ¡No te pierdas esta guía imprescindible para entender el mundo de la energía!»

La capacidad de realizar un trabajo se conoce como energía. La unidad de energía en el sistema SI y MKS es Joule. La energía puede ser cinética, potencial, eléctrica térmica, geomareal, eólica, biogás, nuclear y otras formas. Hay dos clasificaciones básicas de energía: renovables y no renovables.

¿Qué es la Unidad SI de Energía?

La siguiente tabla muestra la unidad en el sistema SI.

Unidad SI
Joules (J)

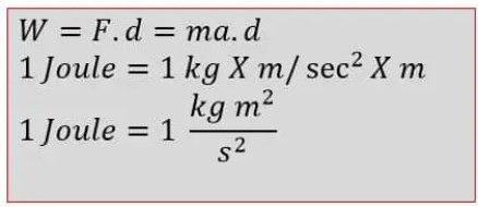
El nombre de esta unidad internacional se mantiene en honor al físico británico James Prescott Joule. Cuando aplicamos una fuerza de 1 newton y la masa se desplaza 1 metro en la dirección de la fuerza aplicada, el trabajo realizado es igual a 1 julio. Por lo tanto, 1N.m es igual a 1 Joule. El julio se simboliza como J.

¿Qué es la unidad de energía? – Unidad SI, CGS, MKS, Tabla de conversión>¿Qué es la Unidad de Energía CGS?

El CGS significa centímetro-gramo-segundo. La siguiente tabla muestra la unidad en el sistema CGS.

CGS Unidad
Ergio

Cuando aplicamos 1 dina de fuerza y ​​la masa se desplaza 1 centímetro en la dirección de la fuerza aplicada, entonces el trabajo realizado es igual a 1 dina. Por lo tanto, 1N.m es igual a 1 Joule.

el ergio es igual a 10-7 j

¿Qué es la unidad de energía MKS?

El CGS significa centímetro-gramo-segundo. La siguiente tabla muestra la unidad en el sistema MKS.

Unidad MKS
julios

Lista de unidades de energía

Algunas unidades comunes de energía son las siguientes.

  • Unidad térmica británica (BTU)
  • Caballo de fuerza
  • Kilovatio-hora (kWh)
  • Caloría
  • Electronvoltios (eV)
  • Hartree (la unidad atómica de energía)
  • Unidades Rydberg
  • barril de petroleo
  • Conversión de energía

    La lista de conversión de energía se muestra en la siguiente tabla.

    ¿Qué es la unidad de energía? – Unidad SI, CGS, MKS, Tabla de conversión>Unidad Comercial de Energía

    Kilovatio-hora (kWh) es la unidad comercial. Si una carga eléctrica consume 1kW de energía durante una hora, entonces los kWh consumidos por la carga son 1kWh. Un kWh también se llama unidad.

    1 kWh
    1 unidad

    Error 403 The request cannot be completed because you have exceeded your quota. : quotaExceeded

    [automatic_youtube_gallery type=»search» search=»¿Qué es la unidad de energía? – Unidad SI, CGS, MKS, Tabla de conversión» limit=»1″]

    ¿Qué es la unidad de‍ energía? – Unidad SI, CGS, MKS, Tabla de conversión

    Introducción a la Energía

    La⁢ energía es la capacidad de ‌realizar un ‌trabajo y se presenta en diversas⁣ formas, como energía cinética, potencial, térmica, eléctrica, entre ⁣otras.​ Su medición ⁤es crucial en diferentes campos de⁢ la ⁤ciencia ‌y⁢ la ingeniería.

    Unidades de⁣ Medida​ de la ⁢Energía

    Unidad en el Sistema‍ Internacional (SI)

    En ⁣el Sistema⁢ Internacional de Unidades,‍ la​ unidad de⁤ energía es el joule (J). Un joule se define como la cantidad de trabajo realizado cuando se aplica una fuerza de un newton a lo ⁤largo de ​un‌ metro.

    Sistema CGS

    En el ⁤sistema CGS (centímetro, gramo, segundo), la unidad de energía es la ergio. ‍Un ergio equivale ‍a 10-7 joules.​ Esta unidad es menos utilizada en ‍la‌ actualidad, pero sigue siendo relevante en ciertos ‍contextos científicos.

    Sistema MKS

    El sistema MKS (metro, kilogramo, segundo) es similar al SI y ⁢utiliza el joule como unidad básica de ‌energía. ⁢Esto hace que⁢ las conversiones‍ entre estos sistemas sean bastante intuitivas.

    Tipos de Energía

    La ​energía se ‍clasifica en dos categorías principales:​ renovables y no renovables. Algunas formas comunes de energía incluyen:

    • Energía solar
    • Energía eólica
    • Energía ⁢hidroeléctrica
    • Energía nuclear
    • Energía fósil

    Tabla de Conversión de Unidades de Energía

    A continuación, se presenta una⁤ tabla de conversión entre diversas unidades de energía:

    Unidad Equivalencia⁤ en Joules
    1 Joule (J) 1 J
    1 Caloría (cal) 4.184 J
    1 ​British Thermal Unit (BTU) 252 J
    1 Kilovatio-hora (kWh) 3,600,000 J

    Preguntas‍ Frecuentes ⁢(FAQs)

    ¿Por qué se utiliza el joule como unidad de energía?

    El joule fue adoptado como parte⁣ del Sistema‍ Internacional por su relación directa con las ⁢fuerzas físicas y el trabajo. Su uso ​permite la estandarización en mediciones científicas y​ técnicas.

    ¿Cuándo utilizo las diferentes unidades de energía?

    El joule es ampliamente utilizado⁢ en ⁢la mayoría de las ‌aplicaciones⁣ científicas⁣ y técnicas, mientras que la ‌caloría puede ser más relevante en contextos ⁢de nutrición y calor. Las BTU⁢ se utilizan comúnmente en la industria del gas y la⁣ calefacción.

    ¿Qué relación hay entre joules y ​otras unidades de‌ energía?

    Las distintas unidades de energía tienen equivalencias que permiten‍ conversiones sencillas. Por ejemplo, 1 kWh es igual‍ a 3,600,000 J, lo que ​muestra cómo se‍ puede transformar energía eléctrica en ‍joules.

    Deja un comentario