Transformador de corriente de equilibrio de núcleo (CBCT)

Transformador de corriente de equilibrio de núcleo (CBCT): La Clave para la Protección Eléctrica

En un mundo cada vez más interconectado, donde la fiabilidad del suministro eléctrico es fundamental, los transformadores de corriente de equilibrio de núcleo (CBCT) se erigen como un componente esencial en la protección de nuestros sistemas eléctricos. Estos dispositivos, aunque a menudo pasan desapercibidos, son los guardianes silenciosos que aseguran la estabilidad y seguridad en la transmisión de energía. En este artículo, exploraremos la fascinante tecnología detrás de los CBCT, su funcionamiento y cómo contribuyen a prevenir fallas eléctricas, garantizando así un suministro confiable para hogares e industrias. Sumérgete con nosotros en este viaje hacia el interior de la protección eléctrica y descubre por qué el CBCT es más importante de lo que imaginas.

¿Estás buscando una solución segura y eficiente para proteger tus sistemas eléctricos? ¡No busques más! El transformador de corriente de equilibrio de núcleo (CBCT) es la respuesta a tus necesidades. En este artículo, te explicaremos todo lo que necesitas saber sobre esta innovadora tecnología que está revolucionando el mundo de la electricidad. Descubre cómo el CBCT puede detectar y proteger tus dispositivos electrónicos de posibles fallas eléctricas, garantizando así la integridad de tus sistemas. ¡No te lo pierdas!

El transformador de corriente de equilibrio de núcleo se utiliza para detectar fallas a tierra en la red eléctrica. Un transformador de corriente es un instrumento eléctrico que se utiliza para reducir la magnitud de la corriente que pasa a través de un conductor para que pueda medirse o calibrarse fácilmente utilizando un instrumento de medida o protección de rango bajo.

Los transformadores transfieren energía de las bobinas primarias a las secundarias manteniendo la energía constante aumentando el voltaje y, en consecuencia, reduciendo la corriente o viceversa. El transformador de corriente también funciona con el mismo principio. Tiene menos vueltas en el lado primario (tan bajas como 1) y más altas en el lado secundario. La bobina primaria en la mayoría de los casos es el propio conductor portador de corriente, mientras que el lado secundario tiene un mayor número de vueltas y se conecta al amperímetro con fines de medición o se conecta a un relé con fines de protección en caso de falla. .

Un transformador de corriente de equilibrio de núcleo (CBCT) o un transformador de corriente de secuencia cero (ZCT) es como cualquier otro transformador de corriente. La bobina secundaria que tiene mayor número de espiras forma un anillo circular por cuyo centro pasan tres cables unipolares o un solo cable tripolar de un sistema trifásico. Como se mencionó anteriormente, este sistema de cable trifásico forma el primario del transformador de corriente de equilibrio central.

Principio de funcionamiento de un transformador de corriente de equilibrio de núcleo

Transformador de corriente de equilibrio de núcleo (CBCT)>La imagen de arriba es la de un transformador de corriente de equilibrio de núcleo (CBCT). Las corrientes trifásicas son IaIb, y yoC como se muestra. Estos conductores trifásicos son los primarios mientras que el secundario se ha conectado al relé.

Los transformadores de corriente Core Balance funcionan según el principio de un balance de corriente de secuencia cero. Por lo tanto, también se denomina Transformador de corriente de secuencia cero (ZCT).

Una tensión o corriente de secuencia cero en un sistema trifásico es aquella en la que las tres fases tienen tensiones o corrientes de igual magnitud y todas ellas están en fase.

Transformador de corriente de equilibrio de núcleo (CBCT)>Un sistema de secuencia cero equilibrado es aquel en el que la suma algebraica de los parámetros de secuencia cero es igual a cero. Es muy similar a la ley de corriente de Kirchoff que establece que la suma de todas las corrientes en un nodo es igual a cero.

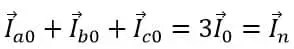
Por lo tanto, durante el funcionamiento normal, la suma algebraica de la corriente de fase es igual a cero.

Transformador de corriente de equilibrio de núcleo (CBCT)>Por lo tanto, la corriente residual resultante también es igual a cero y no hay una situación de falla, por lo que la corriente de secuencia cero también es igual a cero. El flujo de campo magnético resultante debido a la corriente residual también es cero ya que es directamente proporcional a la corriente respectiva.

Transformador de corriente de equilibrio de núcleo (CBCT)>Donde Φ es el flujo de campo magnético generado debido a la corriente resultante IR. Les la inductancia de la bobina que es una propiedad constante. Por lo tanto, el flujo del campo magnético es directamente proporcional a la corriente. Como la corriente residual es cero, el flujo de campo magnético generado desde el primario para conectarse con el secundario del CBCT es cero y, por lo tanto, no fluye corriente a través del secundario del CBCT.

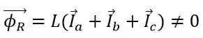
Durante una falla como una falla de línea a tierra o una falla de fuga de línea, el sistema trifásico ya no permanece en la condición equilibrada como solía hacerlo y, por lo tanto, la suma de las corrientes de fase no es igual a cero. Por lo tanto, hay una corriente de secuencia cero de valor finito generada en el sistema que hace que se genere un campo magnético resultante.

Dejar Φa, Φb, y ΦC ser el campo magnético resultante debido a las corrientes de fase IaIb, y yoC respectivamente.

Por lo tanto,

Transformador de corriente de equilibrio de núcleo (CBCT)>Este campo magnético se vincula con el secundario del transformador de corriente de equilibrio de núcleo o CBCT y hace que fluya una corriente de bajo valor a través de la bobina secundaria del transformador de corriente. Esta corriente de la bobina secundaria se suministra a un relé que se activa y envía una señal de disparo al disyuntor. Por lo tanto, el disyuntor opera y abre el suministro a la zona de falla, protegiendo así todo el sistema de energía.

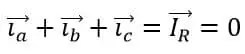
Ahora, como se discutió anteriormente, las corrientes de secuencia cero son iguales en magnitud y están en fase. Por lo tanto, la corriente de secuencia cero resultante es

Transformador de corriente de equilibrio de núcleo (CBCT)>Dondenorte es la corriente del neutro y no es cero durante una falla o en un sistema desequilibrado. Esta corriente genera el campo magnético necesario para que funcione el transformador de corriente de equilibrio de núcleo.

Transformador de corriente de equilibrio de núcleo (CBCT)>Durante una situación normal, el sistema permanece equilibrado y, por lo tanto, la suma de las corrientes de secuencia cero es cero. Por lo tanto, no se genera flujo de campo magnético resultante.

Este es el principio de funcionamiento de un transformador de corriente de equilibrio de núcleo o un transformador de corriente de secuencia cero.

Aplicación del transformador de corriente de equilibrio de núcleo

Un transformador de corriente de equilibrio de núcleo o CBCT se utiliza en la protección de variadores industriales, es decir, motores de inducción trifásicos contra una posible falla de línea a tierra o falla de fuga. En este esquema de protección, el núcleo de CBCT rodea los cables de alimentación conectados con un motor de inducción trifásico como se muestra a continuación.

Transformador de corriente de equilibrio de núcleo (CBCT)>Como es evidente en la imagen de arriba, los conductores trifásicos actúan como el primario del CBCT mientras que el secundario está conectado al relé de protección. Durante una situación de falla, el relé opera y corta el suministro al motor, protegiéndolo así y al sistema de energía posterior de cualquier daño adicional.

Ventajas de CBCT

La principal ventaja de usar CBCT como un esquema de protección de falla a tierra es que en este esquema de protección, solo se usa un núcleo CT en lugar de tres núcleos como en un sistema convencional. Por lo tanto, el flujo magnético requerido para la producción de la corriente secundaria se reduce a un tercio (1/3), que es la mayor ventaja a medida que aumenta la sensibilidad general del sistema de protección.

Desventajas de CBCT

La principal desventaja de un CBCT es que requiere que el conductor esté completamente encerrado dentro del núcleo magnético del transformador. Esto significa que no es adecuado para usar con conductores grandes, ya que el tamaño del transformador sería demasiado grande y poco práctico.

Además, los CBCT solo pueden medir la corriente en un solo conductor a la vez, lo que los hace menos adecuados para aplicaciones en las que hay varios conductores.

Otra desventaja de los CBCT es que no son adecuados para medir corrientes continuas (CC), ya que solo funcionan con corrientes alternas (CA).

Características de CBCT o ZCT

  • Diseño central: Los CBCT están diseñados con un núcleo toroidal que rodea al conductor. Este diseño central permite que el CBCT mida la corriente de manera no intrusiva.
  • Exactitud: Los CBCT son muy precisos, con errores de medición típicamente inferiores al 1 %. Esta precisión se mantiene en una amplia gama de corrientes y frecuencias.
  • Instalación: Los CBCT son fáciles de instalar y no requieren ninguna interrupción del suministro eléctrico. Se pueden instalar simplemente sujetando el CBCT alrededor del conductor.
  • Seguridad: Dado que los CBCT no requieren ninguna conexión física al conductor, son seguros de instalar y usar. Tampoco introducen ningún ruido eléctrico adicional en el sistema.
  • Señal de salida: Los CBCT normalmente producen una señal de salida que es proporcional a la corriente que fluye a través del conductor. Esta señal se puede utilizar para una variedad de propósitos, incluidos el monitoreo, el control y la protección.
  • Tamaño: Los CBCT están disponibles en una variedad de tamaños, desde unidades pequeñas para uso en aplicaciones residenciales y comerciales hasta unidades más grandes para uso en aplicaciones industriales.
  • Costo: Los CBCT son generalmente menos costosos que los transformadores de corriente tradicionales (CT) porque no requieren un núcleo sólido o devanado secundario. Esto los convierte en una opción atractiva para muchas aplicaciones.

En general, los CBCT son una solución confiable y rentable para medir corrientes de CA en una variedad de aplicaciones.

Error 403 The request cannot be completed because you have exceeded your quota. : quotaExceeded

[automatic_youtube_gallery type=»search» search=»Transformador de corriente de equilibrio de núcleo (CBCT)» limit=»1″]

Transformador de Corriente de Equilibrio de Núcleo (CBCT): La Clave para la Protección Eléctrica

En un mundo cada vez más interconectado, donde la fiabilidad del suministro eléctrico es fundamental, los‍ transformadores de corriente de equilibrio de⁤ núcleo (CBCT) se erigen⁢ como un componente esencial en la protección de nuestros sistemas eléctricos. Estos dispositivos, aunque ⁣a menudo pasan desapercibidos, son los guardianes silenciosos que ‍aseguran la estabilidad y seguridad en la transmisión de energía.

¿Qué es ‌un Transformador de Corriente de Equilibrio ‌de ⁣Núcleo‍ (CBCT)?

Un transformador ​de corriente de equilibrio de núcleo ⁤ (CBCT) es‍ un tipo de transformador ⁣diseñado para detectar fallas a tierra en sistemas trifásicos. Se basa‍ en el principio de la corriente de secuencia cero (ZCT) y activa protección ante desequilibrios ‍en el suministro eléctrico.

Principio de Funcionamiento

El ‍CBCT⁣ funciona mediante la detección de ⁢la‌ corriente residual en un sistema trifásico. Cuando las corrientes de las tres fases son iguales y están en fase, se considera que el sistema‌ está equilibrado y la corriente⁣ residual es cero. En caso de una falla, como una fuga⁣ a tierra, esta condición de equilibrio se rompe y se genera una corriente de secuencia​ cero.

Aplicaciones del CBCT

Los transformadores CBCT se utilizan principalmente en:

  • Protección de ‍variadores industriales y motores de inducción trifásicos
  • Detección de ‌fallas a tierra en instalaciones eléctricas
  • Sistemas de‍ monitoreo de consumo eléctrico

Ventajas del Uso ​de⁤ CBCT

  1. Simplicidad: Solo se necesita ​un núcleo⁢ en comparación con tres en sistemas convencionales.
  2. Aumento de Sensibilidad: Proporciona⁢ una mayor sensibilidad en la detección de fallas.
  3. Protección Eficiente: Ayuda a evitar daños costosos en equipos al desconectar rápidamente el suministro en caso de fallas.

Desventajas del CBCT

A pesar de sus beneficios, el CBCT presenta algunas desventajas:

  • Requiere que los conductores estén completamente encerrados dentro del núcleo, lo ⁢que puede ser impráctico en conductores grandes.
  • Sólo puede medir la corriente en un único ‍conductor a la vez.
  • No ⁤es adecuado para⁤ aplicaciones que requieran medir corrientes continuas.

FAQs‌ sobre el Transformador de Corriente de Equilibrio de Núcleo (CBCT)

¿Cuál‌ es la función principal de un CBCT?

La función principal de un CBCT es detectar la corriente de fuga o fallas a tierra en‌ un sistema eléctrico trifásico, ayudando a proteger el sistema contra daños eléctricos.

¿Cómo se instala un CBCT?

La instalación de un CBCT implica pasar los conductores eléctricos a través del núcleo del transformador y conectar el secundario a⁢ un relé de protección. Es crucial seguir‌ las especificaciones ‍del fabricante para​ garantizar su correcto⁤ funcionamiento.

¿En qué⁤ situaciones es indispensable el uso de CBCT?

El uso de CBCT ⁣es indispensable en entornos⁤ donde hay un alto riesgo‌ de fallas a tierra, como en industrias que utilizan motores eléctricos o maquinaria pesada, donde la protección del equipo es crucial.

Conclusión

El transformador de corriente de equilibrio de núcleo (CBCT) es un componente fundamental para la protección eléctrica. Su capacidad para ​detectar fallas a ⁤tierra y prevenir daños en sistemas‌ eléctricos lo convierte en una⁣ herramienta indispensable en la ‍industria contemporánea. Para más ‍información,​ puedes visitar Schneider Electric o Itztli.

3 comentarios en «Transformador de corriente de equilibrio de núcleo (CBCT)»

  1. Cima: ¡Exacto, Efunekakogf! A mí también me voló la cabeza cuando trabajé con un CBCT en un proyecto de fin de carrera. No tenía ni idea de cuán importantes son hasta que vi su funcionamiento en tiempo real. Recuerdo que, al conectar el dispositivo, me di cuenta de que podía detectar desequilibrios en el sistema eléctrico casi al instante. Es impresionante lo que la tecnología puede hacer para protegernos. ¡Sin duda me dejó con ganas de seguir investigando sobre su aplicación en el campo!

  2. Efunekakogf. ¡Qué interesante suena todo lo del transformador de corriente de equilibrio de núcleo! La verdad es que nunca había pensado mucho en estos dispositivos hasta que un día, en una clase de electricidad, tuvimos que hacer un proyecto sobre protección de sistemas eléctricos y uno de mis compañeros usó un CBCT. Fue una locura ver cómo ayuda a detectar fallos y prevenir problemas mayores. ¡Definitivamente quiero aprender más sobre esto!

  3. Fidalgo: ¡Totalmente de acuerdo, Efunekakogf! A mí me pasó algo similar en la facultad, teníamos que hacer una práctica de laboratorio sobre sistemas de protección y uno de los equipos que usamos fue un CBCT. Me quedé impresionado de cómo un dispositivo tan compacto puede hacer una gran diferencia en la seguridad eléctrica. Ahora siempre que veo uno, no puedo evitar recordar ese momento y pensar en lo crucial que son para evitar accidentes. ¡Me encantaría profundizar más en el tema también!

Deja un comentario