Saltar al contenido
  • Inicio

Electrónica

**Descripción de la Categoría: Electrónica**

¡Bienvenido a nuestra emocionante categoría de Electrónica! Aquí encontrarás una amplia gama de dispositivos y gadgets diseñados para mejorar tu vida diaria. Desde smartphones innovadores y tabletas de última generación hasta accesorios esenciales como auriculares, altavoces Bluetooth y cargadores rápidos, nuestra selección está curada para ofrecerte lo mejor en tecnología.

Explora las últimas tendencias en electrónica, como televisores 4K, sistemas de domótica, y equipos de audio de alta fidelidad. Si buscas mejorar tu experiencia en el hogar, nuestras secciones de electrodomésticos inteligentes y dispositivos para gaming te dejarán impresionado. No olvides revisar nuestras ofertas especiales y descuentos en productos de marcas reconocidas.

Mantente a la vanguardia de la tecnología con nuestras guías y consejos sobre cómo elegir el equipo electrónico adecuado para ti. Con envíos rápidos y un excelente servicio al cliente, tu satisfacción está garantizada. ¡Sumérgete en el mundo de la electrónica y descubre la calidad y la innovación que tenemos para ti!

**Palabras Clave:** Electrónica, dispositivos, gadgets, smartphones, tabletas, auriculares, altavoces Bluetooth, tecnología, electrodomésticos inteligentes, gaming, tendencias electrónicas, grandes marcas.

¿Qué es el voltaje de rodilla del diodo de unión PN?

Diodo vi i característica |

¿Alguna vez te has preguntado por qué ciertos componentes electrónicos …

Mas Información

Categorías Blog, Electrónica 7 comentarios

Reactancia capacitiva

Reactancia capacitiva |

Reactancia Capacitiva: El Arte de Controlar la Electricidad En un …

Mas Información

Categorías Blog, Electrónica 3 comentarios

Diodo PIN – Símbolo, Características y Aplicaciones

Fotodiodo - Símbolo, funcionamiento y tipos - Diodo

Diodo PIN – Símbolo, Características y Aplicaciones En el fascinante …

Mas Información

Categorías Blog, Electrónica 3 comentarios

Cómo probar un relé eléctrico

Fijar página

Cómo Probar un Relé Eléctrico: Una Guía Práctica para Principiantes …

Mas Información

Categorías Blog, Electrónica 1 comentario

Puente de Desauty y puente de Desauty modificado: diagrama de circuito y fasor

Circuito equivalente para medición del factor de disipación y...

Puente de Desauty y Puente de Desauty Modificado: Diagrama de …

Mas Información

Categorías Blog, Electrónica Deja un comentario

Amplificador diferencial – Funcionamiento y aplicaciones

Amplificador operacional: Op-Amp como amplificador diferencial o Op-Amp como restador (con ejemplos)

Amplificador diferencial – Funcionamiento y aplicaciones En el mundo de …

Mas Información

Categorías Blog, Electrónica 5 comentarios

Factor de idealidad de diodo

PDF] Análisis experimental y modelo teórico para anomalías...

Factor de Idealidad de Diodo En el fascinante mundo de …

Mas Información

Categorías Blog, Electrónica Deja un comentario

Núcleo de ferrita en cable | Por qué núcleo de ferrita | Principio de funcionamiento

Núcleo de ferrita para cable plano: 1 pieza - KITAGAWA INDUSTRIES America, Inc.

Núcleo de ferrita en cable | Por qué núcleo de …

Mas Información

Categorías Blog, Electrónica 3 comentarios

¿Por qué el transformador no funciona con suministro de CC?

FUNDAMENTOS DEL FUENTE DE ENERGÍA – Electrónica de longitud de onda

¿Por qué el transformador no funciona con suministro de CC? …

Mas Información

Categorías Blog, Electrónica Deja un comentario

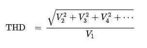
Distorsión armónica total (THD) y su medición

Comprensión de la instrumentación para medir la distorsión armónica total

Distorsión armónica total (THD) y su medición En un mundo …

Mas Información

Categorías Blog, Electrónica 7 comentarios
Entradas anteriores
Entradas siguientes
← Anterior Página1 … Página6 Página7 Página8 … Página10 Siguiente →
+ Articulos
  • Aviso Legal
  • Contacto
  • Nosotros
  • Política de Cookies
  • Política de privacidad
2026 © www.itztli.es
Página siguiente »