Transformador de tensión constante | Su funcionamiento y aplicación

Transformador de tensión constante: Su funcionamiento y aplicación

En el mundo de la electricidad, la estabilidad y la precisión son fundamentales para garantizar un suministro energético eficiente. Aquí es donde entra en juego el transformador de tensión constante. Este ingenioso dispositivo no solo facilita la regulación de voltajes, sino que también juega un papel crucial en diversas aplicaciones industriales y comerciales. ¿Te has preguntado alguna vez cómo funciona y por qué es tan esencial en nuestras infraestructuras energéticas? Acompáñanos en este recorrido técnico y descubre los secretos detrás de su funcionamiento y las innumerables maneras en que contribuye a nuestro día a día. ¡Sumérgete con nosotros en el fascinante universo de los transformadores de tensión!

¿Sabías que un transformador de tensión constante puede ser la solución perfecta para estabilizar tu suministro eléctrico? En este artículo descubrirás cómo funciona este increíble dispositivo y las diversas aplicaciones en las que puedes sacarle el máximo provecho. No te lo pierdas y sigue leyendo para obtener toda la información que necesitas sobre los transformadores de tensión constante.

Transformador de voltaje constante (CVT) proporciona una tensión de salida regulada por fenómeno de ferroresonancia cuando hay variación en la tensión de alimentación. También llamamos a una CVT Transformador ferroresonante.

Principio de funcionamiento de CVT

En ferroresonancia, el núcleo magnético opera en el punto de saturación magnética. Con una fuerte magnetización del núcleo, hay poco o ningún cambio en la densidad de flujo magnético. Básicamente, esta es la condición de saturación del núcleo. Por lo tanto, podemos decir que la ferrosonancia limita el flujo en el núcleo.

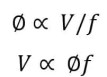
El voltaje de salida del transformador depende de la frecuencia y la magnitud del flujo a través del núcleo. Cuando el núcleo del transformador opera en la zona de saturación, el flujo en el núcleo permanece más o menos constante. El voltaje inducido en el secundario del transformador de voltaje constante es;

Transformador de tensión constante | Su funcionamiento y aplicación>De la ecuación anterior, está claro que el voltaje secundario es proporcional al flujo y la frecuencia. Si la frecuencia permanece constante, podemos obtener un voltaje de salida constante si el flujo en el núcleo es constante. El flujo en el núcleo permanece bastante constante si el transformador opera más allá del punto de saturación magnética.

Por lo tanto, la CVT se mantiene casi constante incluso cuando varía el suministro de entrada. De hecho, el voltaje de salida del Ferro varía aproximadamente un 1,2 % por cada 1 % de cambio en la frecuencia de suministro. Incluso con un cambio considerable en la frecuencia del generador (2 hercios), habrá un cambio en el voltaje de salida de solo el 4 %.

CVT tiene una relación de vueltas igual a la unidad. CVT proporciona un voltaje de salida constante con una variación en el voltaje de entrada porque opera en la curva de saturación.

Esta característica especial de los transformadores ferroresonantes los convierte en una buena opción para un acondicionador de potencia.

Transformador de tensión constante | Su funcionamiento y aplicaciónCurva>El transformador de tensión constante funciona según el principio de saturación del núcleo. El núcleo magnético de CVT tiene una gran cantidad de flujo magnético de líneas para un ciclo de CA. Como resultado, la variación del voltaje de suministro de entrada no tiene un efecto significativo en la densidad de flujo magnético. Y, por lo tanto, el voltaje de salida permanece prácticamente constante.

Características

El voltaje de salida de la CVT no se desvía fuera del rango de regulación de voltaje (típicamente 1%-4%), independientemente de la magnitud del voltaje de entrada.

El transformador de voltaje constante es un componente pasivo que no tiene un sensor de retroalimentación para mantener el voltaje de salida constante. Sin embargo, es posible utilizar el último estado de la tecnología electrónica para mejorar la regulación de voltaje. Podemos mejorar la regulación de CVT hasta en un 1%.

Aplicaciones de CVT

Los transformadores ferroresonantes tienen una amplia aplicación para proporcionar tensión constante. La CVT proporciona un voltaje constante a los filamentos de los osciladores de los tubos de radio. También usamos CVT para proporcionar suministro a dispositivos de iluminación, donde es deseable una salida de lux constante.

Transformador de tensión constante | Su funcionamiento y aplicaciónTransformadores>

El Sr. Joseph Sola inventó el transformador de voltaje constante en 1938. Después de su invención. este dispositivo experimentó pequeñas mejoras, pero fundamentalmente su diseño se mantuvo igual que su diseño original.

Trabajo del transformador de voltaje constante

CVT es un transformador monofásico. No obstante, podemos utilizarlo en la combinación de aplicaciones bifásicas o trifásicas.

Cuando CVT funciona en el punto de saturación magnética, es probable que el voltaje de salida no sea sinusoidal debido a los armónicos. El voltaje de salida distorsionado puede causar fallas en el equipo conectado al secundario de la CVT.

Transformador de tensión constante | Su funcionamiento y aplicaciónDiagrama>Para mitigar el efecto de los armónicos, la CVT tiene un devanado secundario auxiliar. El banco de condensadores tiene su conexión en el paralelo del devanado secundario. Por lo tanto, la combinación en paralelo de la inductancia del devanado auxiliar y los bancos de condensadores forma un circuito resonante. También se le llama circuito sintonizado. El circuito sintonizado tiene una frecuencia de sintonización igual a la frecuencia de la fuente de alimentación.

Este circuito sintonizado filtra la frecuencia armónica producida por la saturación del núcleo y mitiga el efecto adverso de la saturación del núcleo. Así obtenemos el voltaje de salida sinusoidal en el devanado secundario principal de la CVT. El circuito del tanque también almacena la energía en forma de oscilación. La CVT utiliza esta energía para marinar el voltaje de salida en caso de pérdida de voltaje hasta 1/2 ciclo.

Ventajas/ Beneficios

La CVT brinda los siguientes beneficios

  • Excelente regulación de voltaje – La CVT proporciona una regulación de voltaje del 1 % al 4 % para la variación del voltaje de entrada ±40 % del nominal.
  • Mitigación de pandeo- CVT puede mantener el voltaje de salida constante para la caída de voltaje al 60 % durante cualquier duración. Sin embargo, CVT no puede mantener el voltaje de salida constante en el caso de una caída de voltaje profunda. La CVT es un mejor dispositivo de mitigación de pandeo que los otros dispositivos. La razón de esto es que CVT no requiere mantenimiento y no requiere baterías.
  • Capacidad de conducción: el circuito del tanque de la CVT puede almacenar la energía hasta por 1/2 ciclo. Podemos usar la CVT en combinación con un inversor y un interruptor de transferencia estático en una aplicación de UPS. En este caso, la CVT proporciona una capacidad de transferencia que permite una transferencia completamente ininterrumpida a una fuente alternativa. Así, el sistema mantiene el voltaje de salida constante durante la interrupción momentánea del suministro. Esta característica es muy útil en caso de sobrecarga, falla en el inversor y otras fallas.
  • Limitador de corriente: podemos usar CVT para una aplicación de salida de corriente constante. La CVT lleva la corriente al rango especificado al reducir el voltaje de salida. Al exceder la corriente por encima del 150% de la corriente nominal, la unidad de control saca la unidad de la región de saturación. Por lo tanto, el voltaje de salida colapsa y la corriente se establece en el valor nominal especificado. Sin embargo, no podemos usar esta función para el equipo que consume una corriente de entrada alta.
  • CVT proporciona aislamiento galvánico contra sobretensiones, transitorios, armónicos y ruido EMI y RFI debido al diseño del circuito del tanque de CVT.
  • No hay partes móviles en la CVT. Por lo tanto, es un equipo muy robusto y brinda servicios confiables.
  • El transformador de voltaje constante es el acondicionador de energía que se utiliza para proteger los equipos eléctricos y electrónicos de los problemas de calidad de la energía. Podemos usar la CVT con otros acondicionadores de energía como UPS y TVSS para obtener mejores resultados.

    Desventajas de CVT

    La CVT tiene una regulación de voltaje superior debido al ferromagnetismo. Sin embargo, la eficiencia del ferro es mucho menor que la del transformador de potencia regular. A plena carga y en condiciones ideales, su eficiencia puede alcanzar hasta solo el 93% y cae sustancialmente con carga ligera. La eficiencia del ferrotransformador disminuye significativamente con una disminución en la carga. El transformador regular tiene una eficiencia de más del 95 %. Mientras que la eficiencia de la CVT oscila entre el 75 % y el 85 % a media carga. Reduce aún más la reducción de la carga en CVT.

    Necesitamos sobredimensionar la CVT de 2 a 3 veces la corriente de carga nominal para una corriente de entrada alta. La CVT debe permitir la gran corriente de irrupción antes de que el voltaje de salida colapse. Como resultado, el sobredimensionamiento reduce considerablemente la eficiencia de CVT.

    Otras desventajas de los CVT son su gran tamaño, su zumbido audible y su costo relativamente alto.

    Leer siguiente:

    Error 403 The request cannot be completed because you have exceeded your quota. : quotaExceeded

    [automatic_youtube_gallery type=»search» search=»Transformador de tensión constante | Su funcionamiento y aplicación» limit=»1″]

    Transformador de Tensión Constante: Su Funcionamiento​ y Aplicación

    ¿Qué⁤ es un Transformador de Tensión Constante?

    Un ‍ transformador de tensión constante (CVT) es ⁣un dispositivo que mantiene⁢ un voltaje de salida estable, a pesar‌ de las variaciones en‍ el voltaje de entrada. Esto es ⁣crucial para aplicaciones donde ⁣se requiere un suministro eléctrico fiable y constante, como ⁣en la iluminación y equipos electrónicos.

    Principio de Funcionamiento del Transformador ​de Tensión Constante

    El funcionamiento de un transformador de tensión constante se basa en el ⁤fenómeno de la ferroresonancia. Este fenómeno ocurre cuando el núcleo ‍del transformador opera en⁤ su ⁤ punto de saturación magnética. En esta condición, cualquier variación en el voltaje de entrada tiene un efecto mínimo en la densidad de flujo magnético, lo ⁣que permite que el voltaje de salida se mantenga casi constante.

    Cuando se producen cambios en ⁣la⁤ magnitud del flujo, el voltaje inducido en ⁣el secundario del transformador permanece estable bajo ciertas condiciones de frecuencia.⁣ El voltaje‍ de salida puede variar solo⁢ entre un 1-4% de su valor nominal⁤ cuando ⁣hay cambios en la ⁤frecuencia de entrada [[1](https://www.lighting.philips.es/prof/electronica-led/transformadores-led/transformadores-led-de-tension-constante/LP_CF_8746813_EU/family)].

    Aplicaciones de los Transformadores de Tensión Constante

    Los transformadores⁢ de tensión constante tienen múltiples aplicaciones en la industria. Estas son algunas de sus principales​ utilidades:

    1. Iluminación: Proveen un suministro constante​ a sistemas de iluminación ‍LED, garantizando calidad lumínica.
    2. Electrónica: Se utilizan en ⁢circuitos de alimentación‌ de⁤ dispositivos electrónicos que requieren un voltaje ‍estable.
    3. Radiocomunicaciones: Suministran energía constante​ a osciladores y otros equipos críticos.

    Ventajas de Usar un Transformador de Tensión Constante

    Entre las ventajas más destacadas de los transformadores ‍de tensión constante, encontramos:

    • Regulación Eficiente: ‌ Estabilidad de voltaje con cambios​ en la ⁤entrada, minimizando los‍ riesgos de daños en equipos sensibles.
    • Uso Sencillo: No requieren ⁢configuración complicada ni mantenimiento, lo que reduce ‍costos⁢ operativos a largo plazo.
    • Capacidad ⁢de Filtrado: La integración de circuitos sintonizados⁤ permite mitigar las frecuencias armónicas no deseadas.

    Preguntas Frecuentes (FAQs)

    ¿Qué diferencias hay entre un transformador de tensión constante y uno de tensión variable?

    La principal diferencia radica en la capacidad de regulación del voltaje. Un transformador de tensión constante mantiene un voltaje de salida fijo, mientras que ‌un transformador⁤ de tensión variable puede ajustar su salida según la necesidad de la carga ⁢conectada.

    ¿Cuáles son los ‍riesgos de usar un ⁣transformador de tensión constante?

    Si bien los transformadores de tensión constante son generalmente seguros, una mala instalación o un mal mantenimiento pueden conducir a sobrecargas,‌ especialmente si ‌las variaciones de la carga son⁢ extremas. Por ello,‍ es crucial seguir las especificaciones del fabricante.

    ¿En qué situaciones se recomienda usar un transformador de tensión constante?

    Se recomienda su uso en‌ instalaciones donde la seguridad y la‌ fiabilidad energética son ‍primordiales, como en ‌hospitales, plantas industriales y sistemas de telecomunicaciones donde los cortes de‍ energía o las fluctuaciones de voltaje pueden causar daños‍ significativos.

    Conclusión

    El ⁣transformador de tensión constante es un componente esencial⁣ en la infraestructura ⁤eléctrica moderna. No solo asegura un suministro eléctrico estable, ⁣sino que también protege los equipos sensibles. Con su amplia gama de aplicaciones y ventajas⁢ significativas, es crucial considerar su uso ‌en proyectos industriales y comerciales.

    Para más información sobre dispositivos y soluciones de energía, visita Interlusa o Lumistrips.

    6 comentarios en «Transformador de tensión constante | Su funcionamiento y aplicación»

    1. It looks like your message was cut off! Could you please provide more details about what you’d like me to write a single of? Whether it’s a paragraph, a story, a quote, or something else, I’m here to help!

    2. ¡Hola a todos! Estoy de acuerdo con lo que dice el artículo sobre los transformadores de tensión constante, son fundamentales en muchos sistemas eléctricos. Recuerdo que una vez tuve que instalar uno en un proyecto de la universidad y fue todo un desafío, pero aprender sobre su funcionamiento y cómo afectan la estabilidad del sistema me abrió los ojos. Definitivamente son más importantes de lo que parecen a simple vista.

    3. La estabilidad del sistema. La verdad es que no sabía mucho al respecto antes, pero una vez que lo implementé, ¡fue como si todo encajara! Me encanta cómo explican su funcionamiento y aplicaciones en el artículo, lo hace mucho más fácil de entender. Sin duda, se ha vuelto un equipo indispensable en mi trabajo diario.

    4. I found the article on «Transformador de tensión constante» to be incredibly informative! As someone who has worked with voltage regulation in various projects, I appreciated the clear explanation of how these transformers function and their practical applications. The detailed examples really helped me grasp the importance of maintaining stable voltage levels. It’s fascinating to see how vital these components are in enhancing efficiency and safety in electrical systems. Great job on breaking down such a complex topic!

    5. ¡Totalmente de acuerdo, Ianis! La primera vez que trabajé con un transformador de tensión constante fue en una práctica en clase de electricidad y la verdad es que no tenía idea de cuán crucial es para mantener una tensión estable. Al principio me sentía perdido, pero al entender su funcionamiento, me di cuenta de lo mucho que simplifican la vida en los sistemas eléctricos. ¡Es impresionante cómo algo que parece tan técnico tiene un impacto tan grande!

    6. Burberrys80an: ¡Completamente de acuerdo! La primera vez que usé un transformador de tensión constante fue durante un proyecto de fin de carrera, y realmente me dejó sorprendido lo esencial que es para mantener la calidad de la energía. Al principio, me costó un poco entender cómo funcionaba, pero ahora lo veo como un héroe anónimo en cualquier sistema eléctrico, ¡es como el guardián de la tensión! Sin duda, es un tema fascinante que vale la pena explorar más.

    Deja un comentario