Voltaje en circuitos paralelos (fuentes, fórmula y cómo agregar)

Voltaje en Circuitos Paralelos: Fuentes, Fórmula y Cómo Agregar

En el fascinante mundo de la electricidad, los circuitos paralelos juegan un papel fundamental en el funcionamiento eficiente de dispositivos y sistemas que utilizamos a diario. Pero, ¿alguna vez te has preguntado cómo se distribuye el voltaje en estas configuraciones? En este artículo desglosaremos los secretos detrás del voltaje en circuitos paralelos, explorando sus fuentes, la fórmula clave que lo rige y, lo más emocionante, cómo agregar componentes sin complicaciones. Prepárate para desmitificar conceptos y convertirte en un experto en el arte de la electricidad. ¡Comencemos!

¿Alguna vez te has preguntado cómo se comporta el voltaje en circuitos paralelos? En este artículo, descubrirás todo sobre la forma en que las fuentes de voltaje interactúan en este tipo de configuración. Conoce la fórmula que te permitirá calcular el voltaje total y aprende cómo agregar nuevas fuentes para obtener resultados precisos en tus proyectos eléctricos. ¡No te pierdas esta guía completa y práctica sobre voltaje en circuitos paralelos!

Este artículo describe en detalle el voltaje en circuitos paralelos. En un circuito paralelo o conexión en paralelo, los dispositivos eléctricos están conectados en paralelo.

En un circuito paralelo, el voltaje es igual en cada componente paralelo. Esto se debe a que los componentes eléctricos están conectados en los dos conjuntos de puntos eléctricamente comunes en un circuito paralelo. El potencial en los puntos comunes de conexión es el mismo y, en otras palabras, podemos decir que el potencial en cada componente es el mismo en la conexión en paralelo.

Voltaje en circuitos paralelos (fuentes, fórmula y cómo agregar)>Del diagrama anterior, está claro que los nodos 1, 2, 3 y 4 son los mismos nodos eléctricos. de manera similar, los nodos 5, 6, 7 y 8 son el mismo nodo eléctrico. Por lo tanto, el voltaje en todas las resistencias R1, R2, R3, R4 y R5 son iguales, lo que equivale al voltaje en la batería (6 V).

Voltaje en circuitos paralelos (fuentes, fórmula y cómo agregar)>

El siguiente circuito muestra el circuito cerrado con una fuente de voltaje y una sola resistencia. La corriente que fluye a través de la resistencia es igual a la corriente total del circuito y el voltaje a través de la resistencia es igual al voltaje de la fuente.

Voltaje en circuitos paralelos (fuentes, fórmula y cómo agregar)>La corriente en el circuito es;

Voltaje en circuitos paralelos (fuentes, fórmula y cómo agregar)>El siguiente circuito es un circuito cerrado que tiene tres resistencias (R1R2 &R3) conectado en paralelo con una fuente de voltaje (Vs).

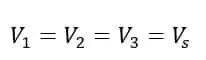
Voltaje en circuitos paralelos (fuentes, fórmula y cómo agregar)>En el circuito anterior, un extremo de cada resistencia está conectado a un extremo de la terminal de la batería y el otro extremo de cada resistencia está conectado al otro extremo de la batería. Por lo tanto, podemos decir que el voltaje en cada resistencia es igual al voltaje de la fuente. Matemáticamente podemos expresar el voltaje a través de las resistencias como;

Voltaje en circuitos paralelos (fuentes, fórmula y cómo agregar)>La corriente a través de la R1 resistor

Voltaje en circuitos paralelos (fuentes, fórmula y cómo agregar)>

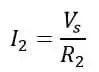
La corriente a través de la R2 resistor

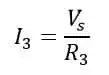
Voltaje en circuitos paralelos (fuentes, fórmula y cómo agregar)>La corriente a través de la R3 resistor

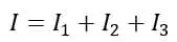
Voltaje en circuitos paralelos (fuentes, fórmula y cómo agregar)>La corriente total en el circuito paralelo anterior es;

Voltaje en circuitos paralelos (fuentes, fórmula y cómo agregar)>De la expresión anterior, está claro que la corriente total en el circuito aumenta cuando agregamos ramas adicionales en un circuito paralelo particular.

La resistencia equivalente o efectiva (R) del circuito paralelo anterior se puede calcular siguiendo las siguientes expresiones matemáticas.

Voltaje en circuitos paralelos (fuentes, fórmula y cómo agregar)>Ventajas de los circuitos en paralelo

Para comprender las ventajas de los circuitos en paralelo, tomemos un ejemplo. Deje que tres bombillas de voltaje nominal (V) se conecten en serie y finalmente se conecten a una fuente de voltaje (V). El diagrama de circuito de la disposición se muestra en la siguiente figura.

Voltaje en circuitos paralelos (fuentes, fórmula y cómo agregar)>Cuando conectamos tres bombillas a una sola fuente de voltaje en la conexión en serie, ocurren los siguientes problemas.

  • No es posible encender y apagar bombillas individuales.
  • Todas las bombillas no brillan con la intensidad nominal completa.
  • El circuito se convierte en un circuito abierto si hay un problema con alguna de las bombillas.

El diagrama de conexión de tres bombillas conectadas en paralelo se muestra a continuación.

Voltaje en circuitos paralelos (fuentes, fórmula y cómo agregar)>Las tres bombillas conectadas en paralelo obtienen el voltaje de suministro completo y los resultados son los siguientes.

  • Todas las bombillas brillan a su intensidad nominal.
  • Las bombillas obtienen el voltaje nominal.
  • Es posible operar las bombillas individualmente.
  • En caso de defecto de alguna de las bombillas, las demás bombillas sanas siguen funcionando. Las bombillas defectuosas se pueden reemplazar.

Circuitos Paralelos en Casa

Todos nuestros electrodomésticos están conectados en paralelo entre sí. Por lo tanto, podemos operar aparatos individuales por separado sin afectar a otros. Por ejemplo. podemos encender la lavadora sin encender o apagar la batidora o cualquier otro electrodoméstico.

El circuito eléctrico tiene conductores de fase, neutro y tierra. En condiciones eléctricas sanas, el flujo de corriente entre fase y neutro cuando encendemos cualquier aparato eléctrico. El conductor de tierra protege el sistema eléctrico en una condición defectuosa. Cuando la fase viva toca la tierra, una gran cantidad de corriente eléctrica fluye a través del cable de fase y el fusible en la serie de la fase viva se apaga en condiciones de falla a tierra.

Cuando enchufamos el conector eléctrico a la toma de corriente el aparato recibe alimentación. Así, al conmutar los aparatos, obtiene plena tensión para su funcionamiento.

Aplicación de Voltaje en Paralelo

Las aplicaciones de voltajes en paralelo comprenden lo siguiente:

  • Electrodomésticos
  • Circuitos de iluminación
  • Anillo de poder
  • Condensadores para la mejora del factor de potencia.
Error 403 The request cannot be completed because you have exceeded your quota. : quotaExceeded

[automatic_youtube_gallery type=»search» search=»Voltaje en circuitos paralelos (fuentes, fórmula y cómo agregar)» limit=»1″]

Voltaje ⁢en Circuitos Paralelos: Fuentes, Fórmula y Cómo ⁤Agregar

En ⁣el‌ fascinante mundo de la electricidad, los circuitos paralelos ‍juegan un ‌papel fundamental en el funcionamiento eficiente de dispositivos y sistemas que utilizamos a diario. Pero, ‍¿alguna ⁤vez ⁢te ‌has preguntado cómo⁣ se⁣ distribuye el voltaje en estas configuraciones? En​ este artículo desglosaremos‌ los secretos detrás ​del voltaje en⁢ circuitos paralelos, explorando sus fuentes, la fórmula clave que lo rige y, lo más emocionante, cómo agregar‌ componentes sin complicaciones. ¡Comencemos!

Entendiendo el⁣ Voltaje en‌ Circuitos ⁣Paralelos

En un circuito⁢ paralelo, el voltaje es igual en cada componente conectado paralelamente. Esto se ⁣debe a que los dispositivos están ‍conectados a los mismos puntos eléctricos. En otras‍ palabras,⁢ el⁤ potencial en cada componente es el mismo e ⁤igual al voltaje de la fuente. Por ejemplo, si tenemos‍ una batería de 6 V, el‍ voltaje en cada resistencia conectada en paralelo también será ⁣de⁤ 6 V.

Fórmula ‍del ​Voltaje en Circuitos Paralelos

Para ⁢entender el voltaje en un ​circuito paralelo, necesitamos considerar la siguiente fórmula:

Vtotal = VR1 = VR2 ⁢= VR3 = …⁣ = Vn

Donde:

  • Vtotal es el voltaje ‍total de la ⁣fuente.
  • VRi es el voltaje‍ a través ‍de cada resistencia o​ componente.

Cómo Agregar Componentes en ⁣Circuitos Paralelos

Al agregar más⁤ componentes a un circuito paralelo,‍ el voltaje en ⁤cada uno se mantiene​ igual al de la fuente. ⁤Sin⁤ embargo, ‌la corriente total del circuito aumenta. Esto se debe a que cada nuevo componente proporciona un camino‍ adicional para que la corriente ⁤fluya. La corriente total se puede calcular sumando‌ las corrientes​ a través de cada componente:

Itotal = IR1 + IR2 ​+ IR3 + … + In

Donde IRi representa la ⁢corriente⁣ a través de cada resistor.‌ La ley de Ohm también se aplica aquí, donde ​ I = V/R.

Ventajas de los Circuitos en⁤ Paralelo

Los⁢ circuitos‌ paralelos ofrecen varias ventajas:

  • Independencia de los dispositivos: Cada dispositivo​ puede encenderse ‌y apagarse sin ⁣afectar a los demás.
  • Voltaje constante: Todos⁢ los ​dispositivos​ reciben el voltaje completo de la fuente, asegurando un funcionamiento eficiente.
  • Mayores opciones en ‍caso de fallos: Si uno ⁢de los⁤ circuitos falla, los demás continuarán funcionando.

FAQs – Preguntas Frecuentes

¿Qué ‍pasa si un componente falla en un circuito paralelo?

Si un componente falla en un⁣ circuito paralelo, los ⁢demás componentes seguirán funcionando normalmente. Esto es una de las principales ventajas de ‌esta ​configuración frente a circuitos en serie.

¿Cómo afecta ‍el número de componentes al voltaje en un circuito paralelo?

El voltaje en‌ cada componente ​permanece ⁢constante y es igual al voltaje de la fuente, independientemente del número de componentes añadidos. Sin embargo, la corriente total aumentará a ‌medida que se añaden más componentes.

¿Cuál es la ⁣resistencia equivalente en ‌un circuito paralelo?

La‌ resistencia equivalente en un circuito paralelo se calcula utilizando la fórmula:

1/Req = 1/R1 + 1/R2 + 1/R3 + … + 1/Rn. Esto demuestra ⁣que la resistencia total disminuye al⁤ añadir más resistencias ⁢en paralelo.

Conclusión

Entender el voltaje en circuitos paralelos es crucial para ​aplicar ​conceptos eléctricos en la práctica. Los circuitos paralelos no solo⁢ facilitan la⁤ conexión eficiente de dispositivos, sino que también garantizan un funcionamiento óptimo y ⁣un voltaje constante. Para más detalles, puedes ‌consultar fuentes adicionales como Area⁢ Tecnología o Wikipedia.

4 comentarios en «Voltaje en circuitos paralelos (fuentes, fórmula y cómo agregar)»

  1. ¡Hola, levia! La verdad es que el artículo me parece muy útil, especialmente para quienes estamos aprendiendo sobre circuitos paralelos. Recuerdo cuando tuve que armar un circuito en clase y me perdí un poco con el tema del voltaje, pensaba que era complicado, pero después de entender las fórmulas y cómo funcionan las fuentes en paralelo, todo encajó. Definitivamente, este tipo de recursos hacen la diferencia y ayudan a desmitificar el tema. ¡Gracias por compartir!

  2. Dar2de2laf: ¡Hola a todos! La verdad, este artículo me llegó en el momento justo. Me acuerdo de la primera vez que intenté hacer un circuito paralelo en mi casa, quedé como loco con el voltaje. Pensaba que todo iba a ser sencillo, pero al final lo entendí todo al revés y hasta se me quemó una bombilla. 😅 Gracias a materiales como este, pude entender bien cómo se distribuye el voltaje y ahora me siento mucho más confiado. ¡Qué bien que haya recursos así para ayudarnos!

  3. Solanas: ¡Totalmente de acuerdo, levia! También me acuerdo de mi primer intento con circuitos paralelos y fue un despastre total. Pensaba que el voltaje iba a ser el mismo en cada rama y me costó un montón entender que eso no era así. Al final, gracias a unos tutoriales y artículos como este, logré aclarar mis dudas. ¡Es increíble cómo un buen recurso puede cambiar la perspectiva de un tema que parecía complicado!

Deja un comentario