Transformador de corriente: construcción, fasores y errores
En el fascinante mundo de la ingeniería eléctrica, donde los secretos de la energía se entrelazan con la precisión matemática, se encuentra el transformador de corriente, un dispositivo fundamental que permite medir y controlar flujos eléctricos con asombrosa exactitud. Pero, ¿qué hay detrás de su construcción y funcionamiento? Este artículo te llevará a un viaje a través de los componentes esenciales, la teoría de los fasores que gobierna sus operaciones y los errores que pueden surgir en su uso. Descubramos juntos cómo este pequeño pero poderoso dispositivo no solo transforma corriente, sino también la forma en que entendemos y aplicamos la electricidad en nuestra vida diaria. ¡Acompáñanos en esta exploración eléctrica!
«El transformador de corriente es una de las herramientas más importantes en el mundo de la electricidad. En este artículo, descubriremos la construcción de esta fascinante tecnología, así como su funcionamiento mediante el uso de fasores. Además, también exploraremos los posibles errores que pueden surgir en su uso. ¡Prepárate para adentrarte en el emocionante mundo de los transformadores de corriente!»
Discutiremos el transformador de corriente: construcción, fasores y errores en esta publicación. El transformador de corriente se usa ampliamente para medir la corriente alta. El transformador de corriente reduce el valor alto de la corriente al valor bajo que puede leer el instrumento de medición. Si un medidor debe leer una corriente de 2000 amperios, no es posible leer porque se requiere usar una pequeña resistencia de derivación de alta potencia nominal en paralelo al galvanómetro. Sin embargo, no es práctico usar una resistencia de derivación de valor pequeño de alta clasificación de potencia para leer la corriente alta directamente por medidor. Es por eso que el transformador de corriente se usa para reducir la magnitud de la corriente para que el instrumento de medición y el relé de protección puedan leer la corriente.
Construcción de transformador de corriente (CT)
El transformador de corriente tiene dos devanados llamados primario y secundario. El devanado primario tiene menos vueltas y está conectado en serie con el circuito primario. Toda la corriente del circuito pasa a través del devanado primario y es deseable que la caída de voltaje a través del devanado primario sea lo más baja posible. El transformador de corriente tiene menos espiras de gran sección transversal y, por tanto, la caída de tensión en el devanado primario se reduce en gran medida.
>El devanado secundario tiene más vueltas en comparación con el devanado primario y está conectado con un medidor de amperios, un medidor de energía, un medidor de vatios, un transductor y un relé de protección. El devanado secundario del TC debe conectarse con un medidor de baja impedancia para mantener el flujo magnético en el núcleo hasta su capacidad de flujo nominal. El flujo en el núcleo por encima de la capacidad nominal provoca la saturación del núcleo magnético, lo que conduce a la falla total del transformador de corriente. El secundario del TC no debe dejarse abierto porque en esta condición, el flujo en el núcleo se multiplica y causa la saturación del núcleo del TC.
Según la construcción, hay dos tipos de transformadores de corriente: CT de tanque vivo y CT de tanque muerto. En ambos tipos de CT, el núcleo y el devanado están encerrados en una estructura de porcelana y esta estructura está llena de aceite mineral aislado que actúa como medio de enfriamiento y también proporciona el aislamiento eléctrico requerido.
Símbolo del transformador de corriente (CT)
Circuito equivalente de transformador de corriente (CT)
>
El primario de CT tiene pocas vueltas y tiene muy poca resistencia. La resistencia y la reactancia del devanado primario se denotan por Rpag y Xpag respectivamente. La resistencia y la reactancia del devanado secundario se denotan por Rs y Xs respectivamente. Los componentes de magnetización del transformador de corriente son Rc y Xmetro. RC es responsable del componente de pérdida principal, y Xmetro es la reactancia de magnetización de CT. Los otros parámetros de CT son los que se indican a continuación.
>
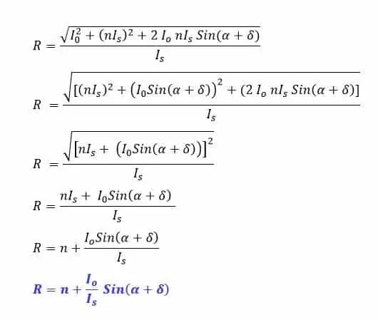
Diagrama fasorial del transformador de corriente (CT)

>El circuito equivalente del transformador de corriente es similar al del transformador de potencia y el motor de inducción. El transformador de corriente tiene dos tipos de errores.
- Error de relación
- Error de ángulo de fase
A partir del diagrama fasorial, se puede calcular el error de relación de CT y el error de ángulo de fase.







Sure! Please provide me with the content or topic of the post that you would like me to comment on.
¡Qué interesante post! La verdad es que nunca había entendido del todo cómo funcionan los transformadores de corriente hasta que tuve que repararlo en un proyecto de la universidad. Fue todo un desafío lidiar con los fasores y los errores de medición, pero al final, ver que todo encajaba fue una satisfacción enorme. Gracias por la info, siempre es genial profundizar más en estos temas tan técnicos.
Patrick gabriel: ¡Qué buena onda, chicos! A mí me pasó algo parecido cuando empecé a trabajar en mi primer proyecto de electrónica. Al principio, los transformadores de corriente me tenían loco, y los fasores parecían un idioma alienígena. Pero después de darle varias vueltas y hacer algunos experimentos, todo empezó a tener sentido, y fue una sensación de logro tremenda. Me alegra ver que hay más personas que se han enfrentado a esto, ¡así se aprende mejor!
¡Excelente artículo! La explicación sobre la construcción y los fasores del transformador de corriente es clara y muy informativa. Además, me parece fundamental que se aborden los errores asociados, ya que son cruciales para garantizar mediciones precisas. ¡Gracias por compartir este conocimiento!
Thaxtertr: ¡Totalmente de acuerdo, padierna! Yo también me metí en un lío similar en la uni, y aprender sobre los transformadores de corriente fue clave para entender mejor el sistema eléctrico en el que estábamos trabajando. Recuerdo que fue un poco frustrante al principio, especialmente con el tema de los fasores, pero al final esa «a-ha» fue increíble. ¡Amo cuando todo empieza a tener sentido! Gracias por compartir tu experiencia, siempre es bueno ver que no estamos solos en estos líos.