Sag en Línea de Transmisión y sus Cálculos: Comprendiendo la Clave para una Instalación Eficiente
En el mundo de la ingeniería eléctrica, las líneas de transmisión juegan un papel crucial en la distribución de energía. Sin embargo, uno de los aspectos más críticos, pero a menudo pasados por alto, es el fenómeno del sag o sagging, que se refiere al desplazamiento vertical que experimentan los conductores debido a su peso y la tensión en los soportes. Comprender el sag no solo es fundamental para asegurar la seguridad de las instalaciones, sino que también influye en la eficiencia del sistema y la calidad del suministro eléctrico. En este artículo, exploraremos en profundidad qué es el sag, por qué es importante y cómo realizar los cálculos necesarios para optimizar tus líneas de transmisión. ¡Acompáñanos en este viaje técnico que te permitirá dominar uno de los aspectos clave de la ingeniería eléctrica!
¿Sabías que las líneas de transmisión son vitales para el funcionamiento eficiente de nuestro sistema eléctrico? En este artículo, profundizaremos en un elemento esencial de estas líneas: el Sag. Descubre qué es, por qué es importante y cómo se calcula en línea de transmisión. ¡No te lo pierdas!
El hundimiento en una línea de transmisión es la diferencia vertical de nivel entre los puntos de apoyo del conductor y el punto más bajo del conductor.
Los conductores aéreos se utilizan en la transmisión de energía desde la central eléctrica hasta el extremo de distribución, así como desde el extremo de distribución hasta los consumidores. Por lo tanto, esta es una de las infraestructuras críticas en el sistema eléctrico.
Los conductores aéreos están soportados en dos extremos por torres de transmisión. Estos conductores no están estirados entre los soportes, sino que cuelgan entre ellos con una ligera curvatura alrededor de su punto medio. La distancia vertical entre los puntos de apoyo (que son paralelos e iguales) y este punto de curvatura se conoce como flecha.
>La imagen de arriba muestra el pandeo de un conductor aéreo.
La imagen también muestra algo conocido como durar. No es más que la distancia entre las estructuras de soporte de conductores paralelos o las torres de transmisión. Span es de dos tipos
Importancia del hundimiento en una línea de transmisión
La imagen a continuación indica el pandeo en un conductor aéreo.
>Aquí, ‘S’ denota pandeo, que es la distancia entre los puntos de apoyo (X e Y) y el punto de curva ‘O’.
El pandeo es una característica importante de una línea aérea. Esto se debe a que la línea de transmisión no se puede estirar hasta sus límites entre los puntos de apoyo ya que experimenta condiciones físicas variables como viento, lluvia, nevadas, calor del sol, etc. Si la línea aérea permanece estirada y en tensión, puede se descompone y puede causar problemas relacionados.
Es por eso que las líneas aéreas tienen una cierta curva en un punto entre los dos puntos de apoyo que se denomina pandeo. Sin embargo, demasiado hundimiento tampoco es deseable, ya que puede disminuir la distancia entre la tierra y el conductor, lo que genera una amenaza potencial para las ubicaciones cercanas.
Por lo tanto, es importante tener un valor nominal de hundimiento que pueda derivarse matemáticamente.
Cálculo de hundimiento en una línea de transmisión
Antes de proceder al cálculo del hundimiento, es necesario tener en cuenta ciertos puntos.
Hay dos condiciones diferentes para el cálculo del hundimiento
a. Sag para igual lapso
b. Sag para un lapso desigual
Sag para conductor Equal Span en línea de transmisión
>Deje que el tramo sea ‘L’ entre los dos puntos de apoyo indicados por X e Y respectivamente. ‘T’ denota la tensión en el conductor que actúa tangencialmente al conductor.
w’ es el peso por unidad de longitud del conductor.
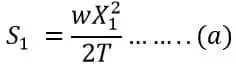
Suponemos cualquier punto del conductor, digamos ‘P’. La distancia vertical de este punto desde O se denota por y, donde ‘O’ es el punto más bajo del conductor.
‘S’ es el hundimiento, que es la distancia vertical desde los puntos de apoyo hasta O.
‘x’ es la distancia horizontal entre los puntos O y P.
En condiciones de equilibrio, los dos momentos de fuerza con respecto al punto O permanecen iguales. Por lo tanto podemos igualar ambos como
>Poniendo,

>y,
>Obtenemos;
>Por lo tanto, la fórmula del hundimiento para un conductor aéreo de igual luz es;
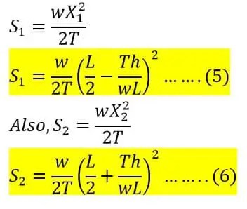
>Sag para tramos desiguales conductor en linea de transmision
>La imagen de arriba representa la situación de nivel de apoyo desigual. En este caso, hay dos tipos de hundimientos: uno para cada uno de los niveles de soporte que muestran X e Y.. Ambos niveles de apoyo no están en la misma base ni a la misma altura.
Aquí,
L es el tramo del conductor
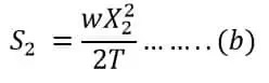
S1 y S2 = Dos hundimientos cada uno de dos niveles de soporte X e Y.
AB es el terminal del conductor, siendo O el punto más bajo entre ellos.
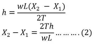
X1 = Distancia horizontal del punto O desde el punto X del nivel inferior.
X2 = Distancia horizontal del punto O desde el punto Y del nivel superior.
h = Diferencia de altura de ambos niveles.
T es la tensión del conductor actuando tangencialmente y w es el peso del conductor por unidad de longitud.
Por lo tanto, tanto los hundimientos S1 como S2 se pueden dar como
>Y,
>Del diagrama, podemos decir,
>Y,
>De nuevo del diagrama podemos decir que
>Por lo tanto,
>Resolviendo ambas ecuaciones (i) y (ii), obtenemos
>Por lo tanto, al conocer la luz del conductor (L), la tensión en el conductor (T) y la diferencia en las alturas de los niveles (h) y el peso del conductor por unidad de longitud (w), podemos calcular X1 y X2 y así poniendo el valor de X1 y X2 en las ecuaciones (a) y (b), podemos obtener el valor tanto de la hundimientos S1 y S2.
Entonces,
Poner el valor de X1 en la ecuación (1) obtenemos;
>Cabe señalar que el peso por unidad de longitud del conductor tomado aquí es su propia longitud suponiendo condiciones normales de temperatura, velocidad del viento y otras condiciones físicas. sin embargo, el pandeo en un conductor aéreo también se ve afectado por la nieve (durante las nevadas) y el viento (durante los vientos fuertes).
Efecto de la nieve y el viento en Sag
>La imagen de arriba muestra el efecto combinado de la nieve y el viento en el conductor.
Aquí
>Por lo tanto,
>Y,
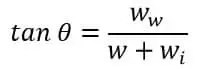
>Entonces, necesitamos calcular ww y Wi.
Cálculo de wi
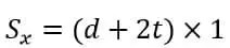
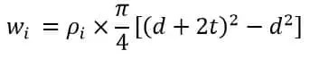
>La imagen de arriba representa el conductor aéreo cubierto con hielo, donde d es el diámetro del conductor y ‘t’ es el grosor de la capa de hielo.
Por lo tanto,
>Por lo tanto,
>Cálculo de ww
De manera similar, la fuerza del viento por unidad de longitud del conductor se puede calcular como
>Suponemos que el conductor se estira a lo largo de su diámetro efectivo (es decir, con la capa de hielo incluida) debido al viento de tal manera que forma un rectángulo cuya longitud es igual al diámetro del conductor y tiene una unidad de ancho.
>Por lo tanto,
>Por lo tanto,
>Así podemos calcular el valor de ambos wi y Ww y obtenga el valor de la fuerza resultante wt y el ángulo resultante θ usando las ecuaciones que derivamos al principio.
Por lo tanto, el pandeo efectivo en tal conductor se da como
>Ventaja de Sag
El hundimiento del conductor garantiza la durabilidad del conductor en condiciones climáticas extremas. Reduce la tensión dentro del conductor que puede causar que el conductor se rompa de su punto de apoyo. También ayuda a reducir la tensión en el montaje de soporte de las torres.
Desventaja de Sag
Si bien el pandeo es importante, demasiado pandeo puede hacer que la distancia efectiva entre el conductor y la tierra se reduzca y, por lo tanto, anule el propósito completo de tender conductores por encima de la cabeza. Además de eso, el pandeo hace que aumente el peso del conductor y el conductor que sobresale (la cantidad de conductor que solo se requiere para crear el pandeo) hace que aumente el costo inicial.
[automatic_youtube_gallery type=»search» search=»Sag en Línea de Transmisión y sus Cálculos» limit=»1″]
Sag en Línea de Transmisión y sus Cálculos
En el mundo de la ingeniería eléctrica, las líneas de transmisión son fundamentales para la distribución eficaz de energía. Uno de los aspectos más críticos y, a menudo, pasados por alto es el fenómeno del sag, que se refiere al desplazamiento vertical que experimentan los conductores debido a su peso y la tensión en los soportes. Entender el sag es vital no solo para garantizar la seguridad de las instalaciones, sino también para influir en la eficiencia del sistema y la calidad del suministro eléctrico.
¿Qué es el Sag?
El sag es la diferencia vertical de nivel entre los puntos de apoyo del conductor y el punto más bajo del mismo. Los conductores aéreos, que suelen ser utilizados en la transmisión de energía, cuelgan entre dos torres de transmisión y no están estirados completamente, formando así una ligera curvatura.
Importancia del Sag en Líneas de Transmisión
El sag es crucial porque permite a los conductores soportar condiciones físicas variables, como viento, lluvia y temperaturas extremas. Sin embargo, un sag excesivo podría reducir la distancia segura entre el conductor y el suelo, creando un riesgo potencial para las áreas circundantes.
Cálculo del Sag
Para calcular el sag, se deben considerar las siguientes condiciones:
- El sag es mucho más pequeño que el tramo entre los puntos de apoyo.
- La tensión en el conductor actúa de manera tangencial en cada punto.
- La curva del sag es parabólica.
- La componente horizontal de la tensión es aproximadamente constante en todo el conductor.
Condiciones para el Cálculo
- Sag para tramo igual
- Sag para tramo desigual
Sag para Tramo Igual
Supongamos que el tramo entre dos soportes es “L”. La tensión en el conductor está representada como “T” y el peso por unidad de longitud como “w’”. La fórmula del sag se puede obtener balanceando los momentos respecto al punto más bajo del conductor.
Sag para Tramos Desiguales
En un escenario donde los niveles de soporte son diferentes, se debe considerar la diferencia en las alturas para calcular dos sag diferentes, S1 y S2, utilizando la tensión y el peso adecuado en las ecuaciones correspondientes.
Efectos de las Condiciones Climáticas en el Sag
El peso efectivo del conductor puede cambiar debido a factores como la acumulación de hielo y la velocidad del viento. Estas condiciones pueden afectar gravemente el sag, y es importante tenerlas en cuenta durante los cálculos.
Preguntas Frecuentes (FAQs)
¿Qué factores afectan el sag en una línea de transmisión?
El sag puede verse influenciado por el peso del conductor, la tensión ejercida en el mismo, así como por condiciones climáticas como viento y nieve. Estos factores alteran el peso efectivo del conductor y, por ende, su sag.
¿Cómo se mide el sag en el campo?
El sag se puede medir utilizando herramientas de nivelación y realizando cálculos de distancia vertical entre los puntos de apoyo y el punto más bajo del conductor. También se pueden utilizar dispositivos tecnológicos para medir la distancia en tiempo real.
¿Por qué es importante un cálculo preciso del sag?
Un cálculo preciso del sag es vital para asegurar que los conductores mantengan una distancia segura del suelo y de otros objetos, así como para prevenir fallos eléctricos que podrían resultar en cortes de energía o daños a la infraestructura.
¡Qué interesante artículo, ricoy! La verdad es que siempre me ha fascinado el tema de las líneas de transmisión. Recuerdo una vez en la universidad que realicé un proyecto sobre la eficiencia de diferentes tipos de líneas eléctricas. Me sorprendió lo complejo que puede ser calcular todo eso y cómo afecta la calidad de la energía. Definitivamente necesito repasar estos cálculos, ¡gracias por compartir!