¿Qué es un transformador? Definición y Significado

¿Alguna vez te has preguntado cómo la electricidad que llega a tu hogar puede convertirse en la energía que alimenta tus dispositivos? En el corazón de este proceso esencial se encuentra un componente fascinante: el transformador. Este ingenioso artefacto no solo juega un papel crucial en la distribución de energía, sino que también es fundamental para el funcionamiento de múltiples tecnologías que utilizamos a diario. En este artículo, exploraremos en profundidad qué es un transformador, su definición y su significado, desentrañando los secretos de su funcionamiento y su impacto en nuestra vida cotidiana. ¡Acompáñanos en este viaje por el mundo de la electricidad y descubre el poder de los transformadores!

¡Descubre todo sobre el apasionante mundo de los transformadores! En este artículo, te explicaremos de forma clara y sencilla qué es un transformador y cuál es su significado en diferentes ámbitos. Si alguna vez te has preguntado cómo funcionan estos dispositivos y para qué se utilizan, no puedes perderte esta lectura. Prepárate para expandir tus conocimientos en electricidad y sumérgete en el fascinante universo de los transformadores.

Un transformador es un equipo estático que no tiene partes móviles. El transformador transforma un voltaje más alto en un voltaje más bajo o viceversa sin cambiar la frecuencia. La potencia de entrada y salida sigue siendo la misma, ignorando las pequeñas pérdidas en el transformador.

El transformador funciona según el principio de la ley de inducción electromagnética de Faraday. El voltaje inducido en el devanado primario y secundario es directamente proporcional a la tasa de cambio de flujo.

¿Por qué se requiere un transformador?

La planta de generación de energía generalmente se encuentra cerca de la fuente del punto de disponibilidad de combustible y, por lo general, muy lejos de los extremos de utilización de energía. La transmisión de energía a un nivel de voltaje bajo provoca caídas de voltaje y pérdida de línea. El aumento del voltaje de transmisión conduce a menores pérdidas y una buena regulación del voltaje. Por lo tanto, el voltaje de generación se eleva a alto voltaje a través de un transformador elevador en el extremo de la estación generadora para fines de transmisión. La tensión se eleva mediante un transformador elevador.

¿Qué es un transformador? Definición y Significado>En un transformador elevador, Vs>Vp y Ns>Np. Los ejemplos del transformador elevador son transformadores de 11/132 kV, 11/220 kV y 6,6/132 kV.

El transformador reduce la tensión en el nivel de utilización. Por lo tanto, el equipo principal utilizado para aumentar y reducir el voltaje es un transformador.

¿Qué es un transformador? Definición y Significado>

En un transformador reductor Vs < Vp y Ns

Construcción de Transformador

¿Qué es un transformador? Definición y Significado>Partes del transformador

número de serie
Nombre de la parte
Descripción

1.
Devanado
El devanado primario y secundario está hecho de cobre.

2.
Tanque conservador
Se utiliza para cuidar de la expansión y contracción del aceite del transformador.

3.
Respirador con gel de sílice
Se utiliza para eliminar la humedad del aire que ingresa al transformador.

4.
Núcleo magnético CRGO
El núcleo CRGO de acero laminado se utiliza para proporcionar una ruta de baja permeabilidad al fundente

5.
Dispositivo de liberación de presión
Se utiliza para proteger el transformador en caso de una falla mayor dentro del transformador

6.
Relevo de Buccholtz
Utilizado como equipo de protección en caso de falla en el transformador

7.
Materiales dieléctricos
Los materiales aislantes utilizados para aislar las partes activas de las partes no conductoras del transformador.

8.
Aceite mineral
Utilizado para aislamiento y refrigeración Propósito

9.
Cambiador de tomas bajo carga
Se utiliza para aumentar/disminuir el voltaje bajo la condición del transformador

10
Cambiador de tomas de carga APAGADO
Para aumentar/disminuir el voltaje bajo la condición de apagado del transformador

11
Bujes (LV y HV)
Utilizado para conexión para lado HV y LV

12
Radiador o Tubos de refrigeración
Utilizado para la refrigeración del transformador

13
Ventiladores de refrigeración externos
Se utiliza para la refrigeración forzada de los tubos del radiador.

14
Tanque principal
El devanado y el núcleo del transformador se fijan dentro del tanque principal.

Tipos de transformador

Los transformadores se pueden clasificar en diferentes categorías en función de los siguientes factores.

1. Posición del devanado alrededor del núcleo magnético.

  • Tipo de núcleo
  • Tipo de concha

2. Según el ratio de giro o ratio de transformación

  • Aumentar
  • bajar

3. Tipos de servicio

  • Transformador
  • Transformador de distribución
  • Transformador automático
  • Transformador de aislamiento
  • Transformador de instrumentos
    • Transformador potencial
    • Transformador de corriente

4. Sobre la base de la oferta

  • Fase única
  • Tres fases

5. Sobre la base del enfriamiento

  • Aire Natural (AN) o Self-cooled
  • Fuerza Aérea (AF)
  • Aceite Natural Aire Natural(ONAN)
  • Petróleo Fuerza Aérea Natural (ONAF)
  • Fuerza Aérea de la Fuerza del Petróleo (OFAF)
  • Fuerza de agua natural del aceite (ONWF)
  • Fuerza de Petróleo Fuerza de Agua (OFWF)

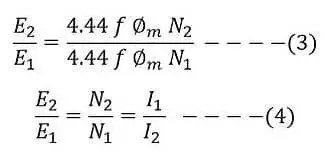
Ecuación EMF del transformador

El voltaje inducido en el primario es;

¿Qué es un transformador? Definición y Significado>

El voltaje inducido en el secundario es;

¿Qué es un transformador? Definición y Significado>Dividiendo la ecuación (2) por la ecuación (1)

¿Qué es un transformador? Definición y Significado>

Pérdidas en Transformador

Los siguientes tipos de pérdidas ocurren en un transformador.

1. Pérdida de núcleo o hierro

  • pérdida de histéresis
  • Pérdida por corrientes de Foucault

2. Pérdidas de cobre
3. Pérdidas perdidas

Eficiencia del transformador

La relación entre la potencia de salida y la potencia de entrada se conoce como la eficiencia de un transformador.

¿Qué es un transformador? Definición y Significado>

Error 403 The request cannot be completed because you have exceeded your quota. : quotaExceeded

[automatic_youtube_gallery type=»search» search=»¿Qué es un transformador? Definición y Significado» limit=»1″]

¿Qué es un Transformador? Definición y Significado

¿Alguna vez te has preguntado cómo la electricidad que llega a tu hogar ⁣se convierte en ​la energía que alimenta tus dispositivos?‌ En el corazón de este proceso ⁢esencial se encuentra un componente fascinante: el transformador. Este ingenioso artefacto ⁢no solo juega un⁣ papel crucial en la distribución de energía, sino que también es fundamental para el funcionamiento de múltiples⁤ tecnologías⁢ que ⁤utilizamos a diario.

Definición de​ Transformador

Un transformador es ​un dispositivo eléctrico estático ⁢que sirve para convertir la tensión eléctrica de una corriente alterna de alta tensión a baja tensión o viceversa, sin cambiar la frecuencia. Esto se⁣ logra a través del principio de la ley de inducción electromagnética de Faraday, donde el voltaje inducido en los devanados primario y secundario es directamente proporcional a⁣ la tasa de cambio del flujo magnético.

¿Cómo Funciona un Transformador?

El funcionamiento de un transformador se ​basa en ‌dos devanados: el primario, que recibe la energía eléctrica, y el secundario, que la⁢ entrega. Cuando⁢ la corriente fluye por‍ el devanado⁤ primario, genera ⁣un‌ campo magnético‍ que induce ⁣un voltaje en‍ el devanado secundario.‌ La relación de voltajes entre ambos devanados está‌ dada por el número de vueltas de cada devanado, lo⁢ que permite transformar voltajes altos en bajos o viceversa.

Importancia de los ‍Transformadores

Los transformadores son ⁢esenciales⁢ en la transmisión‍ de energía eléctrica a grandes distancias. Al elevar el voltaje en el extremo ⁤de una planta generadora mediante un transformador elevador, se minimizan las pérdidas‍ por‌ resistencia en las ⁢líneas de transmisión. Posteriormente, otro⁢ transformador reduce el voltaje para su uso en hogares y negocios. Sin estos dispositivos, ⁤las caídas⁤ de tensión​ y ⁤las pérdidas de energía serían‌ significativas.

Componentes de un Transformador

  1. Devanado: Compuesto por⁢ hilos de cobre que permiten el paso de ‌la corriente.
  2. Tanque conservador: ​Asegura⁣ la expansión y contracción del aceite del transformador.
  3. Núcleo magnético: Generalmente de⁣ acero laminado, facilita la conducción del flujo magnético.
  4. Materiales dieléctricos: Aislantes que evitan cortocircuitos entre componentes.
  5. Aceite mineral: Proporciona aislamiento eléctrico y ​refrigeración.

FAQs sobre Transformadores

¿Cuáles son los tipos de transformadores‍ más comunes?

Los tipos más comunes son ‍los transformadores elevadores y reductores.⁤ Los transformadores elevadores aumentan el voltaje para la transmisión, ⁣mientras que los transformadores reductores disminuyen el⁢ voltaje para su uso en viviendas ‍y negocios.

¿Qué es un transformador de aislamiento?

Un transformador de aislamiento se utiliza para desviar la corriente de un circuito a otro, proporcionando seguridad al separar eléctricamente los ‌dos circuitos, lo que protege a las personas y equipos de ⁣posibles fallos eléctricas.

¿Cuánto tiempo dura ⁢un transformador?

La vida ⁢útil de un ⁣transformador puede​ variar, pero en general, estos dispositivos pueden⁢ durar entre 20 a⁣ 40 ⁢años, dependiendo de su uso, el mantenimiento y⁣ las condiciones ambientales en las que operan.

Conclusión

El transformador es ⁢un componente clave en ⁣la infraestructura⁣ eléctrica mundial, ⁤fundamental para garantizar‌ que la electricidad que⁤ usamos sea accesible y segura. Sin estos dispositivos, la transmisión eficiente de energía eléctrica no sería posible. Desde su empleo en la generación hasta⁣ su uso⁢ en los hogares, los transformadores facilitan ⁣que nuestra vida cotidiana funcione de manera óptima.

Para más información sobre transformadores, visita la ⁤definición de la RAE ‌ o consulta este ⁢ artículo detallado sobre transformadores.

Deja un comentario