Puente Schering – Puente Schering de baja y alta tensión

Puente Schering – Puente Schering de baja y alta tensión

En el fascinante mundo de la ingeniería eléctrica, el Puente Schering se erige como un elemento clave para el análisis de circuitos y la medición de parámetros eléctricos. Su versatilidad permite trabajar tanto con tensiones bajas como altas, ofreciendo soluciones precisas y eficientes en diversas aplicaciones industriales. Desde optimizar líneas de transmisión hasta garantizar la estabilidad de sistemas eléctricos complejos, el Puente Schering se convierte en un aliado indispensable para ingenieros y técnicos. En este artículo, exploraremos en profundidad su funcionamiento, características y las diferencias entre su aplicación en baja y alta tensión. ¡Prepárate para descubrir el corazón de la medición eléctrica!

El Puente Schering, también conocido como Puente Schering de baja y alta tensión, es una de las herramientas más utilizadas en el campo de la electrónica para medir y analizar circuitos eléctricos en diferentes frecuencias. Este dispositivo, inventado por el físico alemán Ernst Werner von Schering, ha revolucionado la manera en la que se estudian y comprenden los fenómenos eléctricos. En este artículo, exploraremos en detalle el funcionamiento y las aplicaciones del Puente Schering, así como su relevancia en el mundo moderno.

Puente Schering es un tipo de puente de CA (corriente alterna) que se utiliza para medir diferentes parámetros de un condensador, como la capacitancia, la pérdida dieléctrica y el factor de potencia. El puente de Schering es uno de los puentes más populares que se utilizan para medir la capacitancia desconocida.

Dado que el puente de Schering es un tipo de puente de CA, por lo tanto, también funciona con el mismo principio que los otros puentes de CA. En otras palabras, funciona según el principio del equilibrio del puente, es decir, la capacitancia desconocida se determina equilibrando el puente y comparando el valor desconocido con los valores estándar.

Hay dos construcciones de circuito del puente de Schering, que son:

  • Puente Schering de baja tensión
  • Puente Schering de alto voltaje

Ahora, analicemos cada uno de estos dos tipos de puentes Schering en detalle uno por uno.

Puente Schering de baja tensión

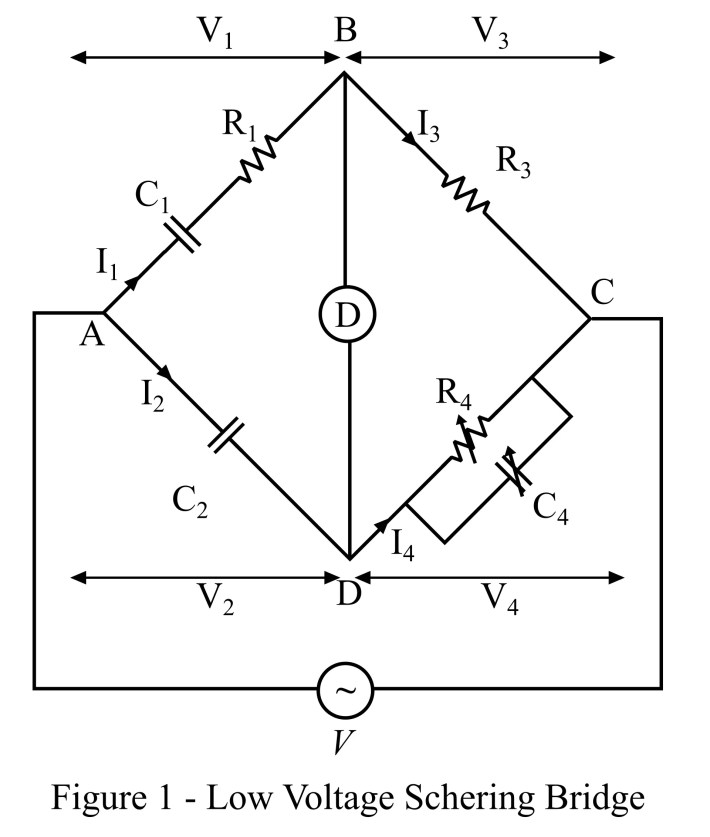
Puente Schering – Puente Schering de baja y alta tensión>El construcción del circuito de baja tensión El puente de Schering se muestra en la Figura 1. Como cualquier otro puente de CA, este puente también consta de cuatro brazos, a saber, AB, AD, BC y CD. Donde el brazo AB tiene un capacitor C1 cuya capacitancia se va a medir y un resistor de resistencia R1. La resistencia R1 representa la pérdida dieléctrica del condensador C1. El brazo AD tiene un capacitor estándar C2. El brazo BC tiene una resistencia estándar no inductiva R3, y el brazo CD consta de un condensador variable C4 y una resistencia no inductiva variable R4, que están conectados en paralelo entre sí. Una fuente de voltaje de CA está conectada a través de las terminales A y C del circuito puente.

Dado que el puente Schering se basa en el principio de desviación nula, para detectar la condición de equilibrio del puente se utiliza un detector nulo que se conecta entre los terminales B y D como se muestra en la figura 1.

Ahora, derivemos la expresión de la capacitancia desconocida para el circuito puente dado.

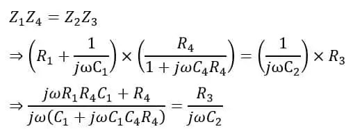
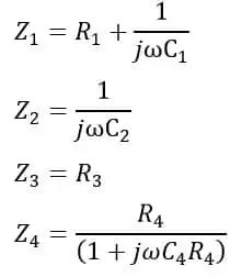
Del circuito puente que se muestra en la figura 1, las impedancias de sus ramas son,

Puente Schering – Puente Schering de baja y alta tensión>

Cuando el puente está en la condición de equilibrio, tenemos,

Puente Schering – Puente Schering de baja y alta tensión>Al ordenar la ecuación, obtenemos,

Puente Schering – Puente Schering de baja y alta tensión>Ahora, al igualar los términos reales de esta ecuación, obtenemos,

Puente Schering – Puente Schering de baja y alta tensión>Por lo tanto, el valor de la capacitancia desconocida C1 es,

Puente Schering – Puente Schering de baja y alta tensión>Y, al igualar las partes imaginarias de la ecuación, obtenemos,

Puente Schering – Puente Schering de baja y alta tensión>

Por lo tanto, podemos usar estas dos ecuaciones para calcular el valor de la capacitancia desconocida y la pérdida dieléctrica en el capacitor R1.

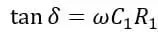
El diagrama fasorial del puente de Schering de baja tensión se muestra en la Figura 2.

Puente Schering – Puente Schering de baja y alta tensión>También podemos determinar el factor de disipación del capacitor desconocido de la siguiente manera:

Puente Schering – Puente Schering de baja y alta tensión>Del diagrama fasorial tenemos,

Puente Schering – Puente Schering de baja y alta tensión>Al sustituir los valores de C1 y R1obtenemos,

Puente Schering – Puente Schering de baja y alta tensión>Este es el factor de disipación del capacitor bajo medición.

Limitaciones del puente Schering de bajo voltaje

Las siguientes son las principales limitaciones del puente Schering de bajo voltaje:

  • El detector nulo utilizado en el puente no es muy sensible.
  • En el puente de Schering de bajo voltaje, es un poco difícil obtener la condición de equilibrio del puente.
  • Hay algunos errores presentes en la medición de pequeñas capacitancias.
  • Se debe realizar la calibración del puente para determinar el factor de disipación a diferentes frecuencias.

Ahora, analicemos el segundo tipo de puente de Schering, es decir, el puente de Schering de alto voltaje.

Puente Schering de alto voltaje

El puente Schering de alto voltaje está diseñado principalmente para medir pequeñas capacitancias en valores de alto voltaje y alta frecuencia. Este circuito puente supera las limitaciones del puente Schering de bajo voltaje.

Las siguientes son las principales ventajas que hacen del puente de Schering de alto voltaje el método más adecuado para la medición de capacitancia en altos voltajes:

  • El detector nulo (un galvanómetro de vibración) utilizado en el puente Schering de alta tensión es muy sensible.
  • Da resultados muy precisos.
  • La pérdida de potencia debido a la resistencia presente en el circuito es muy pequeña.
  • El uso del dispositivo de tierra de Wagner elimina los errores debidos a la capacitancia de tierra.

La construcción del circuito del puente Schering de alto voltaje se muestra en la Figura 3.

Puente Schering – Puente Schering de baja y alta tensión>El circuito de este puente consta de cuatro brazos, a saber, AB, AD, BC y CD. Aquí, el brazo AB tiene un capacitor C1 en serie con una resistencia R1. El brazo AD tiene una capacitancia de C2. El brazo BC tiene una capacitancia de R3 y el brazo CD tiene un capacitor variable C4 en paralelo con una resistencia variable de R4. Un galvanómetro de vibración está conectado entre las terminales B y D del puente.

Los condensadores C1y C2 utilizados en este puente están especialmente diseñados para funcionar correctamente a altas tensiones. Además, estos condensadores muestran impedancias muy altas en los valores normales de la frecuencia de alimentación. Por lo tanto, debido a la alta impedancia, las corrientes que fluyen en los brazos del puente son muy bajas, lo que se traduce en un bajo consumo de energía. En consecuencia, podemos usar un detector nulo sensible en el circuito puente.

Otra característica importante de este puente es que su terminal C está conectado a tierra lo que garantiza la seguridad del operador del puente. Además, en el puente de Schering de alto voltaje, los espacios de chispa se proporcionan en cada brazo del puente para evitar el alto voltaje peligroso que aparece en los brazos BC y DC debido a la ruptura de los capacitores de alto voltaje.

Precauciones para garantizar una alta precisión

Se deben tomar las siguientes precauciones importantes para garantizar una alta precisión en la medición de la capacitancia:

  • En el puente de Schering de alto voltaje, se debe proporcionar el dispositivo de tierra de Wanger para eliminar el efecto de la capacitancia de tierra en el detector.
  • Se deben usar pantallas de tierra en el circuito del puente para eliminar errores en la medición debido a la capacitancia interna entre los brazos de alto y bajo voltaje.
  • Se utilizará un anillo de protección para eliminar el error debido a la pérdida dieléctrica en el condensador C2.

Ventajas del puente de Schering

Las siguientes son las principales ventajas del puente de Schering:

  • El Schering es relativamente menos costoso en comparación con otros puentes de CA.
  • Su ecuación de equilibrio es independiente de la frecuencia.
  • El puente de Schering puede medir las propiedades aislantes de cables y dispositivos eléctricos.
  • Usando el puente de Schering, podemos medir el factor de disipación del capacitor.

Por lo tanto, se trata del puente de Schering de bajo voltaje y el puente de Schering de alto voltaje. Ahora, analicemos un ejemplo numérico resuelto para comprender el cálculo de la capacitancia utilizando la fórmula del puente de Schering.

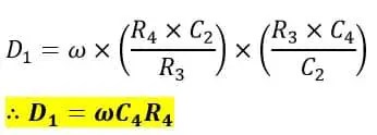
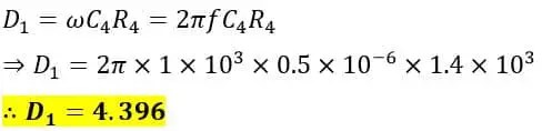
Ejemplo numérico en Schering Bridge

Un puente de Schering tiene los siguientes parámetros de circuito:

Puente Schering – Puente Schering de baja y alta tensión>Determinar el valor de C1 y R1y el factor de disipación D1.

Solución

Los valores de C1 y R1 son dados por,

Puente Schering – Puente Schering de baja y alta tensión>

El factor de disipación del condensador es,

Puente Schering – Puente Schering de baja y alta tensión>

Error 403 The request cannot be completed because you have exceeded your quota. : quotaExceeded

[automatic_youtube_gallery type=»search» search=»Puente Schering – Puente Schering de baja y alta tensión» limit=»1″]

Puente Schering – Puente Schering de Baja y ​Alta Tensión

Introducción al Puente Schering

‌​ En el ​fascinante mundo de la ingeniería⁢ eléctrica, el ⁤ Puente Schering se erige como un elemento clave para el análisis de‍ circuitos y ⁢la ​medición de ⁢parámetros eléctricos. Su versatilidad permite trabajar tanto ​con tensiones bajas como altas, ​ofreciendo‍ soluciones precisas ‌y eficientes en diversas aplicaciones industriales.

Fundamentos del Puente Schering

​ ⁢‌ ‌ ⁣ El Puente Schering, ideado por el físico alemán Ernst Werner von Schering, ⁢es ampliamente ‍utilizado para medir diferentes parámetros de ‌un condensador, como la capacitancia, la pérdida dieléctrica y el factor de potencia.⁢ Este dispositivo funciona bajo el principio de equilibrio del puente, comparando⁤ una capacitancia desconocida con⁢ valores estándar.

‍ ⁢ Los puentes ⁢Schering se clasifican principalmente en dos categorías:

  1. Puente Schering‍ de⁤ baja ‌tensión
  2. Puente Schering de alto⁢ voltaje

Puente Schering de Baja Tensión

⁤ ⁢ ⁤ El Puente Schering de baja tensión se utiliza⁤ para medir capacitancias ⁤en‌ entornos de menor voltaje. Su circuito constaba ⁣de cuatro brazos:

  • AB: ​ Capacitor C1 cuya capacitancia se medirá.
  • AD: Capacitor estándar C2.
  • BC: Resistencia‍ estándar no inductiva R3.
  • CD: Capacitor variable ⁣C4 y resistencia no inductiva variable R4 en paralelo.

⁣ ‌ ⁤ ⁣ ‌ ‍ Una fuente de voltaje de CA se conecta entre las terminales A y C, y ⁢se utiliza un ​ detector nulo para alcanzar el equilibrio ⁢en el puente.

Limitaciones del Puente Schering de Baja Tensión

  • El detector nulo es poco sensible.
  • Difícil de equilibrar en condiciones específicas.
  • La ‌calibración es esencial para‌ mediciones precisas.

Puente Schering‍ de Alto ​Voltaje

‌ ‌ Por otro lado, el Puente Schering de alto voltaje está diseñado para medir pequeñas capacitancias en entornos de alto voltaje y alta frecuencia. Este puente supera muchas limitaciones de su versión de baja tensión.

‌ Sus características incluyen:

  • Detector nulo altamente sensible (galvanómetro de vibración).
  • Resultados ‌precisos y mínima pérdida de potencia.
  • Se emplea el dispositivo de tierra de Wagner ‌para reducir errores de medición.

⁢ ​ ​ En esta construcción, el terminal C está conectado‌ a tierra,‌ garantizando la seguridad del operador. Además, se instalan espacios de chispa en cada brazo para salvaguardar frente ⁣a altas tensiones.

FAQs sobre el Puente Schering

¿Qué es un Puente Schering?

El Puente Schering es un circuito utilizado en ⁢ingeniería eléctrica para medir la capacitancia, la pérdida dieléctrica y el factor de ​potencia en condensadores, tanto⁢ en tensión baja como​ en alta.

¿Dónde ‍se utiliza el Puente Schering?

Se usa en ​laboratorios, en pruebas de aislamiento​ eléctrico‍ y en la calibración de medidores de capacitancia, además de en aplicaciones⁢ industriales donde se requiere medir las características de los condensadores.

¿Cuáles‍ son las diferencias entre‌ el puente de baja y alta tensión?

La principal diferencia radica en su diseño ​y​ sensibilidad. El puente de alto voltaje presenta un‌ detector nulo más sensible y está diseñado ⁤específicamente para operar​ en condiciones de alta frecuencia y voltajes elevados, mientras que el de ‌baja tensión ⁣es más limitado en estas áreas.

Para más información sobre el Puente Schering, visite Itztli.

2 comentarios en «Puente Schering – Puente Schering de baja y alta tensión»

  1. ¡Qué interesante! Nunca había escuchado sobre el Puente Schering, pero suena muy útil para las instalaciones eléctricas. Recuerdo que cuando estaba en la universidad, tuvimos un proyecto donde teníamos que trabajar con circuitos de alta tensión, y la verdad, me dio un poco de miedo al principio. Pero aprender a manejar la electricidad y sus componentes fue toda una aventura, ¡como una montaña rusa! Me imagino que este puente facilita un montón ese tipo de trabajos.

  2. Enrique carmelo: ¡Totalmente de acuerdo! A mí también me parece fascinante el Puente Schering. Recuerdo la primera vez que usé un osciloscopio en clase para medir señales de alta y baja tensión, fue toda una experiencia. Me sentí como un verdadero ingeniero, aunque me costó un poco entender las variaciones. Este tipo de tecnología la hace mucho más accesible y seguro para todos los que trabajamos en este campo. ¡Seguro que me habría ayudado un montón en esos días de práctica!

Deja un comentario