Construcción del circuito puente de Owen, ecuación, diagrama fasorial y ventajas

Construcción del circuito puente de Owen, ecuación, diagrama fasorial y ventajas

El circuito puente de Owen, también conocido por su ingenioso diseño, se ha convertido en una herramienta esencial en el mundo de la ingeniería eléctrica y la ciencia de mediciones. Pero, ¿qué lo hace tan especial? En este artículo, te llevaremos a través de los fundamentos que permiten su construcción, desglosaremos la ecuación que lo rige y analizaremos el diagrama fasorial que ilumina su funcionamiento. Además, exploraremos las ventajas que ofrece este circuito en comparación con otros sistemas de medición. Prepárate para sumergirte en un mundo de precisión y eficiencia, donde la teoría se encuentra con la práctica y la innovación en cada fase del proceso. ¡Comencemos!

El circuito puente de Owen: simplificando ecuaciones y diagramas fasoriales con sus ventajas

En este artículo, discutiremos el Puente de Owen, su construcción de circuito, ecuación, diagrama fasorial, ventajas y desventajas. Entonces, comencemos con la introducción básica del puente de Owen.

¿Qué es el Puente de Owen?

puente de owen es un puente de CA que se utiliza para medir la autoinductancia. El principio de funcionamiento del puente de Owen se basa en el hecho de que la inductancia desconocida de un inductor se determina comparándolo con un condensador estándar. Por lo tanto, el puente de Owen da el valor de la inductancia en términos de capacitancia. Es un puente de equilibrio, es decir, el valor de la inductancia se determina equilibrando las cargas en sus cuatro brazos.

Construcción del circuito del puente de Owen

La construcción del circuito del puente de Owen para la medición de la inductancia se muestra en la Figura 1.

Construcción del circuito puente de Owen, ecuación, diagrama fasorial y ventajas>El puente consta de cuatro brazos, donde el brazo AB tiene un inductor L1 cuya inductancia se va a medir. La resistencia de este inductor desconocido se considera R1. El brazo AD consta de una resistencia variable estándar R2 y un condensador variable C2. El brazo BC tiene una resistencia estándar R4y el brazo CD tiene un capacitor estándar C4. Además, se conecta un detector de deflexión nula entre los nodos B y D, para determinar la condición de equilibrio del puente.

Teoría del Puente de Owen

Se dice que el puente está balanceado cuando el detector muestra una desviación nula. Es porque, bajo la condición balanceada del puente, los nodos B y D están al mismo potencial eléctrico, por lo tanto, no hay flujo de corriente a través del detector.

La condición de equilibrio del puente se obtiene variando la resistencia variable estándar R2 y C2 en la sucursal AD.

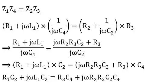
Del diagrama de circuito que se muestra en la figura 1 anterior, las impedancias de los brazos están dadas por,

Construcción del circuito puente de Owen, ecuación, diagrama fasorial y ventajas>

Bajo la condición de equilibrio del puente, obtenemos,

Construcción del circuito puente de Owen, ecuación, diagrama fasorial y ventajas>Al igualar las partes real e imaginaria de la ecuación anterior, tenemos,

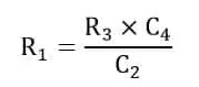
Construcción del circuito puente de Owen, ecuación, diagrama fasorial y ventajas>Por lo tanto, la resistencia del inductor es,

Construcción del circuito puente de Owen, ecuación, diagrama fasorial y ventajas>Y la inductancia del inductor es,

Construcción del circuito puente de Owen, ecuación, diagrama fasorial y ventajas>Por lo tanto, usando la ecuación anterior del puente de Owen, la inductancia de un inductor desconocido se puede determinar comparándolo con un capacitor estándar.

Diagrama fasorial del puente de Owen

Podemos dibujar el diagrama fasorial usando la relación entre las caídas de voltaje y las corrientes a través de cada rama del puente. El diagrama fasorial típico del puente de Owen se muestra en la Figura 2.

Construcción del circuito puente de Owen, ecuación, diagrama fasorial y ventajas>

En el diagrama fasorial anterior, yo1V3, y V4 todos están en la misma fase como se representa en el eje horizontal. el voltaje yo1R1 también está en fase con la corriente I1.

La caída de tensión V1 a través del brazo AB es la suma fasorial de la caída de tensión inductiva ωI1L1 y la caída de voltaje yo1R1. Bajo la condición balanceada del puente, los voltajes V1 y V2 a través de las ramas AB y AD son iguales.

La caída de tensión V2 es la suma fasorial de las caídas de tensión I2R2 y yo2/ωC2. La tensión de alimentación es igual a la suma de las tensiones V1 y V3.

Ventajas del puente de Owen

Las siguientes son las principales ventajas de la medición de inductancia:

  • La derivación de la ecuación de equilibrio es bastante simple.
  • La ecuación de equilibrio del puente de Owen no contiene ningún componente de frecuencia.
  • Se puede utilizar para medir las inductancias de una amplia gama de valores.

Desventajas del puente de Owen

Las principales desventajas se enumeran a continuación:

  • El costo del puente de Owen es comparativamente alto debido a la presencia de un capacitor estándar costoso.
  • La precisión del condensador variable estándar es de aproximadamente el 1%.
  • Para el alto factor Q, requiere un gran valor del condensador C2.
Error 403 The request cannot be completed because you have exceeded your quota. : quotaExceeded

[automatic_youtube_gallery type=»search» search=»Construcción del circuito puente de Owen, ecuación, diagrama fasorial y ventajas» limit=»1″]

Construcción del Circuito Puente de Owen: Ecuación, Diagrama Fasorial y Ventajas

El circuito puente de Owen ‌ es una herramienta clave⁣ en⁤ la ⁤ingeniería eléctrica, especialmente en el ámbito de ‌las mediciones de inductancia.​ Este⁢ artículo explorará la construcción ⁣del circuito, la ecuación que⁤ lo gobierna,⁤ el diagrama fasorial que describe su ​funcionamiento y⁤ las ⁢ventajas que ‍ofrece este circuito ⁣en comparación con otros ⁤sistemas ⁢de medición.

¿Qué‍ es el Puente de Owen?

El puente de Owen ⁤es un circuito de corriente alterna (CA)⁣ diseñado para medir la autoinductancia ⁤de un inductor.⁢ Su funcionamiento se basa en‍ la comparación ‌de ⁤la inductancia desconocida con la ‌capacitancia de un condensador estándar. Al equilibrar las cargas en ⁢sus cuatro brazos, el puente ⁢permite determinar con⁤ precisión⁣ la inductancia ‌a medir.

Construcción del Circuito del ​Puente de Owen

La construcción del circuito ‌del ‌puente⁣ de⁢ Owen incluye ⁤cuatro ‍brazos con diferentes componentes:

  1. El brazo AB ‌contiene⁣ un⁣ inductor L1 cuya inductancia se desea medir ⁤(R1 es la resistencia del inductor).
  2. El ‌brazo AD dispone ⁣de una resistencia variable ​estándar R2 y un condensador‍ variable C2.
  3. El ‌brazo ​BC tiene una resistencia estándar R4.
  4. El brazo CD incluye un ⁢capacitor estándar C4.

Un detector de deflexión nula ​está ⁣conectado ‌entre ⁣los⁢ nodos B ‍y D, lo ​que facilita la determinación de la condición de ⁤equilibrio del puente.

Ecuación del Puente de​ Owen

El ‍puente se considera equilibrado cuando ‍el detector indica ⁢una desviación nula,‍ lo que ocurre​ cuando los ⁣nodos ‍B⁤ y D están al mismo potencial ⁣eléctrico, resultando ​en ​ausencia‌ de flujo de corriente por⁤ el detector. La ‌condición‌ de ‍equilibrio se ​logran al ajustar R2 y C2. Las ecuaciones que describen este equilibrio se obtienen al igualar las partes real e imaginaria de las impedancias en‍ cada‍ brazo‍ del puente.

Condiciones de⁣ equilibrio

Bajo la ⁤condición de equilibrio, se pueden establecer las‌ siguientes relaciones:

  • Los valores⁣ de las resistencias y capacitancias se utilizan para encontrar la inductancia ​del inductor desconocido (L1).
  • Las ecuaciones resultantes permiten calcular L1 en función​ de ​R2, C2, R4 y C4.

Diagrama Fasorial

El diagrama fasorial es​ crucial ‌para‍ entender el comportamiento del puente. Este diagrama muestra la relación de fase entre las⁣ corrientes y⁢ voltajes ​en‍ los ​circuitos ⁢inductivos y capacitivos. Es común representar las impedancias y las‌ corrientes ‍en ‍forma de vectores,‌ lo que facilita el ​análisis de equilibrio.

Ventajas⁤ del Puente ⁣de Owen

El puente de Owen ofrece varias ventajas ⁢ sobre ‍otros métodos de medición:

  1. Alta precisión: Permite medir inductancias⁤ con gran exactitud.
  2. Ajustabilidad: ‌ Gracias a sus componentes variables,‍ se puede adaptar a diferentes‍ valores inductivos.
  3. Detección fácil: El uso de un detector nulo simplifica la interpretación de los resultados.

FAQs sobre​ el Puente de Owen

¿Qué tipo⁤ de componentes se utilizan en el Puente de Owen?

El puente utiliza ⁣inductores,‍ resistencias y condensadores. ‌Estos componentes se combinan para permitir la medición precisa de inducciones​ en un entorno controlado.

¿Cuál ​es‌ la principal desventaja del Puente de Owen?

Una de las ‍desventajas es que requiere condiciones ‍de laboratorio específicas ‌para su ​funcionamiento óptimo, ⁤lo que puede ‍limitar su ⁢uso en el campo.

¿Cómo se ⁤determina‌ la inductancia con el Puente ‍de Owen?

La inductancia se determina ajustando los valores de R2 y C2 hasta que⁢ el detector de deflexión indique un equilibrio (desviación nula), lo que permite aplicar las ecuaciones⁢ del​ puente para calcular L1.

Conclusión

El puente de Owen es una herramienta invaluable en ‍la medición de inductancias debido a ‌su⁣ precisión⁢ y flexibilidad. Comprender su construcción,⁣ ecuaciones y‍ funcionamiento permite⁣ a los​ ingenieros eléctricos⁣ realizar mediciones más efectivas y confiables.

Para más información sobre el puente⁣ de Owen, puedes visitar esta página o ver una demostración en video.

2 comentarios en «Construcción del circuito puente de Owen, ecuación, diagrama fasorial y ventajas»

  1. Vinylcultvg: ¡Totalmente de acuerdo, Carlos! Me pasó lo mismo en la uni, y no te imaginas cuántas veces me frustré con esos diagramas. Pero una vez que logré ver la relación entre la teoría y la práctica, todo cobró sentido. Recuerdo que en un proyecto de electrónica, el circuito puente de Owen fue una salvación para equilibrar nuestras mediciones. Tiene un desempeño impresionante, y es cierto, parece complicado, pero una vez que entiendes los conceptos básicos, se convierte en algo muy gratificante. ¡Gran artículo!

  2. ¡Hola! Muy interesante el artículo sobre el circuito puente de Owen. Me acuerdo que en la universidad tuvimos que hacer un proyecto similar y fue todo un desafío entender los diagramas fasoriales, pero al final logramos armar un circuito funcional. La verdad, las ventajas que mencionan son clave para cualquier aplicación práctica. Definitivamente, es un tema que se siente más complejo de lo que es, pero una vez que le agarras la onda, se vuelve emocionante. ¡Gracias por compartir!

Deja un comentario